作物杂志,2025, 第5期: 155–164 doi: 10.16035/j.issn.1001-7283.2025.05.021

• 遗传育种·种质资源·生物技术 • 上一篇    下一篇

化学诱变对胡麻“定亚23号”种子萌发和M1代主要农艺性状的影响

李瑛(), 赵永伟, 陈英, 马伟明(), 李文珍, 张海杰   

  1. 定西市农业科学研究院, 743000, 甘肃定西
  • 收稿日期:2025-03-24 修回日期:2025-05-15 出版日期:2025-10-15 发布日期:2025-10-21
  • 通讯作者: 马伟明,主要从事胡麻育种及栽培技术研究,E-mail:719774470@qq.com
  • 作者简介:李瑛,主要从事胡麻遗传育种及栽培研究,E-mail:liy9461613@163.com
  • 基金资助:
    国家特色油料产业技术体系项目(CARS-14-2-25);甘肃省科技计划项目(23CXNJ0003);甘肃省科技计划项目(24YFNJ001)

Effects of Chemical Mutagens on Seed Germination and Main Agronomic Traits of M1 Generation of Flax ʻDingya 23ʼ

Li Ying(), Zhao Yongwei, Chen Ying, Ma Weiming(), Li Wenzhen, Zhang Haijie   

  1. Dingxi Academy of Agricultural Sciences, Dingxi 743000, Gansu, China
  • Received:2025-03-24 Revised:2025-05-15 Online:2025-10-15 Published:2025-10-21

摘要: 为了进一步提高胡麻种子发芽率,改善农艺性状,选育出含油率和亚麻酸等含量较高,且更适宜不同生态环境的优异种质。试验分析了2种化学诱变剂(EMS和NaN3)的浓度和浸种时间对胡麻种子发芽率、发芽势、相对致死率及M1代主要农艺性状的影响。结果表明,化学诱变剂显著抑制胡麻种子萌发,降低发芽势和发芽率,影响M1代主要农艺性状。EMS诱变剂最优的半致死剂量为1.40%/12 h,种子的致死率为51.89%,NaN3诱变剂最优的半致死剂量为4.0%/16 h和8.0%/8 h,种子的半致死率为54.69%和48.09%。不同化学诱变剂对M1代主要农艺性状的影响随浸种时间和浓度的变化而不同。EMS处理下,除蒴果直径随浓度增大及浸种时间延长变异系数降低外,其余各指标的变异程度总体随EMS浓度升高及处理时间延长而逐渐增大。NaN3处理下,除单株粒重和单株有效果数外,其余各指标的变异程度在一定浓度(时间)随浸种时间(浓度)增大而逐渐增加。本研究筛选出了适宜浓度×时间互作的相对致死处理和M1花色、株型以及子叶性状发生诱变的材料,同时为胡麻化学诱变育种提供了基础研究数据。

关键词: 化学诱变剂, 胡麻, 种子萌发, 相对致死率, 农艺性状

Abstract:

To enhance flax seed germination, improve agronomic traits, and breed superior germplasms with high oil and α-linolenic acid content, this study analyzed the effects of concentrations and soaking time of two chemical mutagens, EMS and NaN3 on flax seeds. The experiment focused on the effects of mutagen concentration and soaking time on germination rate, germination potential, relative mortality, and key agronomic traits of the M1 generation. The results showed that both chemical mutagens significantly inhibited seed germination and reduced germination potential and germination rate, negatively impacted the main agronomic traits of M1 generation. The optimal semi-lethal dose for EMS was found to be a 1.4% concentration for 12 h, which resulted in a relative lethal rate of 51.89%. For NaN3, optimal semi-lethal doses were 4.0% for 16 h and 8.0% for 8 h, with relative mortality of 54.69% and 48.09%, respectively. The agronomic traits of the M1 generation varied depending on the mutagen concentration and soaking time. Under EMS treatment, the variation in most traits increased with higher concentrations and longer treatment times, except for capsule diameter. Under NaN3 treatment, the variability of most traits (excluding seed weight per plant and capsule numbers per plant) also increased with longer soaking times at a given concentration. This study successfully identified effective relative-lethal treatments and materials with mutations in flower color, plant type, and cotyledon traits, and provided essential data for chemical mutagenesis breeding in flax.

