化学诱变对胡麻“定亚23号”种子萌发和M1代主要农艺性状的影响
Effects of Chemical Mutagens on Seed Germination and Main Agronomic Traits of M1 Generation of Flax ʻDingya 23ʼ
通讯作者:
收稿日期: 2025-03-24 修回日期: 2025-05-15 网络出版日期: 2025-08-18
| 基金资助: |
|
Received: 2025-03-24 Revised: 2025-05-15 Online: 2025-08-18
作者简介 About authors
李瑛,主要从事胡麻遗传育种及栽培研究,E-mail:
关键词:
To enhance flax seed germination, improve agronomic traits, and breed superior germplasms with high oil and α-linolenic acid content, this study analyzed the effects of concentrations and soaking time of two chemical mutagens, EMS and NaN3 on flax seeds. The experiment focused on the effects of mutagen concentration and soaking time on germination rate, germination potential, relative mortality, and key agronomic traits of the M1 generation. The results showed that both chemical mutagens significantly inhibited seed germination and reduced germination potential and germination rate, negatively impacted the main agronomic traits of M1 generation. The optimal semi-lethal dose for EMS was found to be a 1.4% concentration for 12 h, which resulted in a relative lethal rate of 51.89%. For NaN3, optimal semi-lethal doses were 4.0% for 16 h and 8.0% for 8 h, with relative mortality of 54.69% and 48.09%, respectively. The agronomic traits of the M1 generation varied depending on the mutagen concentration and soaking time. Under EMS treatment, the variation in most traits increased with higher concentrations and longer treatment times, except for capsule diameter. Under NaN3 treatment, the variability of most traits (excluding seed weight per plant and capsule numbers per plant) also increased with longer soaking times at a given concentration. This study successfully identified effective relative-lethal treatments and materials with mutations in flower color, plant type, and cotyledon traits, and provided essential data for chemical mutagenesis breeding in flax.
Keywords:
本文引用格式
李瑛, 赵永伟, 陈英, 马伟明, 李文珍, 张海杰.
Li Ying, Zhao Yongwei, Chen Ying, Ma Weiming, Li Wenzhen, Zhang Haijie.
胡麻(Linum usititatissimum L.),又名油用亚麻,是中国五大油料作物之一,主要分布于中国的甘肃、内蒙古、山西、宁夏和河北等干旱、半干旱地区。近年来,受全球气候变暖的影响[1],温度胁迫频繁发生,给作物高产及稳产带来了巨大挑战。由于长期杂交组配使得现有胡麻种质资源遗传基础变窄,国内胡麻优良特异性状短缺,品种选育难以取得较大突破[2]。因此,利用快速有效的育种方法,创制类型多样的种质资源、选育不同用途的胡麻新品种迫在眉睫。近年来,国内胡麻育种主要采用常规杂交育种、轮回选择、物理诱变和分子辅助育种等方法[3
1 材料与方法
1.1 试验材料
以定亚23号为试验材料,由定西市农业科学研究院油料作物研究所选育,属于晚熟品种,籽粒褐色,千粒重7.50~8.00 g。
1.2 试验方法
1.2.1 诱变前浸种处理
选取大小一致、饱满的定亚23号胡麻种子放入清水中预浸种处理12 h,吸涨取出后用吸水纸吸干水分备用。
1.2.2 胡麻种子诱变处理
化学诱变剂甲基磺酸乙酯(EMS)和叠氮化钠(NaN3)为分析纯试剂,由美国Sanmina公司生产。
EMS处理:将清水处理后的种子浸于不同浓度的EMS诱变剂(pH 7.0,用0.01 mol/L的磷酸缓冲液配制)中,分别浸种不同时间。具体处理见表1。诱变处理后用清水反复冲洗4 h观测相关指标。每个处理采用完全随机区组设计,设3次重复。
表1 胡麻种子EMS诱变处理
Table 1
| 处理 Treatment | 浓度 Concentration (%) | 浸种时间 Soaking time (h) |
|---|---|---|
