玉米―花生―谷子轮作对吉林省风沙盐碱地区土壤微生态、产量和效益的影响
1
2
3
4
Effects of Corn-Peanut-Foxtail Millet Rotation on Soil Microecology, Yield, and Benefits in Sandy Saline-Alkali Lands of Jilin Province
1
2
3
4
通讯作者:
收稿日期: 2023-12-20 修回日期: 2024-04-25 网络出版日期: 2024-10-21
| 基金资助: |
|
Received: 2023-12-20 Revised: 2024-04-25 Online: 2024-10-21
作者简介 About authors
朱建国,研究方向为作物高产栽培生理和栽培技术,E-mail:
关键词:
Exploring the influence of different cropping patterns on crop yield and benefits in sandy saline-alkali areas of western Jilin Province is of great significance for maintaining the soil micro-ecological balance and the sustainable development of agriculture in this area. Field positioning experiments were conducted. Two cropping patterns, corn-peanut-foxtail millet rotation (CR) and corn continuous cropping (CC), were adopted to analyze the differences in the abundance, diversity and structure of soil microbial communities in different plough layers of rotated corn and continuously cropped corn, as well as the differences in corn yield and economic benefits. The results showed that there was no significant difference in soil fungi between CR and CC treatments. The bacterial community in 0-20 cm soil layer was more complex than that in 20-40 cm soil layer. Compared with CC treatment, CR treatment in 0-20 cm soil layer increased the richness and diversity of bacterial community. In 0-40 cm soil layer, the Chao1 index of CR treatment increased by 22% on average, and compared with CC treatment, CR treatment formed a relatively unique bacterial community structure. The yield of maize in CR treatment was significantly increased by 32% compared with CC treatment. The economic benefits of CR treatment were better than those of CC treatment. Crop rotation changed the original composition and distribution of bacterial communities, and increased the number of beneficial microorganisms. The rotation pattern achieved higher economic benefits by improving land use efficiency. The crop diversification cropping pattern could improve the inter-annual yield stability, reflecting the significant potential of large-scale agricultural production in coping with extreme climate.
Keywords:
本文引用格式
朱建国, 崔正果, 张波, 王学端, 张月明, 吕小飞, 王洪预, 李秋祝, 崔金虎.
Zhu Jianguo, Cui Zhengguo, Zhang Bo, Wang Xueduan, Zhang Yueming, Lü Xiaofei, Wang Hongyu, Li Qiuzhu, Cui Jinhu.
吉林省白城市通榆县位于中国东北部,土壤风沙盐碱化严重,该地区由于过度放牧和开垦、不合理耕作种植等人为因素和季节性降水分配不均、强风频繁发生等自然因素,导致农牧交错带土壤沙化日益严重,土层变薄,土壤质量逐年下降,严重影响该地区农作物的产量和区域农业的可持续发展[1-2]。有研究[3-
玉米(Zea mays L.)作为我国重要的粮食和饲料作物,对保障粮食生产起到重要作用[8]。花生(Arachis hypogaea L.)作为我国主要的油料和经济作物之一,具有耐瘠薄、固氮、经济效益高等特性,在我国河南、山东、河北等地区广泛种植[9]。谷子(Setaria italica)又称粟,是我国传统的粮食作物,距今已有逾8000年的栽培历史,具有抗旱、耐瘠薄、营养丰富等特点,是我国居民膳食结构的主体作物[10]。因通榆县当地特殊的自然气候和地理条件,农业种植结构较为简单,作物主要有玉米、花生和杂粮。但近年来受粮食价格和集约化种植影响,通榆地区农户多选择种植经济效益较好且机械使用度较高的玉米作为主栽作物[11]。然而,相关研究[12]表明,由于常年单作、连作和过量施用化肥,导致连作障碍日趋严重,阻碍了作物产量和品质的提高,还破坏了土壤微生物群落的生态稳定性和环境可持续性。因此,为解决玉米连作可能造成的潜在威胁,结合当地现有的种管收配套农机设备,选择适宜的轮作组合对维持健康的土壤微生态至关重要。