Key words: Chemical mutagens, Flax, Seed germination, Relative mortality, Agronomic trait

表1

胡麻种子EMS诱变处理

处理
Treatment
浓度
Concentration (%)
浸种时间
Soaking time (h)
A1T1 0.0(CK) 4
A1T2 0.0(CK) 8
A1T3 0.0(CK) 12
A1T4 0.0(CK) 16
A2T1 0.2 4
A2T2 0.2 8
A2T3 0.2 12
A2T4 0.2 16
A3T1 0.8 4
A3T2 0.8 8
A3T3 0.8 12
A3T4 0.8 16
A4T1 1.4 4
A4T2 1.4 8
A4T3 1.4 12
A4T4 1.4 16
A5T1 2.0 4
A5T2 2.0 8
A5T3 2.0 12
A5T4 2.0 16

表2

胡麻种子NaN3诱变处理

处理
Treatment
浓度
Concentration (%)
浸种时间
Soaking time (h)
C1T1 0.0(CK) 4
C1T2 0.0(CK) 8
C1T3 0.0(CK) 12
C1T4 0.0(CK) 16
C2T1 0.5 4
C2T2 0.5 8
C2T3 0.5 12
C2T4 0.5 16
C3T1 1.0 4
C3T2 1.0 8
C3T3 1.0 12
C3T4 1.0 16
C4T1 4.0 4
C4T2 4.0 8
C4T3 4.0 12
C4T4 4.0 16
C5T1 8.0 4
C5T2 8.0 8
C5T3 8.0 12
C5T4 8.0 16
C6T1 12.0 4
C6T2 12.0 8
C6T3 12.0 12
C6T4 12.0 16

表3

EMS处理对胡麻种子萌发及成株的影响

处理
Treatment
发芽势
Germination potential
发芽率
Germination rate
相对致死率
Relative mortality
成株率
Planting rate
成株数较对照
Plant compared with CK
A1T1 73.37±6.44aA 78.84±11.26aA 52.39
A1T2 72.67±5.03aA 68.00±2.00aA 51.71 -1.30
A1T3 64.00±12.17aA 70.67±5.03aA 48.00 -8.38
A1T4 83.25±6.34aA 83.90±1.86aA 48.00 -8.38
A2T1 72.00±3.46abcA 78.67±13.61abcA 0.22 36.44 -30.44
A2T2 70.50±7.40abA 79.21±4.52aA 15.80 57.03
A2T3 63.06±3.50aA 81.84±6.25aA 16.49 63.14 10.71
A2T4 41.09±7.26bB 59.58±3.25bB 28.99 57.33 0.53
A3T1 72.53±9.29abA 81.27±11.64abA 3.08 42.44 -25.58
A3T2 58.67±5.77abcA 78.67±5.77abAB 15.69 33.33 -41.56
A3T3 40.00±7.21bB 64.00±7.21bB 9.44 59.65
A3T4 27.89±7.73cB 51.70±7.17cB 38.38 60.67 1.71
A4T1 59.05±2.59bcA 67.77±2.36bcA 0.08 64.00 7.29
A4T2 43.08±12.41bcA 68.06±13.92bCB 14.04 40.12 -32.74
A4T3 15.33±6.43cC 34.00±12.49cC 51.89 31.07 -47.91
A4T4 1.33±2.31dC 8.67±8.33dC 89.67 82.76
A5T1 58.30±11.65cA 71.12±3.41cA 9.80 58.67 -29.11
A5T2 36.67±14.47cA 60.67±12.70cB 10.78 43.67 -47.23
A5T3 29.33±3.06bcBC 57.33±9.87bcBC 18.87 8.00 -90.33
A5T4 1.33±1.15dC 18.67±5.77dC 77.75 8.00 -90.33

