外源物质对高温胁迫下烤烟上部叶光合及抗氧化能力的影响
1
2
3
Effects of Exogenous Substances on Photosynthesis and Antioxidant Capacity of Upper Leaves of Flue-Cured Tobacco under High Temperature Stress
1
2
3
通讯作者:
收稿日期: 2023-12-6 修回日期: 2024-03-22 网络出版日期: 2024-05-27
| 基金资助: |
|
Received: 2023-12-6 Revised: 2024-03-22 Online: 2024-05-27
作者简介 About authors
曾嘉楠,主要从事烟草栽培与生理生化研究,E-mail:
关键词:
In order to explore the mechanism and technology of alleviating "high temperature forcing ripening" of the upper leaves of flue-cured tobacco by different exogenous substances, a field warming shed was built to treat the upper leaves of flue-cured tobacco at high temperature at mature stage. The leaves were treated with water (H2O), salicylic acid (SA), melatonin (MT) and 6-benzylaminopurine (6-BA) under natural climate growth (CK) and high temperature stress (HT), respectively. The effects of exogenous substances on photosynthesis and antioxidant properties of the upper leaves of flue-cured tobacco at mature stage were studied under high temperature stress. The responses of upper leaves to high temperature stress were compared under different exogenous substances. The results showed that the photosynthesis and antioxidant capacity of the upper leaves were inhibited by high temperature stress, thus affecting the accumulation of photosynthetic products in leaves. The correlation analysis showed that leaf forcing rate and leaf yield were significantly correlated with a number of photosynthetic indexes (net photosynthetic rate, stomatal conductance, transpiration rate), antioxidant capacity indexes (superoxide dismutase, peroxidase, catalase, lipoxygenase, total antioxidant capacity), and photosynthetic products (total sugar, reducing sugar). After the application of exogenous substances to high temperature stressed tobacco leaves, the forcing rate of tobacco leaves decreased significantly. It was concluded that leaf spraying SA, MT and 6-BA could effectively improve the operation efficiency of photosynthetic apparatus, antioxidant enzyme activity and osmotic regulatory substance content in the upper leaves of flue-cured tobacco under high temperature stress, maintain the stability of leaf cell membrane structure, and reduce the forced maturing rate to ensure the tobacco yield and quality. Among them, the exogenous substance treatment with the best alleviating effect was 0.05 g/L 6-BA. It was followed by 0.02 g/L MT and 0.50 g/L SA.
Keywords:
本文引用格式
曾嘉楠, 叶晓青, 蔡民爵, 周诚, 何澎, 陈壮壮, 陈雨峰, 曹良军, 陈建军, 王媛媛.
Zeng Jianan, Ye Xiaoqing, Cai Minjue, Zhou Cheng, He Peng, Chen Zhuangzhuang, Chen Yufeng, Cao Liangjun, Chen Jianjun, Wang Yuanyuan.