因此,本研究利用Illumina Miseq高通量测序技术,通过分析玉米―花生―谷子轮作(CR)和玉米连作(CC)种植模式下不同耕层土壤的微生物群落结构多样性及玉米产量和效益差异,以期为玉米轮作技术的推广和当地农业可持续健康发展提供理论依据。
1 材料与方法
1.1 试验地概况
本研究于2020年在吉林省白城市通榆县哈拉道村进行田间定位试验。该地区属于中温带半干旱大陆性季风气候,四季分明,年均日照时数2900 h,年均气温5.5 ℃,年均降水量350 mm,无霜期约164 d,春季多风,季节性降水不均。一个轮作周期(3年)后,于2022年采集土壤样品分析测试。试验地试验前(2019年)土壤有机质1.17%、全氮580.6 g/kg、速效磷3.75 mg/kg、速效钾50.6 mg/kg、pH 8.37。
1.2 试验设计
采用大区生产试验设计,共设2种种植方式,分别为玉米―花生―谷子三区作物轮作(CR)和玉米连作(CC)。供试玉米品种为富民985,试验地块前茬作物为玉米。玉米连作(CC)试验地面积为1 hm2,玉米轮作(CR)试验地面积为2 hm2(该轮作地块于2020年种植花生,2021年种植谷子,2022年种植玉米)。试验地块玉米于2022年4月28日进行播种,垄间距为65 cm,播种密度为7.8万~7.9万株/hm2,保苗7万株/hm2;底肥施加560 kg/hm2的氮磷钾复合肥(N:P:K=26:15:15)。采用水肥一体化方式,分别于玉米拔节期和吐丝期每次追施尿素200 kg/hm2(N≥46%)。
1.3 样品采集与指标测定
于2022年10月作物收获后、冻土前,分别采集轮作玉米和连作玉米0~20 cm和20~40 cm耕层土壤,采集器材使用前消毒,每个处理随机选取3个点,作为3次重复,剔除砾石和植物残根等杂物,一部分新鲜土样装入5 mL灭菌离心管,置于干冰中贮藏,低温运输至北京奥维森基因科技有限公司完成相关测试;另一部分自然风干,用于测定土壤养分。
采用DNA抽提试剂盒提取土壤基因组DNA,利用1%琼脂糖凝胶电泳检测DNA纯度和质量,高通量测序使用338F(ACTCCTACGGGAGGCAG CAG)和806R(GGACTACHVGGGTWTCTAAT)对细菌16S rRNA基因的V3~V4高变异区进行PCR扩增,对真菌ITS区域ITS1F(CTTGGTCAT TTAGAGGAAGTAA)和ITS2R(TGCGTTCTTCA TCGATGC)进行扩增。PCR反应条件:预变性94 ℃ 5 min;94 ℃ 30 s,50 ℃ 30 s,72 ℃ 60s,30个循环;然后72 ℃稳定延伸7 min,最后4 ℃进行保存,用1%的琼脂糖凝胶电泳进行检测,并用Agencourt AMPure XP核酸纯化试剂盒纯化。
土壤微生物高通量测序在Auwigene公司(北京)的Miseq平台上进行,使用Trimmomatic、Pear软件对原始双端序列去杂,去杂后的双端序列利用Flash、Pear软件拼接,下机数据(Raw PE)在去除条码(barcode)和引物(primer)并拼接后得到原始序列数据(raw_tags),经进一步去除嵌合体、短序列后得到优质序列(clean_tags)。通过Qiime平台,采用Vsearch软件,将序列相似度大于或等于97%归为一个OTU单元。采用blast或RDP Classifier等方法对OTU代表序列进行比对分析,注释其群落的物种信息。
1.4 数据处理
利用Microsoft Excel 2021以及SPSS 21.0进行数据分析,运用Illustrator Portable和GraphPad Prism 8.0绘图。土壤微生物高通量测序数据基于奥维森基因科技公司(北京)的Miseq平台(
2 结果与分析
2.1 不同处理土壤的测序结果分析
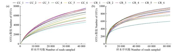
通过奥维森基因科技公司Illumina MiSeq高通量测序平台进行测序,对细菌16S rRNA基因V3~ V4区测序,所有样本共得到1 230 885条有效序列,平均长度在400~440 bp。经过筛选之后,轮作玉米0~20 cm(CR1)和20~40 cm土层(CR2)、玉米连作0~20 cm(CC1)和20~40 cm土层(CC2)土壤样品分别得到了386 849、416 448、201 046、226 542条有效序列。
图1
图1
相似度97%水平下不同处理土壤细菌(a)和真菌(b)的稀释曲线
CC_1、CC_2和CC_3代表CC1的3次重复;CC_4、CC_5和CC_6代表CC2的3次重复;CR_1、CR_2和CR_3代表CR1的3次重复;CR_4、CR_5和CR_6代表CR2的3次重复。
Fig.1
Rarefaction curve of soil bacteria (a) and fungi (b) in different treatments at 97% similarity level
CC_1, CC_2, and CC_3 represent three replicates of CC1; CC_4, CC_5, and CC_6 represent three replicates of CC2; CR_1, CR_2, and CR_3 represent three replicates of CR1; CR_4, CR_5, and CR_6 represents three replicates of CR2.
2.2 不同处理土壤对OTU数目的影响
基于基本分类单元(OTU)统计的维恩图结果(图2)显示,12个土壤样品共产生26 840个OTU。轮作玉米(CR)与连作玉米(CC)土壤0~ 40 cm耕层中共有OTU 3873个,代表吉林省风沙盐碱地区种植玉米后土壤0~40 cm耕层中稳定存在菌种。CC1、CR1、CC2、CR2特有的OTU数目分别为4685、5029、1986和3499,CR与CC相比特有的OTU数目在0~20 cm和20~40 cm土层中均表现出较高的数值,这可能与轮作年限中作物的种类增加有关。因此,受种植方式的影响,轮作玉米与连作玉米两者的0~40 cm耕层中细菌群落均出现新种属,单从OTU来看,趋同和变异共存,微生物群落组成结构发生复杂而微妙的变化。
图2
图2
不同处理土壤细菌(a、c)和真菌(b、d)OTU的Venn图
不同小写字母表示差异显著(P < 0.05),下同。
Fig.2
Venn diagram of OTU shared by bacteria (a, c) and fungi (b, d) in different soil treatments
Different lowercase letters indicate significant difference (P < 0.05), the same below.