| A1T1 | 0.0(CK) | 4 |
| A1T2 | 0.0(CK) | 8 |
| A1T3 | 0.0(CK) | 12 |
| A1T4 | 0.0(CK) | 16 |
| A2T1 | 0.2 | 4 |
| A2T2 | 0.2 | 8 |
| A2T3 | 0.2 | 12 |
| A2T4 | 0.2 | 16 |
| A3T1 | 0.8 | 4 |
| A3T2 | 0.8 | 8 |
| A3T3 | 0.8 | 12 |
| A3T4 | 0.8 | 16 |
| A4T1 | 1.4 | 4 |
| A4T2 | 1.4 | 8 |
| A4T3 | 1.4 | 12 |
| A4T4 | 1.4 | 16 |
| A5T1 | 2.0 | 4 |
| A5T2 | 2.0 | 8 |
| A5T3 | 2.0 | 12 |
| A5T4 | 2.0 | 16 |
NaN3处理:将清水处理后的种子浸于不同浓度的诱变剂(pH 3.0,用0.01 mol/L的磷酸缓冲液配制)中,分别浸种不同时间。具体处理见表2。诱变处理后用清水反复冲洗4 h待用。每个处理采用完全随机区组设计,设3次重复。
表2 胡麻种子NaN3诱变处理
Table 2
| 处理 Treatment | 浓度 Concentration (%) | 浸种时间 Soaking time (h) |
|---|---|---|
| C1T1 | 0.0(CK) | 4 |
| C1T2 | 0.0(CK) | 8 |
| C1T3 | 0.0(CK) | 12 |
| C1T4 | 0.0(CK) | 16 |
| C2T1 | 0.5 | 4 |
| C2T2 | 0.5 | 8 |
| C2T3 | 0.5 | 12 |
| C2T4 | 0.5 | 16 |
| C3T1 | 1.0 | 4 |
| C3T2 | 1.0 | 8 |
| C3T3 | 1.0 | 12 |
| C3T4 | 1.0 | 16 |
| C4T1 | 4.0 | 4 |
| C4T2 | 4.0 | 8 |
| C4T3 | 4.0 | 12 |
| C4T4 | 4.0 | 16 |
| C5T1 | 8.0 | 4 |
| C5T2 | 8.0 | 8 |
| C5T3 | 8.0 | 12 |
| C5T4 | 8.0 | 16 |
| C6T1 | 12.0 | 4 |
| C6T2 | 12.0 | 8 |
| C6T3 | 12.0 | 12 |
| C6T4 | 12.0 | 16 |
1.2.3 诱变后M1代材料的种植
播前搭塑料大棚,架设喷灌设施,施足底肥,整平地面,后覆3 cm厚蛭石,浇透水。设每处理为1个小区,共种植44个小区,小区行长2 m,宽0.4 m,种植2行,采用顺序排列法将处理后的材料点播至蛭石中,株距0.02 m,行距0.2 m,播深2~3 cm,每个处理水平150粒,设3次重复,精心管理。
1.3 测定项目与方法
1.3.1 种子发芽势和发芽率
将诱变处理后的150粒胡麻种子均匀摆放于培养皿滤纸上,然后在温度25 ℃、12 h光照/12 h黑暗、80%湿度的恒温培养箱中进行发芽试验,3 d后测定发芽势,7 d后测定发芽率,取平均数,计算出相对致死率。发芽势(%)=发芽试验初期(规定日期)正常发芽种子总数/供试种子总数×100;发芽率(%)=发芽试验初期(规定日期)正常发芽种子总数/供试种子总数×100;相对致死率(%)=(对照组发芽率-处理组的发芽率)/对照组发芽率×100[23]。
1.3.2 M1代植株农艺性状
胡麻成熟期调查成株率,收获时每个处理水平随机取样5株,对株高、工艺长度、单株有效果数、每果粒数、蒴果直径、茎粗、单株粒重和千粒重等项目进行考种。
1.3.3 变异系数
变异系数是一种用于衡量数据离散程度的统计量。将标准差与平均值进行比值计算,从而消除单位和(或)平均数不同对比较资料变异程度的影响。变异系数(CV,%)=(标准偏差/平均值)×100。
1.4 数据处理与分析
利用Excel 2010、Origin软件进行数据分析。
2 结果与分析
2.1 不同诱变处理对胡麻种子萌发和M1代成株的影响
2.1.1 EMS对胡麻种子萌发和M1代成株的影响
由表3可知,EMS抑制胡麻种子萌发,浓度越高,相对致死率越高,发芽率和发芽势下降越明显,可能与DNA损伤和代谢障碍有关。与CK处理相比,A4处理平均发芽势和平均发芽率有所降低,分别为29.70%和44.63%,相对致死率有所增加,为38.93%。同一浓度,随浸种时间延长,胡麻种子发芽势和发芽率的差异明显,A1~A4处理平均发芽势降幅为30.91%~57.72%,平均发芽率降幅为19.09%~59.10%,平均相对致死率增幅为28.77%~89.59%。而当浓度增至A5时,T4处理相较于T1处理的平均发芽势、平均发芽率和平均相对致死率反而降低,分别为31.41%、51.95%和29.59%。说明EMS处理对胡麻种子萌发的影响与剂量(浓度)×时间的大小相对应,剂量×时间越小,对胡麻种子的萌发抑制越小,反之抑制越大;当浓度达到2.0%时,抑制反而减小。A4T3处理时相对致死率达51.89%,最接近50%相对致死率,因此半致死剂量(剂量×时间)为最适诱变剂量组。此外,不同处理对胡麻成株率也有明显影响。当浓度增至A4时,胡麻平均成株率增至54.49%,较对照增加8.94%。但浓度达到A5时,随着浸种时间延长,平均成株率反而降低至29.57%,较对照降低40.84%。
表3 EMS处理对胡麻种子萌发及成株的影响
Table 3
| 处理 Treatment | 发芽势 Germination potential | 发芽率 Germination rate | 相对致死率 Relative mortality | 成株率 Planting rate | 成株数较对照 Plant compared with CK |
|---|---|---|---|---|---|
| A1T1 | 73.37±6.44aA | 78.84±11.26aA | - | 52.39 | - |
| A1T2 | 72.67±5.03aA | 68.00±2.00aA | - | 51.71 | -1.30 |
| A1T3 | 64.00±12.17aA | 70.67±5.03aA | - | 48.00 | -8.38 |
