大豆百粒重相关基因的全基因组发掘分析 |
| 宿洋, 杨静, 郭勇, 杜维俊, 邱丽娟 |
|
Whole Genome Discovery and Analysis of Genes Related to 100-Seed Weight in Soybean |
| Su Yang, Yang Jing, Guo Yong, Du Weijun, Qiu Lijuan |
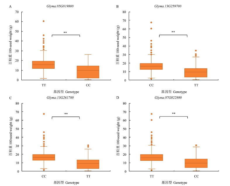
| 图3 不同SNP类型材料对应的百粒重表型分析 “**”代表在P < 0.01水平上差异显著 |
| Fig.3 Phenotypic analysis of 100-seed weight corresponding to different types of SNP “**”represents significant difference (P < 0.01) |
|