大豆百粒重相关基因的全基因组发掘分析 |
| 宿洋, 杨静, 郭勇, 杜维俊, 邱丽娟 |
|
Whole Genome Discovery and Analysis of Genes Related to 100-Seed Weight in Soybean |
| Su Yang, Yang Jing, Guo Yong, Du Weijun, Qiu Lijuan |
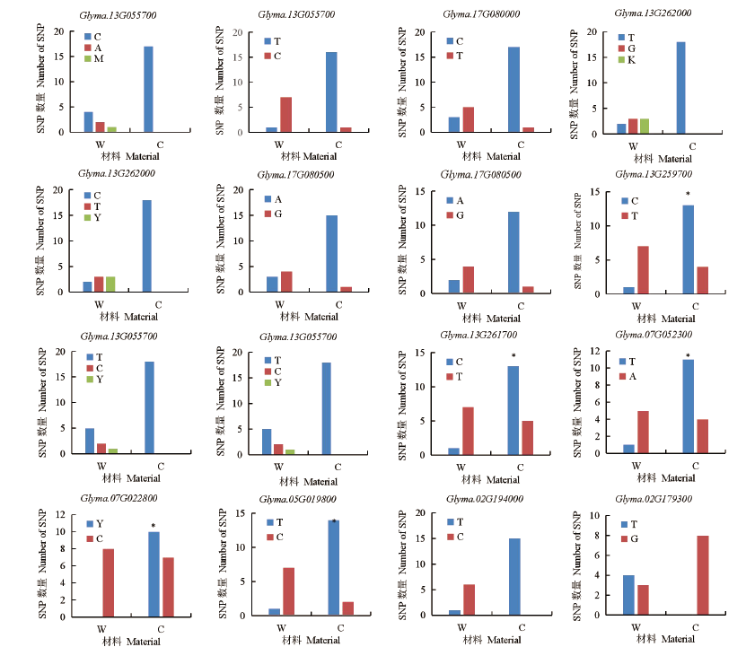
| 图2 16个SNP在26份大豆资源中的分布 W:野生大豆;C:栽培大豆。“*”代表在P < 0.05水平上差异显著 |
| Fig.2 Distribution of 16 SNPs in 26 soybean accessions W: Wild soybean accessions; C: Cultivated soybean accessions. “*” represents significant difference (P < 0.05) |
|