| A1T4 | 83.25±6.34aA | 83.90±1.86aA | - | 48.00 | -8.38 |
| A2T1 | 72.00±3.46abcA | 78.67±13.61abcA | 0.22 | 36.44 | -30.44 |
| A2T2 | 70.50±7.40abA | 79.21±4.52aA | 15.80 | 57.03 | - |
| A2T3 | 63.06±3.50aA | 81.84±6.25aA | 16.49 | 63.14 | 10.71 |
| A2T4 | 41.09±7.26bB | 59.58±3.25bB | 28.99 | 57.33 | 0.53 |
| A3T1 | 72.53±9.29abA | 81.27±11.64abA | 3.08 | 42.44 | -25.58 |
| A3T2 | 58.67±5.77abcA | 78.67±5.77abAB | 15.69 | 33.33 | -41.56 |
| A3T3 | 40.00±7.21bB | 64.00±7.21bB | 9.44 | 59.65 | - |
| A3T4 | 27.89±7.73cB | 51.70±7.17cB | 38.38 | 60.67 | 1.71 |
| A4T1 | 59.05±2.59bcA | 67.77±2.36bcA | 0.08 | 64.00 | 7.29 |
| A4T2 | 43.08±12.41bcA | 68.06±13.92bCB | 14.04 | 40.12 | -32.74 |
| A4T3 | 15.33±6.43cC | 34.00±12.49cC | 51.89 | 31.07 | -47.91 |
| A4T4 | 1.33±2.31dC | 8.67±8.33dC | 89.67 | 82.76 | - |
| A5T1 | 58.30±11.65cA | 71.12±3.41cA | 9.80 | 58.67 | -29.11 |
| A5T2 | 36.67±14.47cA | 60.67±12.70cB | 10.78 | 43.67 | -47.23 |
| A5T3 | 29.33±3.06bcBC | 57.33±9.87bcBC | 18.87 | 8.00 | -90.33 |
| A5T4 | 1.33±1.15dC | 18.67±5.77dC | 77.75 | 8.00 | -90.33 |
同列不同大、小写字母分别表示P < 0.05、P < 0.01水平差异显著。下同。
Different capital and lowercase letters in the same column represent significant difference at P < 0.05, P < 0.01 level, respectively. The same below.
2.1.2 NaN3对胡麻种子萌发和M1代成株的影响
由表4可知,NaN3对胡麻种子萌发的影响呈现明显的浓度和时间效应。低浓度(C2、C3)短时(T1、T2、T3)处理时,NaN3对胡麻种子萌发的抑制作用不明显;而高浓度(C4、C5、C6)处理则会抑制种子萌发,导致发芽势和发芽率产生明显差异。随着NaN3浓度增大以及浸种时间的延长,胡麻种子的萌发受到明显抑制。当NaN3浓度升至C6时,与CK处理相比其平均发芽势和平均发芽率有所降低,分别为14.50%和38.67%,相对致死率则上升,为44.00%。在同一浓度,随着处理时间的延长,胡麻种子的发芽势和发芽率均明显降低。C1~C4处理平均发芽势为18.67%~31.57%,平均发芽率为14.78%~47.70%,平均相对致死率为26.99%~69.27%。当浓度增至C6时,C4处理相较于C1处理的平均发芽势、平均发芽率和平均相对致死率反而降低,分别为18.67%、28.67%和43.76%。进一步研究发现,NaN3处理对胡麻种子萌发的影响程度与剂量(浓度)×时间密切相关。剂量×时间的值越小,对胡麻种子萌发的抑制作用越弱;反之,抑制作用越强。而当浓度达到12.0%时,抑制反而减小。C4T4处理和C5T2处理的相对致死率最接近50%,分别为54.69%和48.09%,这2个处理组对应的半致死剂量(剂量×时间)为最适诱变剂量组。此外,不同处理对田间胡麻成株率同样有明显影响。随着处理浓度的不断增加,胡麻成株率大多随处理时间的延长而逐渐降低。当处理浓度达到C6时,胡麻平均成株率降至20.46%,相较于对照降低了63.81%。
表4 NaN3处理对胡麻种子萌发及成株的影响
Table 4
| 处理 Treatment | 发芽势 Germination potential | 发芽率 Germination rate | 相对致死率 Relative mortality | 成株率 Planting rate | 成株数较对照 Plant compared with CK |
|---|---|---|---|---|---|
| C1T1 | 61.00±15.56bA | 73.00±42.72aA | - | 61.80 | - |
| C1T2 | 80.67±10.07aA | 68.67±12.86aAB | - | 76.97 | 24.55 |
| C1T3 | 43.33±27.15bA | 56.00±17.78abABC | - | 60.67 | -1.83 |
| C1T4 | 78.50±8.05aA | 83.86±7.04aA | - | 26.67 | -56.85 |
| C2T1 | 64.69±11.33abA | 72.19±6.59aAB | 1.10 | 33.89 | -45.17 |
| C2T2 | 66.00±12.00aAB | 72.67±11.02aA | -5.82 | 11.33 | -81.66 |
| C2T3 | 66.40±11.48aA | 66.44±11.35aA | -18.64 | 56.03 | - |
| C2T4 | 53.33±5.77bB | 68.67±8.08abAB | 18.12 | 75.33 | 34.45 |
| C3T1 | 69.09±5.43abA | 69.09±8.45abAB | 5.36 | 81.85 | 46.08 |