表4

NaN3处理对胡麻种子萌发及成株的影响

处理
Treatment
发芽势
Germination potential
发芽率
Germination rate
相对致死率
Relative mortality
成株率
Planting rate
成株数较对照
Plant compared with CK
C1T1 61.00±15.56bA 73.00±42.72aA 61.80
C1T2 80.67±10.07aA 68.67±12.86aAB 76.97 24.55
C1T3 43.33±27.15bA 56.00±17.78abABC 60.67 -1.83
C1T4 78.50±8.05aA 83.86±7.04aA 26.67 -56.85
C2T1 64.69±11.33abA 72.19±6.59aAB 1.10 33.89 -45.17
C2T2 66.00±12.00aAB 72.67±11.02aA -5.82 11.33 -81.66
C2T3 66.40±11.48aA 66.44±11.35aA -18.64 56.03
C2T4 53.33±5.77bB 68.67±8.08abAB 18.12 75.33 34.45
C3T1 69.09±5.43abA 69.09±8.45abAB 5.36 81.85 46.08
C3T2 56.31±15.33abAB 64.37±9.45abAB 6.26 36.67 -34.56
C3T3 62.00±15.62aA 62.00±8.33aAB -10.71 16.72 -70.16
C3T4 57.71±14.01bAB 59.70±14.56bcBC 28.81 12.00 -78.58
C4T1 35.42±12.67cB 52.78±8.42bB 27.70 59.06
C4T2 37.33±26.10bcBC 58.00±14.42abAB 15.54 75.17 27.28
C4T3 13.37±8.03cB 42.23±6.53bcBCD 24.59 65.40 10.74
C4T4 13.33±5.03cC 38.00±3.46deCDE 54.69 52.08 -11.81
C5T1 36.93±1.60cB 69.81±3.31aAB 4.37 30.00 -49.20
C5T2 13.48±8.32cdC 35.65±10.57cC 48.09 19.80 -66.48
C5T3 4.67±4.16cB 36.23±5.17cCD 35.30 75.33
C5T4 5.36±4.15cC 22.11±10.30eE 73.64 60.35 -19.88
C6T1 28.67±4.62cB 54.00±8.00bAB 26.03 48.67 -35.40
C6T2 11.33±6.11dC 44.67±7.57bcBC 34.95 21.64 -71.27
C6T3 8.00±3.46cB 30.67±4.62cD 45.24 9.51 -87.38
C6T4 10.00±8.72cC 25.33±9.87eDE 69.79 2.00 -97.35

表5

EMS处理对M1代胡麻农艺性状影响的方差分析

变异来源
Source of variation
自由度
df
株高
Plant height (cm)
工艺长度
Technical length (cm)
单株有效果数
Capsule number per plant
蒴果直径
Capsule diameter (mm)
均方MS FF-value 均方MS FF-value 均方MS FF-value 均方MS FF-value
浓度Concentration (C) 4 208.1031 11.2358** 289.8773 25.6463** 253.9115 2.2977 0.515 13.0670**
时间Time (T) 3 186.7797 10.0845** 224.1255 19.8290** 51.1864 0.4632 0.2627 6.6642**
浓度×时间C×T 12 26.8647 1.4505 42.8547 3.7915** 264.3564 2.3922* 0.0861 2.1837*
变异来源
Source of variation
茎粗
Stem diameter (mm)
每果粒数
Seeds of per capsule
单株粒重
Seed weight per plant (g)
千粒重
1000-seed weight (g)
均方MS FF-value 均方MS FF-value 均方MS FF-value 均方MS FF-value
浓度Concentration (C) 0.1603 2.3889 26.1162 35.6442** 1.5555 12.3926** 0.3990 1.1843
时间Time (T) 0.0278 0.4137 12.5433 17.1194** 0.3909 3.1145* 4.1196 12.2278**
浓度×时间C×T 0.0610 0.9086 1.3570 1.8521 0.1765 1.4064 0.3629 1.0770