2.3 不同处理土壤微生物群落多样性指数分析
群落生态学中研究微生物多样性,通过单样品的多样性分析(Alpha多样性)可以反映微生物群落的丰度和多样性,包括一系列统计学指数,用于反映和估计环境群落的物种丰度和多样性[16]。Coverage指数可以反映测序的覆盖程度,其数值越高,表示样本中序列被测出的概率越高,没有被测出的概率越低。Chao1指数反映物种丰富度;Shannon指数反映群落多样性;Simpson指数反映物种优势度;PD全树谱系多样性,是兼顾了物种丰度以及进化距离的多样性指数,是基于系统发育树来计算的一种多样性指数,它用各个样品中OTU的代表序列构建出系统发育树的距离,将某一个样品中的所有代表序列的枝长加和,从而得到的数值,数值越大,群落多样性越高。
各处理的测序覆盖度均达到了0.92以上,说明测序深度足够(表1)。试验结果显示,各处理的土壤细菌丰度远大于真菌,其中CR1的细菌群落Chao1指数最高,CC2最低,0~40 cm土层CR处理细菌Chao1指数比CC处理平均高22%;Shannon指数最高的是CC1处理,CC2最低,Shannon指数的降低是由于均匀度降低所致,反映了轮作体系内虽然增加了微生物群落的丰富度,但是均一性并不高,说明轮作体系增加了某些特殊的微生物物种。单独考虑耕层深度,0~20 cm土层Shannon指数较20~40 cm土层高8%。PD全树谱系多样性和实际观测物种数结果均表现出CR1>CC1>CR2>CC2,说明CR处理的物种丰富度较CC处理更高。但对于物种丰富度而言,在相同的耕层中不同的种植方式并没有显示出更高的物种丰富度数值变化。0~20 cm和0~40 cm土层中物种丰富度出现显著差异,表明0~20 cm耕层CR处理的细菌群落的丰富度和多样性更为复杂。综上所述,三区轮作玉米种植方式较连作玉米相比增加了细菌群落的丰富度和多样性。但就真菌而言,真菌群落的丰富度和多样性几乎未受到轮作种植方式的影响,对不同耕层深度的响应也不敏感。
表1 不同处理微生物群落α多样性指数
Table 1
| 微生物 Microbial | 处理 Treatment | Chao1指数 Chao1 index | 香农指数 Shannon index | PD全树 PD whole tree | 覆盖度 Coverage | 辛普森指数 Simpson index |
|---|---|---|---|---|---|---|
| 细菌Bacteria | CC1 | 8923.41±961.96ab | 11.05±0.16a | 628.22±37.69a | 0.94±0.01ab | 1.00±0.00a |
| CR1 | 10 975.99±599.73a | 11.02±0.10a | 640.96±14.02a | 0.92±0.01b | 1.00±0.00a | |
| CC2 | 7511.89±242.42b | 10.14±0.07b | 465.64±36.62b | 0.95±0.00a | 1.00±0.00a | |
| CR2 | 9006.80±2106.66ab | 10.39±0.37b | 511.29±88.02b | 0.94±0.02ab | 1.00±0.00a | |
| 真菌Fungi | CC1 | 1267.67±51.96a | 5.95±0.49a | 197.35±9.56a | 1.00±0.00a | 0.94±0.04a |
| CR1 | 1141.03±54.77ab | 5.41±0.82a | 191.61±1.69a | 1.00±0.00a | 0.91±0.07a | |
| CC2 | 1051.44±212.41ab | 6.25±0.36a | 195.65±31.37a | 1.00±0.00a | 0.96±0.01a | |
| CR2 | 927.14±95.59b | 6.31±0.60a | 185.83±21.53a | 1.00±0.00a | 0.96±0.02a |
同列数值不同小写字母表示各处理的差异达显著水平(P < 0.05)。
Different lowercase letters in the same column indicate significant difference (P < 0.05) among treatments.
图3
图3
不同处理下土壤细菌(a)和真菌(b)主成分分析
Fig.3
Principal component analysis of soil bacteria (a) and fungi (b) under different treatments
2.4 不同处理土壤微生物门水平群落结构组成分析
4种处理的土壤细菌群落在门水平上(图4a和表2),放线菌门(Actinobacteria)、变形菌门(Proteobacteria)、酸杆菌门(Acidobacteria)、绿弯菌门(Chloroflexi)、芽单胞菌门(Gemmatimonadetes)、硝化螺旋菌门(Nitrospirae)为4种处理共同的优势菌门,占总OTU的87.98%~ 91.92%。其次是一些平均相对丰度为1%~5%的次要菌门,包括厚壁菌门(Firmicutes)、拟杆菌门(Bacteroidetes)、浮霉菌门(Planctomycetes)、疣微菌门(Verrucomicrobia)等。其中放线菌门在各处理之间含量最高,各处理之间表现出CC2>CC1>CR2>CR1,占比分别为36.53%、35.04%、32.84%和29.60%。变形菌门为第二优势菌门,占比分别为CR1(25.80%)、CC1(24.61%)、CC2(19.26%)、CR2(19.08%)。酸杆菌门是第3位优势菌,占比分别为CR2(17.27%)、CC2(14.87%)、CR1(15.41%)、CC1(13.09%)。除此之外,CR处理的硝化螺旋菌门和厚壁菌门占比大于CC处理。
