不同轮作模式对高寒黑土区马铃薯根际土壤真菌群落结构与功能的影响 |
| 王籽懿, 韩伟, 金鸿飚, 黄修梅, 张凤兰, 杨忠仁 |
|
The Effects of Different Rotation Patterns on the Structure and Function of Fungal Communities in Potato Rhizosphere Soil in High-Altitude Black Soil Areas |
| Wang Ziyi, Han Wei, Jin Hongbiao, Huang Xiumei, Zhang Fenglan, Yang Zhongren |
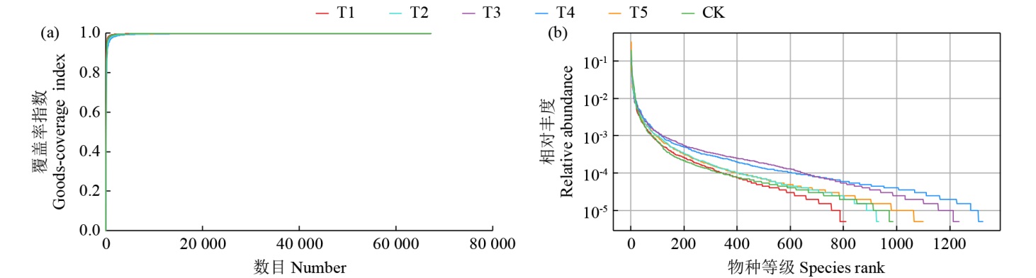
| 图2 覆盖率指数和等级丰度曲线 |
| Fig.2 Goods-coverage index and rank-abundance curve |
|