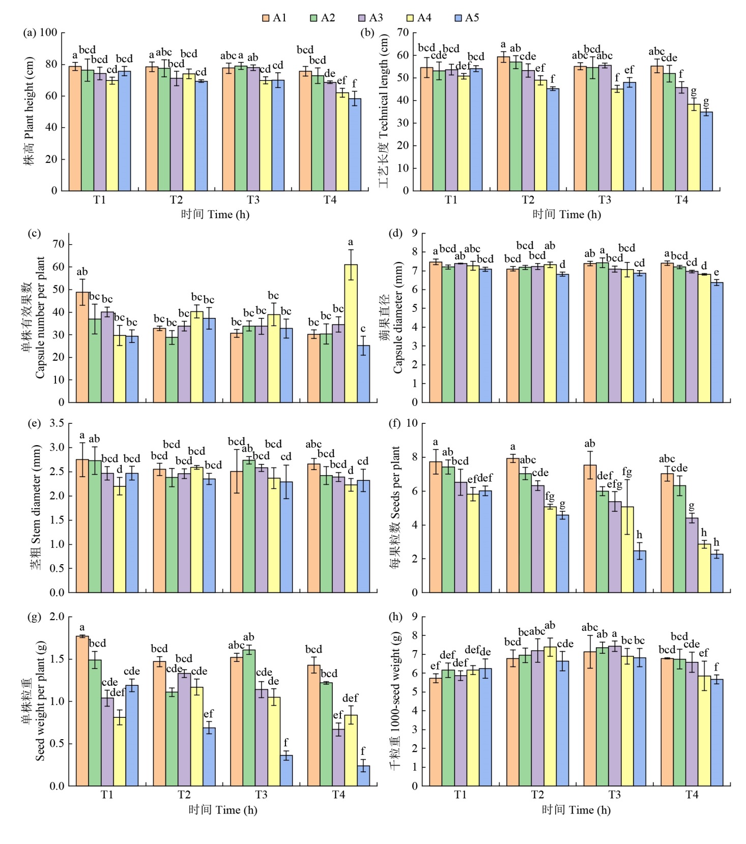
图1

不同EMS处理对胡麻M1代植株性状的影响

表6

NaN3对M1代胡麻农艺性状影响的方差分析

图2

不同NaN3处理对胡麻M1代植株性状的影响

[1] 谢启光, 徐小冬. 植物生物钟在农业生产中应对全球变暖的应用. 植物学报, 2024, 59(4):635-650.
doi: 10.11983/CBB23136
[2] 邓欣. 亚麻分子标记的开发及产量相关性状的关联分析. 北京: 中国农业科学院, 2013.
[3] 伊六喜, 斯钦巴特尔, 贾霄云, 等. 胡麻种质资源、育种及遗传研究进展. 中国麻业科学, 2017, 39(2):81-87.
[4] 王斌, 赵利, 侯静静. 化学诱变剂EMS对胡麻种子的诱变效应. 寒旱农业科学, 2022(10):73-77.
[5] Chantreau M, Grec S, Gutierrez L, et al. PT-Flax (phenotyping and TILLinG of flax): development of a flax (Linum usitatissimum L.) mutant population and TILLinG platform for forward and reverse genetics. BMC Plant Biology, 2013, 13:159.
doi: 10.1186/1471-2229-13-159 pmid: 24128060
[6] You F M, Cloutier S, Rashid K Y, et al. Flax (Linum usitatissimum L.) genomics and breeding//Advances in plant breeding strategies:industrial and food crops. Berlin: Springer International Publishing, 2019:277-317.
[7] 乔广军. 诱变在我国亚麻育种及资源创新中的利用. 中国麻业, 2006, 28(1):17-20.
[8] 张瑞成, 李魏, 潘素君, 等. 化学诱变在种质资源改良上的应用. 分子植物育种, 2017, 15(12):5189-5196.
[9] 刘翔. EMS诱变技术在植物育种中的研究进展. 激光生物学报, 2014, 23(3):197.
[10] 钮力亚, 于亮, 付晶, 等. 叠氮化钠在农作物育种中的应用. 河北农业科学, 2010, 14(12):52-53,57.
[11] 王芳, 魏章焕, 陆兴苗, 等. 化学诱变甘薯新品种甬紫薯1号的选育. 浙江农业学报, 2015, 27(12):2061-2064.
[12] 陈灿. 化学诱变对水稻诱变后代组织结构及农艺性状和生理特性的影响. 长沙:湖南农业大学, 2010.
[13] 颜志勤. 三种化学诱变剂在杉木育种中的应用研究. 福州:福建农林大学, 2013.
[14] 曹冠男. EMS诱导4种小麦效应研究及突变体的筛选. 杨凌:西北农林科技大学, 2018.
[15] 张晓勤, 薛大伟, 周伟辉, 等. 用甲基磺酸乙酯(EMS)诱变的大麦浙农大3号突变体的筛选和鉴定. 浙江大学学报(农业与生命科学版), 2011, 37(2):169-174.
[16] 杨建胜, 孙万仓, 刘自刚, 等. EMS诱变对北方白菜型冬油菜农艺性状与品质的影响. 干旱地区农业研究, 2018, 36(1):213-220.