图4
图4
不同处理土壤细菌群落(a)和真菌群落(b)基于门类水平的相对丰度
Fig.4
Relative abundance of soil bacterial communities (a) and fungal communities (b)based on phylum level for different treatments
表2 不同处理细菌优势菌门相对丰度
Table 2
| 细菌菌门Bacterial phylum | CC2 | CR2 | CC1 | CR1 |
|---|---|---|---|---|
| 放线菌门Actinobacteria | 36.53 | 32.84 | 35.04 | 29.60 |
| 变形菌门Proteobacteria | 19.26 | 19.08 | 24.61 | 25.80 |
| 酸杆菌门Acidobacteria | 14.87 | 17.27 | 13.09 | 15.41 |
| 芽单胞菌门Gemmatimonadetes | 9.48 | 9.96 | 4.81 | 6.10 |
| 绿弯菌门Chloroflexi | 7.70 | 7.38 | 9.08 | 8.56 |
| 硝化螺旋菌门Nitrospirae | 4.08 | 5.30 | 2.30 | 2.51 |
| 厚壁菌门Firmicutes | 1.79 | 1.45 | 3.21 | 3.43 |
| 浮霉菌门Planctomycetes | 1.37 | 1.06 | 1.89 | 1.90 |
| 未知菌门Unidentified | 1.27 | 1.47 | 1.96 | 1.54 |
| 疣微菌门Verrucomicrobia | 0.72 | 0.69 | 0.79 | 1.06 |
| 拟杆菌门Bacteroidetes | 0.71 | 0.85 | 1.41 | 2.17 |
就真菌(图4b和表3)而言,子囊菌门(Ascomycota)为绝对优势菌门,占总OTU的68.50%~88.25%。其他平均丰度>1%的包括担子菌门(Basidiomycota)、被孢霉门(Mortierellomycota)、虫霉门(Entomophthoromycota)、壶菌门(Chytridiomycota)和球囊菌门(Glomeromycota)。子囊菌门(Ascomycota)在各处理之间表现出CR1>CR2>CC1>CC2,占比依次为88.25%、79.03%、73.61%和68.50%。担子菌门占总OTU的9.02%~ 25.42%,各处理之间表现为CC2>CC1>CR2>CR1,占比依次为25.42%、22.54%、11.43%和9.02%。综上所述,与CC处理相比,CR处理增加了子囊菌门的丰度,但降低了土壤中担子菌门的富集。
表3 不同处理真菌优势菌门相对丰度
Table 3
| 真菌菌门Fungal phylum | CC2 | CR2 | CC1 | CR1 |
|---|---|---|---|---|
| 子囊菌门Ascomycota | 68.5 | 79.03 | 73.61 | 88.25 |
| 担子菌门Basidiomycota | 25.42 | 11.43 | 22.54 | 9.02 |
| 被孢霉门Mortierellomycota | 3.69 | 4.73 | 1.76 | 1.61 |
| 未知菌门Unidentified | 2.11 | 2.37 | 1.94 | 1.00 |
| 虫霉门Entomophthoromycota | 0.00 | 2.25 | 0.01 | 0.07 |
| 壶菌门Chytridiomycota | 0.01 | 0.01 | 0.04 | 0.03 |
| 球囊菌门Glomeromycota | 0.23 | 0.04 | 0.09 | 0.01 |
| 丝足虫门Cercozoa | 0.01 | 0.05 | 0.00 | 0.00 |
| 梳霉菌门Kickxellomycota | 0.03 | 0.03 | 0.00 | 0.00 |
2.5 轮作对作物产量的影响
如表4所示,与连作处理相比,轮作对玉米产量提升有促进作用。轮作玉米比连作玉米增产32%。轮作玉米的变异系数和稳定性系数(SYI)分别为2.29%和0.94,变异系数与连作处理相比降低了38.27%,稳定性系数增加了4.44%。说明轮作玉米相对较为适应复杂环境变化所带来的影响。轮作模式作物种类的多样化与单一连续种植玉米相比,增加了作物的产量,降低了产量的年际间变异率,增加了年际间的产量稳定性,证明作物轮作的多样化减轻了极端天气的影响,并提高了产量稳定性。
表4 不同处理作物产量和稳定性
Table 4
| 种植方式Cropping pattern | 作物Crop | 平均产量Ya (kg/hm2) | 最高产量Maximum yield (kg/hm2) | 变异系数CV (%) | 稳定性系数SYI |
|---|---|---|---|---|---|
| 连作Continuous | 玉米 | 9999 | 10 556 | 3.71 | 0.90 |
| 轮作Rotation | 玉米 | 13 206 | 13 660 | 2.29 | 0.94 |
| 花生 | 3038 | 3438 | 8.77 | 0.77 | |
| 谷子 | 4792 | 5761 | 13.48 | 0.67 |
Ya为田间定位试验3年间(2020-2022)不同处理下各作物的平均产量。
Ya is the average yield of each crop under different treatments during the three years (2020-2022) of the field location trial.