| C3T2 | 56.31±15.33abAB | 64.37±9.45abAB | 6.26 | 36.67 | -34.56 |
| C3T3 | 62.00±15.62aA | 62.00±8.33aAB | -10.71 | 16.72 | -70.16 |
| C3T4 | 57.71±14.01bAB | 59.70±14.56bcBC | 28.81 | 12.00 | -78.58 |
| C4T1 | 35.42±12.67cB | 52.78±8.42bB | 27.70 | 59.06 | - |
| C4T2 | 37.33±26.10bcBC | 58.00±14.42abAB | 15.54 | 75.17 | 27.28 |
| C4T3 | 13.37±8.03cB | 42.23±6.53bcBCD | 24.59 | 65.40 | 10.74 |
| C4T4 | 13.33±5.03cC | 38.00±3.46deCDE | 54.69 | 52.08 | -11.81 |
| C5T1 | 36.93±1.60cB | 69.81±3.31aAB | 4.37 | 30.00 | -49.20 |
| C5T2 | 13.48±8.32cdC | 35.65±10.57cC | 48.09 | 19.80 | -66.48 |
| C5T3 | 4.67±4.16cB | 36.23±5.17cCD | 35.30 | 75.33 | - |
| C5T4 | 5.36±4.15cC | 22.11±10.30eE | 73.64 | 60.35 | -19.88 |
| C6T1 | 28.67±4.62cB | 54.00±8.00bAB | 26.03 | 48.67 | -35.40 |
| C6T2 | 11.33±6.11dC | 44.67±7.57bcBC | 34.95 | 21.64 | -71.27 |
| C6T3 | 8.00±3.46cB | 30.67±4.62cD | 45.24 | 9.51 | -87.38 |
| C6T4 | 10.00±8.72cC | 25.33±9.87eDE | 69.79 | 2.00 | -97.35 |
2.2 不同诱变处理对胡麻植株农艺性状的影响
2.2.1 EMS对胡麻植株农艺性状的影响
对EMS处理后胡麻M1代的各指标进行方差分析(表5)可知,茎粗受EMS的影响不大,浓度、时间和浓度×时间互作差异不显著。单株有效果数在浓度×时间互作差异显著,说明EMS对有效果数的影响是浓度与浸种时间互作的结果。单株粒重在不同浓度处理差异极显著,不同时间处理差异显著,说明EMS浓度对单株粒重的影响大于浸种时间,而千粒重在不同浓度处理间差异不显著,不同时间处理间差异极显著,说明EMS浸种时间对千粒重的影响大于浓度。除此之外,不同EMS浓度和处理时间的胡麻株高、工艺长度、蒴果直径和每果粒数性状的差异极显著。
表5 EMS处理对M1代胡麻农艺性状影响的方差分析
Table 5
| 变异来源 Source of variation | 自由度 df | 株高 Plant height (cm) | 工艺长度 Technical length (cm) | 单株有效果数 Capsule number per plant | 蒴果直径 Capsule diameter (mm) | ||||||||||||||||||
|---|---|---|---|---|---|---|---|---|---|---|---|---|---|---|---|---|---|---|---|---|---|---|---|
| 均方MS | F值F-value | 均方MS | F值F-value | 均方MS | F值F-value | 均方MS | F值F-value | ||||||||||||||||
| 浓度Concentration (C) | 4 | 208.1031 | 11.2358** | 289.8773 | 25.6463** | 253.9115 | 2.2977 | 0.515 | 13.0670** | ||||||||||||||
| 时间Time (T) | 3 | 186.7797 | 10.0845** | 224.1255 | 19.8290** | 51.1864 | 0.4632 | 0.2627 | 6.6642** | ||||||||||||||
| 浓度×时间C×T | 12 | 26.8647 | 1.4505 | 42.8547 | 3.7915** | 264.3564 | 2.3922* | 0.0861 | 2.1837* | ||||||||||||||
| 变异来源 Source of variation | 茎粗 Stem diameter (mm) | 每果粒数 Seeds of per capsule | 单株粒重 Seed weight per plant (g) | 千粒重 1000-seed weight (g) | |||||||||||||||||||
| 均方MS | F值F-value | 均方MS | F值F-value | 均方MS | F值F-value | 均方MS | F值F-value | ||||||||||||||||
| 浓度Concentration (C) | 0.1603 | 2.3889 | 26.1162 | 35.6442** | 1.5555 | 12.3926** | 0.3990 | 1.1843 | |||||||||||||||
| 时间Time (T) | 0.0278 | 0.4137 | 12.5433 | 17.1194** | 0.3909 | 3.1145* | 4.1196 | 12.2278** | |||||||||||||||
| 浓度×时间C×T | 0.0610 | 0.9086 | 1.3570 | 1.8521 | 0.1765 | 1.4064 | 0.3629 | 1.0770 | |||||||||||||||
“*”表示差异显著,“**”表示差异极显著。
“*”indicates significant difference,“**”indicates extremely significant difference.