[17] Kumari A, Paul S, Sharma V. Genetic diversity analysis using RAPD and ISSR markers revealed discrete genetic makeup in relation to fibre and oil content in Linum usitatissimum L. genotypes. Nucleus, 2018, 61(1):45-53.
[18] Pan G, Chen A G, et al. Genome-wide development of simple sequence repeats database for flax (Linum usitatissimum L.) and its use for genetic diversity assessment. Genetic Resources and Crop Evolution, 2020, 67(4):865-874.
[19] Zhang J P, Wang L M, et al. Genomic comparison and population diversity analysis provide insights into the domestication and improvement of flax. Science, 2020, 23(4):100967.
[20] 刘彩月. 胡麻EMS突变体库的构建及抗ALS类除草剂与高油酸突变体的鉴定分析. 呼和浩特:内蒙古大学, 2023.
[21] 冯学金, 郭秀娟, 杨建春, 等. 诱变技术在亚麻育种中的应用. 核农学报, 2017, 31(7):1310-1316.
doi: 10.11869/j.issn.100-8551.2017.07.1310
[22] 赵利, 王斌. 60Co-γ射线辐射胡麻种子的诱变效应研究. 中国油料作物学报, 2021, 43(5):834-842.
[23] 曹亚萍, 武银玉, 范绍强, 等. EMS诱变技术在小麦上的应用. 激光生物学报, 2019, 28(5):394.
[24] 赵福永, 郑娇, 何芳, 等. EMS与NaN3对甘蓝型油菜和芥菜型油菜诱变的效果. 江西农业学报, 2010, 22(9):6-9.
[25] 黎诗艳, 阮景军, 范昱, 等. EMS诱变剂处理对苦荞种子萌发及主要农艺性状的影响. 分子植物育种, 2021, 19(3):914-922.
[26] 杜园园, 刘永忠, 李万星, 等. 大豆EMS化学诱变处理条件分析. 安徽农业科学, 2012, 40(35):16995-16996.
[27] 刘建霞, 张梦丽, 李慧, 等. 苦荞麦种子与幼苗对叠氮化钠诱变的响应. 江苏农业科学, 2019, 47(10):85-88.
[28] 李娟宁, 吕英, 赵桂琴, 等. 化学诱变剂EMS和MNU对燕麦种子萌发和幼苗生长的影响. 草原与草坪, 2021, 41(3):108-118.
[29] 许燕, 谢永平, 郑楚群, 等. EMS诱变花生珍珠红1号创制优良新种质. 核农学报, 2020, 34(7):1369-1377.
doi: 10.11869/j.issn.100-8551.2020.07.1369
[30] 蔺豆豆, 赵桂琴, 柴继宽, 等. 叠氮化钠诱变燕麦M1代的主要性状分析. 草地学报, 2022, 30(3):587-593.
doi: 10.11733/j.issn.1007-0435.2022.03.010
[31] 姜振峰, 刘志华, 李文滨, 等. 叠氮化钠对大豆M1的生物学诱变效应. 核农学报, 2006, 20(3):208-210.