2.6 轮作对经济效益的影响
如表5所示,各处理在年际间各部分生产投入存在差异。与2020和2021年相比,2022年各处理的平均投入总成本最高,其中2020年种植玉米生产总投入仅为12 572元/hm2,2022年种植玉米生产总投入为15 200元/hm2,较2020年种植相比成本增加了20.9%,这主要与地租和肥料农药等投入因素单价上涨有关。除此之外,CR模式中种植花生的生产投入成本在各年际间均表现为最高值,种植谷子的生产总投入最低,在相同年际间种植花生的生产投入成本是种植谷子的1.21~ 1.27倍,主要与花生种子的价格较高和谷子肥料农药投入费用较少有关。总体来看,综合考虑发现,CR模式的生产投入成本平均值与种植3年CC模式投入成本平均值相当。
表5 不同处理年际间生产投入分析
Table 5
| 年份 Year | 种植方式 Cropping pattern | 作物 Crop | 种子 Seeds | 地租 Land rents | 肥料农药 Fertilizer and pesticides | 人工 Manually | 滴灌 Drip irrigation | 机械 Machinery | 总成本 Total cost | 平均 Mean |
|---|---|---|---|---|---|---|---|---|---|---|
| 2020 | 轮作 | 玉米 | 800 | 4500 | 3132 | 100 | 3200 | 840 | 12 572 | 12 559 |
| 花生 | 2400 | 4500 | 2835 | 100 | 3200 | 760 | 13 795 | |||
| 谷子 | 600 | 4500 | 2070 | 100 | 3200 | 840 | 11 310 | |||
| 连作 | 玉米 | 800 | 4500 | 3132 | 100 | 3200 | 840 | 12 572 | 12 572 | |
| 2021 | 轮作 | 玉米 | 800 | 5000 | 3400 | 100 | 3200 | 860 | 13 360 | 13 563 |
| 花生 | 2700 | 5000 | 3550 | 100 | 3200 | 760 | 15 310 | |||
| 谷子 | 600 | 5000 | 2260 | 100 | 3200 | 860 | 12 020 | |||
| 连作 | 玉米 | 800 | 5000 | 3400 | 100 | 3200 | 860 | 13 360 | 13 360 | |
| 2022 | 轮作 | 玉米 | 800 | 6000 | 4100 | 100 | 3300 | 900 | 15 200 | 14 967 |
| 花生 | 2700 | 6000 | 3600 | 100 | 3300 | 800 | 16 500 | |||
| 谷子 | 700 | 6000 | 2200 | 100 | 3300 | 900 | 13 200 | |||
| 连作 | 玉米 | 800 | 6000 | 4100 | 100 | 3300 | 900 | 15 200 | 15 200 | |
| 3年平均 Three years average | 轮作 | 玉米 | 800 | 5167 | 3544 | 100 | 3233 | 867 | 13 711 | 13 696 |
| 花生 | 2600 | 5167 | 3328 | 100 | 3233 | 773 | 15 202 | |||
| 谷子 | 633 | 5167 | 2177 | 100 | 3233 | 867 | 12 177 | |||
| 连作 | 玉米 | 800 | 5167 | 3544 | 100 | 3233 | 867 | 13 711 | 13 711 |
如表6所示,不同处理轮作周期内经济指标共涵盖了种植的投入成本、产量、市场价格、总产值、净产值及产投比等关键指标。不同处理各项指标随年份变化和种植作物的种类不同而产生波动。在2020年,轮作玉米的成本投入为12 572元/hm2,产量为12 944 kg/hm2,价格为2.32元/kg,总产值30 030元/hm2,净产值17 458元/hm2,产投比为238.87%,在2020年各处理间表现为最高值;轮作花生投入略高(13 795元/hm2),产量相对较低,导致2020年轮作花生的产值、净产值和产投比低于轮作玉米。2021年轮作玉米产值最高,但由于种植花生的成本投入较高导致净产值与连作玉米基本持平。2022年轮作玉米产值为19 935元/hm2,在各处理间表现为最高值,高于连作玉米49.87%。轮作玉米在经济效益方面略优于连作玉米,3年平均的产投比为240.85%,高于连作玉米的182.21%。综上所述,该轮作模式不仅能提高作物产量和土地利用效率,还能降低生产投入,提高经济效益,为该地区的农业可持续发展提供了有价值的参考。然而,实施轮作模式时需考虑土壤、气候、市场价格和农业政策等因素,以制定最佳种植策略。
表6 不同处理轮作周期内经济效益分析
Table 6
| 年份 Year | 种植方式 Cropping pattern | 作物 Crop | 投入(元/hm2) Input (yuan/hm2) | 产量 Yield (kg/hm2) | 单价(元/kg) Price (yuan/kg) | 产值(元/hm2) Output (yuan/hm2) | 净产值(元/hm2) Net output (yuan/hm2) | 产投比 Output/ Input (%) |
|---|---|---|---|---|---|---|---|---|
| 2020 | 轮作 | 玉米 | 12 572 | 12 944 | 2.32 | 30 030 | 17 458 | 238.87 |
| 花生 | 13 795 | 2648 | 8.20 | 21 712 | 7917 | 157.39 | ||
| 谷子 | 11 310 | 3887 | 4.80 | 18 659 | 7349 | 164.98 | ||
| 连作 | 玉米 | 12 572 | 9850 | 2.32 | 22 852 | 10 280 | 181.77 | |
| 2021 | 轮作 | 玉米 | 13 360 | 13 660 | 2.47 | 33 740 | 20 380 | 252.54 |
| 花生 | 15 310 | 3028 | 8.60 | 26 044 | 10 734 | 170.11 | ||
| 谷子 | 12 020 | 4728 | 5.00 | 23 640 | 11 620 | 196.67 | ||
| 连作 | 玉米 | 13 360 | 9592 | 2.47 | 23 692 | 10 332 | 177.34 | |
| 2022 | 轮作 | 玉米 | 15 200 | 13 013 | 2.70 | 35 135 | 19 935 | 231.15 |
| 花生 | 16 500 | 3438 | 10.00 | 34 375 | 17 875 | 208.33 | ||
| 谷子 | 13 200 | 5761 | 4.22 | 24 311 | 11 111 | 184.18 | ||
| 连作 | 玉米 | 15 200 | 10 556 | 2.70 | 28 501 | 13 301 | 187.51 | |
| 3年平均 Three-year average | 轮作 | 玉米 | 13 711 | 13 206 | 2.50 | 32 968 | 19 258 | 240.85 |
| 花生 | 15 202 | 3038 | 8.93 | 27 377 | 12 175 | 178.61 | ||
| 谷子 | 12 177 | 4792 | 4.67 | 22 203 | 10 027 | 181.94 | ||
| 连作 | 玉米 | 13 711 | 9999 | 2.50 | 25 015 | 11 305 | 182.21 |
3 讨论
