高温胁迫下铵硝混配营养促进水稻生长的生理机制 |
| 彭彬峰, 陆楚盛, 尹媛红, 朱菲菲, 叶群欢, 潘俊峰, 刘彦卓, 胡香玉, 胡锐, 李妹娟, 王昕钰, 梁开明, 傅友强 |
|
Physiological Mechanism of Ammonium-Nitrate Mixed Nutrition Promoting Rice Growth under High-Temperature Stress |
| Peng Binfeng, Lu Chusheng, Yin Yuanhong, Zhu Feifei, Ye Qunhuan, Pan Junfeng, Liu Yanzhuo, Hu Xiangyu, Hu Rui, Li Meijuan, Wang Xinyu, Liang Kaiming, Fu Youqiang |
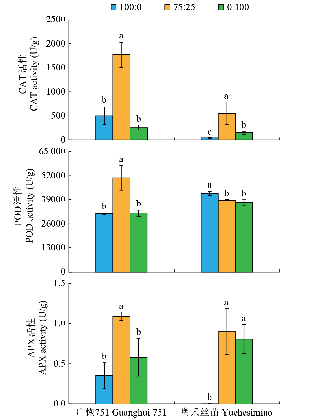
| 图3 不同铵硝混配营养处理对水稻叶片抗氧化酶活性的影响 |
| Fig.3 Effects of different ammonium and nitrate mixed nutrition treatments on antioxidant enzyme activities of rice leaves |
|