[32] 李燕红, 高世庆, 任扬, 等. 小麦核质互作杂交种农艺性状和籽粒性状的杂种优势分析. 麦类作物学报, 2021, 41(10):1228-1237.
[33] 彭波, 徐庆国, 陈灿. 三种化学诱变剂对不同水稻品种的生物学效应研究. 湖南人文科技学院学报, 2007, 24(4):22-26.
[1] 赵彩霞, 白玛央珍, 杨广环, 唐琳. 不同类型油菜资源农艺性状鉴定及聚类分析[J]. 作物杂志, 2025, (5): 120–127
[2] 吴立国, 李晓慧, 赵清, 陈小龙, 潘静, 刘旺清, 白海波, 李前荣. 宁夏春小麦品种(系)农艺性状遗传多样性分析[J]. 作物杂志, 2025, (5): 147–154
[3] 王燕, 张谦, 董明, 王树林, 冯国艺, 梁青龙, 祁虹. 机械打顶时间对冀南棉区棉花农艺性状和产量的影响[J]. 作物杂志, 2025, (5): 204–208
[4] 杜含梅, 谭露, 李声春, 王清海, 徐洲, 吴丹丹, 王安虎. 苦荞萌芽期镉耐受性及对幼苗生理特性的影响[J]. 作物杂志, 2025, (5): 209–220
[5] 王兖薇, 武俊喜, 汪艳, 牟涛, 朗卓玛, 苗彦军. 盐碱胁迫对异株荨麻种子萌发的影响[J]. 作物杂志, 2025, (5): 67–73
[6] 王生态, 赵宝勰, 杜世坤, 李雨阳, 俞华林, 李榕鑫. 中度盐碱地胡麻耐盐性鉴定及品种筛选[J]. 作物杂志, 2025, (4): 111–117
[7] 董扬, 闫锋, 赵富阳, 侯晓敏, 李清泉, 李青超, 刘悦, 兰英, 杨慧莹, 王冰雪, 徐妍. 不同除草剂喷施方案对谷子生长及土壤微生物的影响[J]. 作物杂志, 2025, (4): 238–244
[8] 杜冰, 杨馥熔, 王成, 郭浩杰, 张富厚, 孟超敏. 66份谷子品种籽粒钙含量、品质与农艺性状的分析[J]. 作物杂志, 2025, (4): 87–94
[9] 赫兵, 王晓航, 李超, 罗立强, 张强, 韩康顺, 陈殿元, 严光彬, 刘振蛟. 1987-2022年吉林省水稻审定品种数据分析[J]. 作物杂志, 2025, (3): 16–22
[10] 龙卫华, 李亚珍, 王亚坤, 王永峰, 黄镇, 尼玛次仁, 张幸果. 油饲兼用型油菜品系在拉萨地区的适应性分析[J]. 作物杂志, 2025, (3): 190–194
[11] 李小雨, 黄杰, 杨钊, 柴继宽, 杨发荣, 魏玉明, 刘文瑜, 拜伟俊. 基于AHP法的观赏藜麦综合评价体系的建立与应用[J]. 作物杂志, 2025, (3): 70–77
[12] 张圣昌, 魏玉明, 马丽娜, 杨钊, 刘文瑜, 黄杰, 刘欢, 杨发荣. 种植密度和施肥对饲用型藜麦生长特性的影响[J]. 作物杂志, 2025, (2): 128–134
[13] 赵富阳, 马波, 胡继芳, 谭可菲, 刘传增, 闫锋, 董扬, 侯晓敏, 李清泉, 韩业辉. 不同光周期条件下寒地粳稻光周期敏感性评价[J]. 作物杂志, 2025, (2): 135–140
[14] 姬景红, 刘双全, 马星竹, 郝小雨, 郑雨, 赵月, 王晓军, 匡恩俊. 控释尿素对寒地水稻农艺性状、产量及氮肥利用率的影响[J]. 作物杂志, 2025, (2): 149–154
[15] 卢晶, 余波, 江谧, 彭镰心, 任远航, 吴琪. 58份青稞种质资源遗传多样性评价[J]. 作物杂志, 2025, (2): 20–28
Viewed
Full text


Abstract

Cited

  Shared   
  Discussed   
No Suggested Reading articles found!