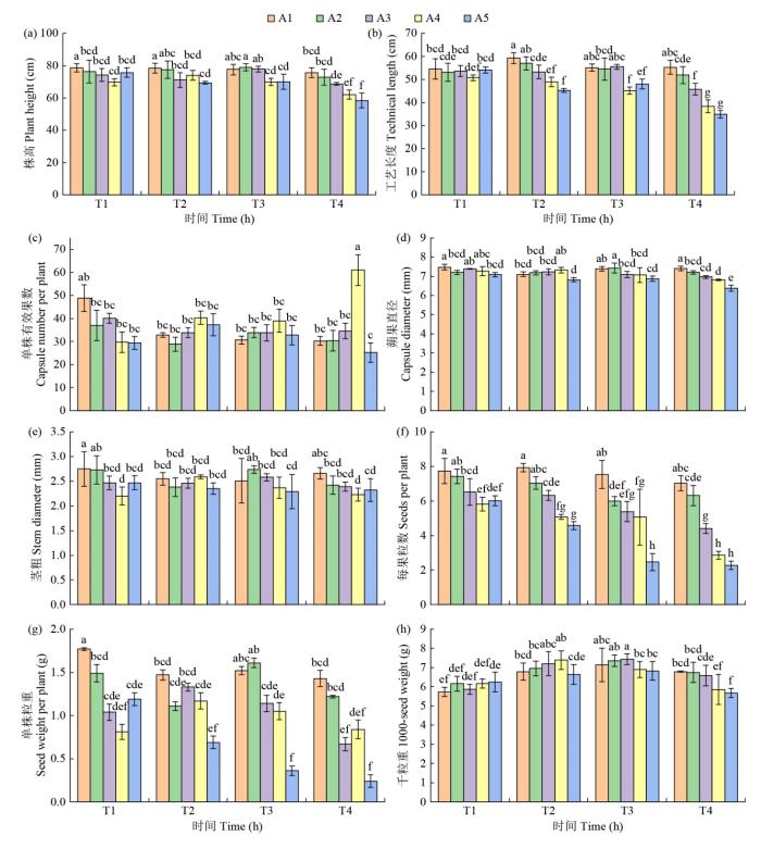
经EMS处理后,M1代胡麻的株高、工艺长度、单株有效果数、蒴果直径、茎粗、每果粒数和千粒重的平均值均低于相应对照,且随浓度的增大而降低。单株有效果数、千粒重和单株粒重的变化有所不同,其中单株有效果数在A4处理时会随着时间延长而增大,A4T4处理下增至最大,为19.38%。在A5处理时又较对照下降了12.51%。单株粒重随处理浓度增大、时间延长较对照总体呈下降趋势,在A5T4处理降幅达17.02%。千粒重在低浓度(A2、A3)短时(T2、T3)处理条件下,随EMS浓度的升高而增大,达到T4时A4、A5处理的平均值反而降低,较相应对照降幅为16.47%。这可能是因为EMS诱导的基因突变影响了胡麻体内激素的合成或信号传导等途径,进而影响了植株的生长发育。
由图1可知,不同EMS处理下M1代各指标的变异系数除蒴果大小随浓度增大及浸种时间延长降低10.67%外,其余各指标总体随浓度升高和处理时间延长而逐渐增大。与CK相比,每果粒数变异幅度最大,达150.84%。单株粒重的变幅相对较小,增幅为1.17%。但株高、工艺长度和千粒重的变异系数有所不同,EMS浓度达到1.4%时,变异幅度最高达到30.86%,当浓度增加到2.0%,变异幅度反而降低。
图1
图1
不同EMS处理对胡麻M1代植株性状的影响
Fig.1
Effect of EMS treatments on characteristics of M1 germination of flax
2.2.2 NaN3对胡麻主要农艺性状的影响
对NaN3处理后的胡麻M1代各项指标进行方差分析(表6)发现,NaN3对胡麻株高和茎粗的影响相对较小,在浸种时间、浓度以及浓度×时间的互作方面,差异均不显著。浸种时间对工艺长度的影响差异不显著,但受浓度以及浓度×时间的互作,均呈现出显著或极显著差异。千粒重则受浓度影响极显著,受浸种时间处理影响显著,这表明NaN3对千粒重的影响,浓度因素大于浸种时间因素。而蒴果直径在浓度与时间的互作方面差异显著,说明其受处理浓度×时间相互作用的影响较大。单株粒重受浸种时间的影响差异显著,说明浸种时间影响胡麻籽粒的单株粒重。此外,NaN3浓度、浸种时间以及浓度×时间的互作均对单株有效果数和每果粒数的影响存在显著或极显著影响。
表6 NaN3对M1代胡麻农艺性状影响的方差分析
Table 6
![]() |
经NaN3处理后,M1代胡麻的株高、工艺长度、蒴果直径、每果粒数和千粒重的平均值大多低于相应对照,且随浓度增大而降低。但单株有效果数、茎粗和单株粒重的变化有所不同,随NaN3浓度升高M1代单株有效果数增加了48.99%。茎粗和单株粒重的平均值在低浓度时无明显变化,高浓度(C6)时随时间的延长而增大,平均增幅达2.44%。当浓度达12.0%(C6)时单株粒重平均值高于相应对照,平均增幅达15.66%。这可能是因为NaN3影响了胡麻的激素平衡和营养分配,促进了分枝的生长和花芽的分化。
由不同NaN3处理下M1代各指标的变异系数(图2)可知,株高、工艺长度、蒴果直径和茎粗在各处理间的变幅不明显,说明NaN3对上述农艺性状的影响不大,其余各指标的变异程度在一定浓度(时间)随浸种时间(浓度)增大逐渐增加,其中单株粒重变异幅度最大达99.15%。单株有效果数的变幅相对较小,较相应对照增幅为4.43%。
图2
图2
不同NaN3处理对胡麻M1代植株性状的影响
Fig.2
Effects of NaN3 treatment on characteristics of M1 germination of flax
3 讨论
3.1 不同浓度诱变剂对胡麻种子发芽、成株率的影响及诱变效果的差异
化学诱变不仅能获得丰富的种质资源,更是新品种选育的技术手段。大量研究[24-25]表明,化学诱变剂由于作用机理及诱变的作物不同,发生诱变效应的浓度和处理时间随之不同。确定适宜浓度的化学诱变剂处理难度较大,高浓度对诱导物的毒害作用加大,其M1代存活率降低;低浓度诱变效果差,有益突变的概率降低[26]。本研究结果显示,不同EMS处理对胡麻种子萌发及M1代胡麻成株有显著抑制作用。低浓度短时间浸种处理能促进种子发芽,提高发芽率和成株率;高浓度长时间浸种则抑制发芽,降低成株率。经NaN3处理后,低浓度短时间浸种对胡麻种子的发芽率影响不明显,但能提高成株率。当浓度增大到12.0%时,时间越长,抑制种子发芽越明显。
3.2 不同浓度诱变剂对胡麻农艺性状的影响