众所周知,土壤微生物在维持土壤健康方面起着关键作用。近年来,致力于农业技术方法对土壤微生物群落影响的研究工作正在成倍增长[17]。然而,要明确具体哪个因素对土壤微生物群落结构和多样性产生影响,仍然是很困难的。微生物群落响应不同因素所产生的变化,因所研究的土壤类型、气候条件、种植方式、取样时间和取样深度等因素而发生变化。尽管如此,评估适应当地农业长远发展的不同种植模式下的不同耕层土壤中微生物群落变化,可为了解当地农业土壤生态环境、更好地指导当地生产提供实践和理论依据。
在本试验结果中,各处理的土壤细菌丰度远大于真菌丰度,这与Yang等[18]的土壤中微生物以细菌为主的结论相同。微生物群落的结构和组成会随着种植方式、耕层的深度产生变化。对于细菌而言,轮作组合增加了细菌群落的丰度和多样性,但结果并不显著。Navarro-noya等[19]发现,不同的种植制度(连作玉米与玉米―小麦轮作)对土壤微生物群落没有造成影响。伏云珍等[20]研究发现,与单作玉米相比,玉米与马铃薯间作提高了玉米根际细菌多样性指数和丰富度指数,但差异不显著。本研究中,与20~40 cm耕层土壤相比,种植玉米后0~20 cm耕层土壤对细菌多样性影响显著,这可能由于土壤表层中的有机碳和氧气的可用性普遍较高,土壤表层中的深度也会对细菌群落丰富度和多样性产生影响,需要后续结合土壤理化指标进一步分析验证[21]。对于真菌而言,从主成分分析结果中观察到,CR处理与CC处理的距离较远,说明CR形成了与CC相对独特的微生物群落结构,进一步说明轮作作物的多样化对土壤微生态产生了影响。
从细菌群落门水平上的分布来看,各处理共同的优势菌门大致相同,但是各门类细菌的丰度大小存在差异。其中放线菌门在各处理间含量最高。Jangid等[22]在不同类型的耕作土壤中发现,变形菌占有绝对优势,与本研究的结果略有不同。在本研究中,各处理间放线菌门均为主要的优势菌门,这与许小虎等[23]研究的小麦和玉米间作体系中放线菌门丰度最高(29.94%)的结果一致,出现此结果可能与土壤类型和作物种类相关,后续仍需进一步研究验证。变形菌门是一种在土壤中大量存在的富营养微生物,很多种类的变形菌都可以在土壤中起固氮作用[24]。本研究发现在同一耕层土壤中轮作玉米的变形菌门种类丰度均高于连作玉米,说明多样化的作物轮作组合有利于土壤固氮类微生物群落的稳定。酸杆菌门在土壤生态系统中有着重要的作用。作为各处理间的第3位优势菌门,在20~40 cm土层中含量较0~20 cm土层更高,且CR处理较CC处理的占比更高,在已明确功能的微生物中,酸杆菌门可降解植物病残体多聚物,参与铁循环,具有光合和反硝化能力,对稳定生态系统发挥着重要作用[19,25],抑病土壤中酸杆菌门增多的现象被不同学者所报道[26]。芽单胞菌门是一种具有解磷、解钾、固氮等生物活性的微生物,有利于提高作物产量[27]。硝化螺旋菌门中的硝化螺旋菌可将氨氧化成亚硝酸;在硝化作用过程中氨氧化细菌主要负责将氨氧化成反硝化盐,实现亚硝化作用,是硝化过程中非常重要的步骤。氨氧化细菌的存在为作物生长提供了必需的氮素营养,对植物生长代谢和土壤肥力的提高都具有重要的意义[28]。厚壁菌门细菌在自然环境中分布广泛,其中许多细菌可以在极端环境下生存,如干旱、盐碱环境,常与植物的抗逆性有关[29]。综上所述,CR处理中变形菌门、酸杆菌门、芽单胞菌门、硝化螺旋菌门和厚壁菌门丰度的增加证明了优选的轮作组合为有益细菌的富集提供了良好的微环境。
土壤真菌分为有益真菌(plant growth- promoting fungi,PGPF)和有害真菌,有益真菌有利于增加植物的吸收能力和提高植物的抗性[30],因此,增加有益真菌的数量和种类对植物生长有利。但由于受到不同种植作物影响,不同处理中真菌的相对丰度具有一定差异[31]。本研究发现,CR处理中有益真菌的优势菌门子囊菌门的相对丰度高于CC处理,这与代真林等[32]的结果相一致。子囊菌门在真菌群落中存在数量最多,大多数为腐生菌,含有纤维素和木质素分解酶,可以将养分有效地分解为易吸收物质。马欣等[33]在黄土高原的研究表明,农田土壤担子菌门相对丰度显著高于紫花苜蓿土壤,是因为传统耕作措施提高了农田土壤中的木质素含量,从而增加了担子菌门相对丰度。本研究中连作玉米土壤担子菌门总丰度高于轮作玉米,可能是由于连作玉米地块3年的秸秆还田,导致土壤中更多的秸秆得到富集,一定程度上提高了担子菌门的丰度[34-35]。
4 结论
连续3年的田间定位试验表明,轮作模式通过提高土地利用效率,实现更高的经济效益。作物多样化种植模式能提高年际间产量稳定性,体现大面积农业生产在应对极端气候方面的显著潜力。不同耕层土壤的微生物群落趋同与变异共存,0~20 cm耕层土壤较20~40 cm土壤微生物群落更加复杂,并形成了不同的细菌群落结构,但对真菌群落的影响较小。与连作玉米相比,3个作物轮作增加了土壤细菌群落的丰度和多样性,在0~40 cm耕层中细菌Chao1指数平均增加22%,但真菌群落的丰度和多样性不受轮作方式的影响,3种作物轮作形成了相对独特的微生物群落结构。此外,轮作还改变了原有的微生物群落组成和分布,提高了有益微生物的数量。
参考文献
Cropping system design can improve nitrogen use efficiency in intensively managed agriculture
Effects of seven diversified crop rotations on selected soil health indicators and wheat productivity
Integrated use of biochar: a tool for improving soil and wheat quality of degraded soil under wheat- maize cropping pattern
Conservation agriculture improves soil quality, crop yield, and incomes of smallholder farmers in North Western Ghana
玉米花生带状间作对植株氮吸收和土壤微生物群落的影响
DOI:10.19802/j.issn.1007-9084.2021283
[本文引用: 1]
为探明玉米花生带状间作模式下植株氮吸收利用和土壤微生物群落特征,设置玉米单作(SM)、花生单作(SP)和玉米花生间作(IMP)三种种植模式,系统分析了不同种植模式下氮素吸收利用规律,并采用16S/ITS测序技术明确玉米花生带状间作系统下根际土壤细菌/真菌群落结构变化。结果表明,间作玉米边行优势明显,地下和地上部干物质积累量和氮积累量显著高于单作玉米和间作玉米中间行。间作玉米和间作交互区根际土壤细菌和真菌多样性和丰富度降低,而间作花生根际真菌多样性和丰富度增加,其中变形菌门、担子菌门、子囊菌门等有益菌最为显著富集。土壤中细菌和真菌存在复杂的相关性,变形菌门与子囊菌门正相关。间作丰富了物种功能多样性,参与氨基酸运输、代谢和碳水化合物代谢的细菌和腐生营养型真菌的显著富集,改善了植物养分吸收,促进了植株生长发育。可见,玉米花生间作可通过优化土壤微生物的群落结构,促进植株对氮素的吸收和利用,本研究为玉米花生带状间作氮营养互促吸收提供了科学依据。
A whole foxtail millet diet reduces blood pressure in subjects with mild hypertension
Outlook of China's agriculture transforming from smallholder operation to sustainable production
Soil biodiversity for the sustainability of agroecosystems
Effects of crop diversity on agroecosystem function: crop yield response
Influence of agricultural practices on bacterial community of cultivated soils
The impact of crop rotation on soil microbial diversity: A meta-analysis
Effects of root pruning on the vegetative growth and fruit quality of Zhanhuadongzao trees
