移栽时间与方式对烤烟生长发育及产量、品质的影响 |
| 王德权, 孙延国, 杜玉海, 刘洋, 王艺, 马兴华, 张玉琴, 张日强 |
|
Effects of Transplanting Date and Mode on Growth, Development, Yield and Quality of Flue-Cured Tobacco |
| Wang Dequan, Sun Yanguo, Du Yuhai, Liu Yang, Wang Yi, Ma Xinghua, Zhang Yuqin, Zhang Riqiang |
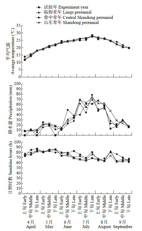
| 图1 山东烟区烤烟生育期气象变化规律 |
| Fig.1 Meteorological changing pattern during tobacco growth period in Shandong |
|