EMS是一种烷化剂,它能使修饰后的DNA分子碱基发生突变,具有较高的突变频率和相对较低的染色体畸变率,能够产生丰富的点突变。而NaN3是一种呼吸抑制剂,它主要作用于细胞的呼吸代谢过程,抑制细胞色素氧化酶的活性,使细胞内的能量代谢受阻,从而影响DNA的合成和修复。在DNA复制过程中,因能量供应不足和代谢紊乱,不仅会发生碱基错误掺入和基因突变,还能直接作用于DNA,引起碱基的损伤和突变。因此,化学诱变剂对胡麻不同农艺性状的影响是通过复杂的分子机制实现的,涉及基因表达、激素平衡和细胞代谢等多个方面。不同的诱变剂和剂量对这些机制的影响不同,从而导致诱变剂对胡麻M1代主要农艺性状的影响不同[30]。姜振峰等[31]对大豆进行室内考种发现,株高、主茎节数、分枝数、单株粒数、单株重和百粒重等经处理后的平均数和均数标准误与对照相比,变异范围均增加。本研究结果显示,不同EMS处理对胡麻8个农艺性状都有影响。其中,株高、工艺长度、蒴果直径、茎粗、每果粒数和每果粒重的平均值随浓度的增大而降低。单株有效果数低浓度时无明显变化,当浓度高于1.4%时,随浸种时间延长而增加。千粒重与浓度的关系表现为低浓度促进、高浓度抑制的趋势。NaN3处理对株高、工艺长度、蒴果直径、茎粗和每果粒数无明显影响,但对单株有效果数、千粒重和每株粒重3个性状影响明显,随NaN3浓度增加和浸种时间延长会提高单株粒重和单株有效果数,而千粒重则表现为低浓度短时处理促进、高浓度长时处理抑制的趋势。
4 结论
通过农艺性状研究和田间观察比较,发现甲基磺酸乙酯(EMS)和叠氮化钠(NaN3)处理可使M1代胡麻种子的发芽和农艺性状等发生变异,诱变浓度和处理时间对胡麻的诱变育种非常重要,因此,在M1代中筛选出有利胡麻种子变异的EMS处理浓度为1.4%,处理时间为12 h;NaN3处理浓度为4.0%和8.0%,处理时间分别为16 h和8 h。
参考文献
植物生物钟在农业生产中应对全球变暖的应用
DOI:10.11983/CBB23136
[本文引用: 1]
当前全球变暖趋势不可逆转, 异常气候导致的温度胁迫频繁发生, 给农业高产及稳产带来了巨大挑战。生物钟作为内源性且可遗传的计时机制, 赋予了植物预测和快速响应环境因子周期性变化的能力, 以确保诸多生理生化途径与环境同步, 极大增强了植物的生存和繁衍能力。温度响应和补偿现象不仅涉及生物钟与环境信号“同步化”, 而且涉及农业生产中作物适应温度胁迫的实际应用。生物钟温度补偿是指在较宽范围的生理温度内, 通过转录和转录后机制, 生物钟可基本维持近日节律周期的长度不变, 确保计时机制准确运行。自然环境中, 光照、温度和湿度紧密耦联, 作为授时因子将环境信号经过输入途径传递给生物钟核心振荡器, 影响植物生长发育的全过程。该文回顾了植物生物钟温度响应和补偿机制的研究历史, 详述了最新研究进展, 展望了其在作物遗传育种和田间管理等方面的应用前景, 为解决农作物温度胁迫适应性问题提供了全新的思路和方案。
化学诱变剂EMS对胡麻种子的诱变效应
PT-Flax (phenotyping and TILLinG of flax): development of a flax (Linum usitatissimum L.) mutant population and TILLinG platform for forward and reverse genetics
DOI:10.1186/1471-2229-13-159
PMID:24128060
Background: Flax (Linum usitatissimum L.) is an economically important fiber and oil crop that has been grown for thousands of years. The genome has been recently sequenced and transcriptomics are providing information on candidate genes potentially related to agronomically-important traits. In order to accelerate functional characterization of these genes we have generated a flax EMS mutant population that can be used as a TILLinG (Targeting Induced Local Lesions in Genomes) platform for forward and reverse genetics.;Results: A population of 4,894 M2 mutant seed families was generated using 3 different EMS concentrations (0.3%, 0.6% and 0.75%) and used to produce M2 plants for subsequent phenotyping and DNA extraction. 