Relative impacts of tillage,residue management and crop-rotation on soil bacterial communities in a semi-arid agroecosystem
Diversity is the question,not the answer
Relative impacts of land-use,management intensity and fertilization upon soil microbial community structure in agricultural systems
The influence of Bt cotton cultivation on the structure and functions of the soil bacterial community by soil metagenomics
Wide distribution and diversity of members of the bacterial kingdom acidobacterium in the environment
DOI:10.1128/AEM.65.4.1731-1737.1999
PMID:10103274
[本文引用: 1]
To assess the distribution and diversity of members of the recently identified bacterial kingdom Acidobacterium, members of this kingdom present in 43 environmental samples were surveyed by PCR amplification. A primer designed to amplify rRNA gene sequences (ribosomal DNAs [rDNAs]) from most known members of the kingdom was used to interrogate bulk DNA extracted from the samples. Positive PCR results were obtained with all temperate soil and sediment samples tested, as well as some hot spring samples, indicating that members of this kingdom are very widespread in terrestrial environments. PCR primers specific for four phylogenetic subgroups within the kingdom were used in similar surveys. All four subgroups were detected in most neutral soils and some sediments, while only two of the groups were seen in most low-pH environments. The combined use of these primers allowed identification of a novel lineage within the kingdom in a hot spring environment. Phylogenetic analysis of rDNA sequences from our survey and the literature outlines at least six major subgroups within the kingdom. Taken together, these data suggest that members of the Acidobacterium kingdom are as genetically and metabolically diverse, environmentally widespread and perhaps as ecologically important as the well-known Proteobacteria and gram-positive bacterial kingdoms.
Rhizosphere bacterial communities associated with disease suppressiveness stages of take-all decline in wheat monoculture
DOI:10.1111/j.1469-8137.2009.03010.x
PMID:19732350
[本文引用: 1]
The decline of take-all disease (Gaeumannomyces graminis var. tritici), which may take place during wheat monocropping, involves plant-protecting, root-colonizing microorganisms. So far, however, most work has focused on antagonistic fluorescent pseudomonads. Our objective was to assess the changes in rhizobacterial community composition during take-all decline of field-grown wheat. The study was based on the development and utilization of a taxonomic 16S rRNA-based microarray of 575 probes, coupled with cloning-sequencing and quantitative PCR. Plots from one experimental field grown with wheat for 1 yr (low level of disease), 5 yr (high level of disease) or 10 yr (low level of disease, suppressiveness reached) were used. Microarray data discriminated between the three stages. The outbreak stage (5 yr) was mainly characterized by the prevalence of Proteobacteria, notably Pseudomonas (Gammaproteobacteria), Nitrosospira (Betaproteobacteria), Rhizobacteriaceae, Sphingomonadaceae, Phyllobacteriaceae (Alphaproteobacteria), as well as Bacteroidetes and Verrucomicrobia. By contrast, suppressiveness (10 yr) correlated with the prevalence of a broader range of taxa, which belonged mainly to Acidobacteria, Planctomycetes, Nitrospira, Chloroflexi, Alphaproteobacteria (notably Azospirillum) and Firmicutes (notably Thermoanaerobacter). In conclusion, take-all decline correlated with multiple changes in rhizobacterial community composition, far beyond the sole case of pseudomonads.