10,839 viable M2 plants (4,033 families) were obtained and 1,552 families (38.5%) showed a visual developmental phenotype (stem size and diameter, plant architecture, flower-related). The majority of these families showed more than one phenotype. Mutant phenotype data are organised in a database and can be accessed and searched at UTILLdb (http://urgv.evry.inra.fr/UTILLdb). Preliminary screens were also performed for atypical fiber and seed phenotypes. Genomic DNA was extracted from 3,515 M2 families and eight-fold pooled for subsequent mutant detection by ENDO1 nuclease mis-match cleavage. In order to validate the collection for reverse genetics, DNA pools were screened for two genes coding enzymes of the lignin biosynthesis pathway: Coumarate-3-Hydroxylase (C3H) and Cinnamyl Alcohol Dehydrogenase (CAD). We identified 79 and 76 mutations in the C3H and CAD genes, respectively. The average mutation rate was calculated as 1/41 Kb giving rise to approximately 9,000 mutations per genome. Thirty-five out of the 52 flax cad mutant families containing missense or codon stop mutations showed the typical orange-brown xylem phenotype observed in CAD down-regulated/mutant plants in other species.;Conclusions: We have developed a flax mutant population that can be used as an efficient forward and reverse genetics tool. The collection has an extremely high mutation rate that enables the detection of large numbers of independant mutant families by screening a comparatively low number of M2 families. The population will prove to be a valuable resource for both fundamental research and the identification of agronomically-important genes for crop improvement in flax.