Global biogeography and quantitative seasonal dynamics of gemmatimonadetes in soil
DOI:10.1128/AEM.05005-11
PMID:21764958
[本文引用: 1]
Bacteria belonging to phylum Gemmatimonadetes comprise approximately 2% of soil bacterial communities. However, little is known of their ecology due to a lack of cultured representation. Here we present evidence from biogeographical analyses and seasonal quantification of Gemmatimonadetes in soils, which suggests an adaptation to low soil moisture.
晋东南旱作区玉米秸秆不同覆盖方式下土壤微生物多样性变化
DOI:10.3969/j.issn.2096-1197.2019.04.07
[本文引用: 1]
为了研究土壤微生物与秸秆覆盖的关系,试验利用 Illumina Hiseq<sup>TM</sup> 2500 高通量测序技术测定细菌16S rRNA V3+V4区与真菌ITS1区序列,分析5种不同覆盖方式在玉米4个关键生育时期土壤微生物菌群结构及多样性。结果表明:玉米秸秆不同覆盖方式对细菌的结构及多样性影响不显著,各处理随时间均表现出先下降后上升再下降的趋势;对真菌影响显著。其中,无序覆盖(WX)、整秆覆盖(ZG)、地膜覆盖(DM)3种秸秆覆盖方式随生育时期的进程土壤真菌呈现先上升后下降的趋势;粉碎旋耕(FS)表现为先下降后上升再下降的趋势;烧秆(SG)表现为下降平缓再下降的趋势。与不覆盖的耕作方式相比,玉米秸秆覆盖会改变土壤中微生物的种类与结构,改善土壤质量,可在植物生长过程中持续提供营养物质。
An overview of genomics, phylogenomics and proteomics approaches in Ascomycota
.
Molecular analysis of fungal communities and laccase genes in decomposing litter reveals differences among forest types but no impact of nitrogen deposition
DOI:10.1111/j.1462-2920.2007.01250.x
PMID:17472642
[本文引用: 1]
The fungal community of the forest floor was examined as the cause of previously reported increases in soil organic matter due to experimental N deposition in ecosystems producing predominantly high-lignin litter, and the opposite response in ecosystems producing low-lignin litter. The mechanism proposed to explain this phenomenon was that white-rot basidiomycetes are more important in the degradation of high-lignin litter than of low-lignin litter, and that their activity is suppressed by N deposition. We found that forest floor mass in the low-lignin sugar-maple dominated system decreased in October due to experimental N deposition, whereas forest floor mass of high-lignin oak-dominated ecosystems was unaffected by N deposition. Increased relative abundance of basidiomycetes in high-lignin forest floor was confirmed by denaturing gradient gel electrophoresis (DGGE) and sequencing. Abundance of basidiomycete laccase genes, encoding an enzyme used by white-rot basidiomycetes in the degradation of lignin, was 5-10 times greater in high-lignin forest floor than in low-lignin forest floor. While the differences between the fungal communities in different ecosystems were consistent with the proposed mechanism, no significant effects of N deposition were detected on DGGE profiles, laccase gene abundance, laccase length heterogeneity profiles, or phenol oxidase activity. Our observations indicate that the previously detected accumulation of soil organic matter in the high-lignin system may be driven by effects of N deposition on organisms in the mineral soil, rather than on organisms residing in the forest floor. However, studies of in situ gene expression and temporal and spatial variability within forest floor communities will be necessary to further relate the ecosystem dynamics of organic carbon to microbial communities and atmospheric N deposition.
内蒙古农牧交错带农田与草地土壤真菌群落特征差异性分析
DOI:10.12190/j.issn.2096-1197.2022.02.05
[本文引用: 1]
【目的】明确内蒙古农牧交错带农田与草地生态系统土壤真菌群落结构与多样性特征的差异性。【方法】利用高通量测序技术对内蒙古农牧交错带大面积农田与草地分布的生态区土壤进行了微生物测序,系统分析了各生态区域农田与草地土壤真菌群落结构及多样性的差异特征。【结果】农田和草地土壤的优势真菌门均为子囊菌门(Ascomycota)、担子菌门(Basidiomycota)、被孢霉门(Mortierellomycota);农田土壤子囊菌门和被孢霉门总丰度高于草地,而草地土壤担子菌门总丰度高于农田。草地土壤真菌α多样性指数高于农田。大兴安岭南麓农田和草地土壤α多样性指数均较高。土壤β多样性指数分析结果表明,农田土壤真菌群落分布受作物类型和地理位置因素的影响明显。担子菌门、油壶菌门(Olpidiomycot)和子囊菌门是农田土壤真菌组间差异的标志物种,而草地土壤真菌组间差异的标志物种分别为担子菌门、油壶菌门、球囊菌门(Glomeromycota)和被孢霉门。【结论】草地土壤物种数目明显高于农田土壤,大兴安岭南麓农田与草地土壤真菌群落多样性表现较高。
/
| 〈 |
|
〉 |