化学诱变甘薯新品种甬紫薯1号的选育
采用化学诱变育种手段选育紫薯新品种,分别用0,0.5%,1.0%,1.5%叠氮化钠(NaN3)对亲本澳大利亚Au1990sp紫甘薯胚性细胞团进行诱变处理6 h。结果表明,0.5% NaN3处理6 h效果最好,将05% NaN3处理6 h胚性细胞团进行再分化,共分化出植株125株,2003年移栽后获得99株系,当年入选14株系,秋天收获时其中有3株系高产,编号为CA06产量达到43.98 t·hm-2, CA11产量达到40.03 t·hm-2,CA17产量达到43.84 t·hm-2,对照组Au1990sp产量为4.95 t·hm-2。诱变后的株系在植株表型、特征、特性与亲本相比有很大的不同。对亲本Au1990sp用NaN3诱变后的株系进行AFLP 分析,发现有明显差异,对该品种进行12年的选育,命名为甬紫薯1号,2012年12月获得浙江省非农作物新品种的审定。
Genetic diversity analysis using RAPD and ISSR markers revealed discrete genetic makeup in relation to fibre and oil content in Linum usitatissimum L
genotypes
Genome-wide development of simple sequence repeats database for flax (Linum usitatissimum L.) and its use for genetic diversity assessment
Genomic comparison and population diversity analysis provide insights into the domestication and improvement of flax
诱变技术在亚麻育种中的应用
DOI:10.11869/j.issn.100-8551.2017.07.1310
[本文引用: 1]
亚麻是重要的油料作物和纤维作物,本文简要介绍了物理诱变、化学诱变和组织培养等诱变技术的特点与机理,重点综述了γ射线诱变、航天诱变、EMS 诱变和体细胞无性系变异等诱变技术在亚麻育种中的应用;同时介绍了形态学方法、仪器分析方法、离体组织培养法和TILLING技术等在亚麻突变体的鉴定与筛选中的应用,并从开展复合诱变育种和优化诱变后代筛选技术等方面对亚麻诱变技术的发展前景进行了展望,旨在为亚麻诱变育种研究提供参考。
EMS诱变花生珍珠红1号创制优良新种质
DOI:10.11869/j.issn.100-8551.2020.07.1369
[本文引用: 1]
为创制花生优良新种质,以花生品种珍珠红1号的干种子为材料,采用浸泡法开展甲基磺酸乙酯(EMS)诱变研究。结果表明,以半致死剂量为选择标准,适宜诱变条件为0.8% EMS处理10 h;筛选获得9个优良M<sub>5</sub>突变系,其中4个表现出产量高、品质优、综合性状优良等特点。上述4个M<sub>5</sub>突变系干荚果产量较对照(珍珠红1号)增加10.93% ~ 26.78%,出仁率均高于对照;在品质方面,诱珍珠红1号2Ⅱ/19油酸含量为56.68%、油酸/亚油酸比值(O/L)为1.92,分别较对照提高8.44个百分点和0.57;诱珍珠红1号2Ⅲ/8亚油酸含量为39.05%,较对照提高3.28个百分点;诱珍珠红1号2Ⅲ/10粗脂肪含量为54.52%,较对照提高1.50个百分点;诱珍珠红1号3Ⅰ/8油酸含量为53.70%、O/L为1.71,分别较对照提高5.46个百分点和0.36。ISSR分子标记结果表明,9个优良M<sub>4</sub>突变系与珍珠红1号在分子水平上均存在明显差异,突变系之间在分子水平上也存在明显差异。本研究结果为花生遗传改良和功能基因研究提供了优良的新种质,为花生EMS诱变育种研究提供了参考。
叠氮化钠诱变燕麦M1代的主要性状分析
DOI:10.11733/j.issn.1007-0435.2022.03.010
[本文引用: 1]
为明确叠氮化钠(NaN<sub>3</sub>)处理后燕麦(Avena sativa) M1代植株主要性状的变化,本研究以两个燕麦品种‘爱沃’(‘Everleaf’)和‘青永久709’(‘Qingyongjiu 709’)种子为材料,设置不同叠氮化钠浓度(0,5,10,15,20mM)和不同处理时间(1,2,3h),将处理后的种子播到田间,观察M1代植株的农艺性状,并对主要性状进行测定分析。结果表明,NaN<sub>3</sub>处理后燕麦M1代的生育期较对照推迟2~5d,株高和主穗粒数明显下降且‘青永久709’的降幅更大,在15mM/3h处理下,与对照相比,其株高和主穗粒数分别下降了24.06%和76.69%。另外,两品种燕麦M1代旗叶长也低于对照,但旗叶宽却高于对照,从而对旗叶面积造成影响。其中‘青永久709’的M1代旗叶面积总体大于对照,但‘爱沃’平均减小了7.23%。NaN<sub>3</sub>处理后燕麦M1代各指标均发生了不同程度的变化,其中有效分蘖数和主穗粒重的变化最大。‘爱沃’和‘青永久709’的M1代主穗粒重最大变异系数分别为87.92%和90.80%。主成分分析表明,两品种被清晰地划分为两个彼此独立的类群,不同品种的诱变群体也分属不同的亚群,且‘青永久709’的M1代各指标的变化幅度总体大于‘爱沃’。
/
| 〈 |
|
〉 |