烟草(Nicotiana tabacum L.)作为一种喜温作物,对环境温度的变化非常敏感,这意味着环境温度的波动可能对其生长和产量产生显著影响。因此,适宜的生长温度是保证烤烟优质高产的关键因素之一。近年来,极端高温灾害频繁发生,我国部分烟区在烤烟成熟期常发生高温胁迫,严重制约当地烤烟的稳产及优产[1]。烤烟上部叶在成熟期若恰逢高温胁迫,则易发生“高温逼熟”现象,表现为单株有3片及以上非正常黄化或白化叶片,甚至整株烟叶全部发生非正常黄化或白化[2]。主要原因是遭受高温胁迫的叶片光合器官受到破坏,过氧化物质大量积累造成氧化损伤,光合电子传递受到抑制,光合碳同化速率下降,叶绿素含量降低,叶片发生生理紊乱,提前进入衰老[2-3]。
外源物质的应用可通过调节植株体内生理代谢平衡,有效缓解植物逆境伤害。研究[4]发现,小分子酚类物质水杨酸(salicylic acid,SA)参与植物部分系统反应,如叶片衰老和气孔关闭等。外源SA可有效调节植物生长发育,通过提高植株体内抗氧化酶活性及渗透物质含量降低高温胁迫对细胞膜的破坏程度,保护光合机构免受活性氧(reactive oxygen species,ROS)的伤害。Li等[5]研究发现,玉米叶片喷施SA可提升高温胁迫下叶片光合速率和叶绿素含量,恢复CO2固定速率,从而提高玉米抵御高温胁迫的能力。褪黑素(melatonin,MT)是一种自然产生的吲哚胺类激素,可调节植物生长、叶片光周期以及延迟叶片衰老,具有提高植物抵御逆境胁迫能力的作用[6]。MT可以在组织内移动,高效清除自由基,是植物抵御氧化胁迫的首要防线。研究[7-8]表明,外源MT可通过提高植物叶片光合色素含量调节相关代谢酶活性,增强植株碳水化合物代谢能力,抑制高温胁迫下ROS的产生,同时提高抗氧化酶活性及抗氧化物含量,从而降低膜质过氧化水平,保护脂膜的完整性,可有效缓解高温胁迫的伤害。6-苄氨基嘌呤(6-benzylaminopurine,6-BA)是一种在植物生理反应中具有多种功能的细胞分裂素,在缓解作物非生物胁迫上发挥着关键作用[9-
尽管外源应用植物生长调节剂已被证实可有效缓解非生物胁迫对植株的伤害,但针对高温胁迫下烤烟叶片的有效缓解途径及其机制尚不明确。基于此,本研究通过搭建大棚对湘南烟区成熟期烤烟进行田间增温,并分别对叶面喷施SA、MT和6-BA 3种外源物质,旨在研究不同外源物质对高温处理下烤烟上部叶色素构成、光合能力、抗氧化系统以及烤后烟叶品质方面的影响,比较对“高温逼熟”现象的缓解效应,为有效应对成熟期烤烟上部叶“高温逼熟”现象的抗逆栽培措施提供理论依据。
1 材料与方法
1.1 试验地概况及供试材料
试验于2023年3月-8月在湖南省新田县新圩镇祖亭下村(112º27′62″ E,25º80′51″ N)进行,该地属于亚热带季风气候,2023年3-8月平均气温24.38 ℃,降水量798.72 mm。试验地烤烟移栽前土壤理化性质为pH 7.25、有机质54.80 g/kg、全氮3.10 g/kg、全磷1.13 g/kg、全钾7.38 g/kg、碱解氮238.64 mg/kg、有效磷36.85 mg/kg和速效钾347.53 mg/kg。
供试烤烟品种为湘烟5号,由湖南省永州市烟草公司新田县分公司提供。SA、MT、6-BA购置于上海麦克林生化科技股份有限公司,均为分析纯。
1.2 试验设计
试验采用随机区组设计,每个处理3次重复,共18个小区,小区面积为40.0 m2(4.0 m×10.0 m),每小区约60株,株距0.50 m,行距1.20 m,种植密度16 500株/hm2,周边设置双保护行。纯氮用量为150.0 kg/hm2,N:P205:K=1:1:2.8,其他田间管理按照当地烤烟生产技术规范进行。
试验采用田间搭建塑料大棚(4.0 m×10.0 m× 2.5 m)并通过聚乙烯薄膜(厚度为0.08 mm,透光率≥95%)覆盖的方式进行高温处理(≥38 ℃),大棚底部四周各留出0.2 m高度空隙,用于气体交换,高温处理10 d后拆除薄膜,结束处理。烟苗于3月13日移栽,中部叶6月25日采收,上部叶成熟采收日期为7月10日。增温时间从中部叶采收结束后(6月26日)开始进行,连续增温10 d,每天增温时间段为09:00-17:00。用Elitech(Alog100)智能温湿度记录仪(江苏精创电器股份有限公司)每10 min记录1次烟叶冠层空气温湿度。高温(HT)处理白天气温达40 ℃以上,叶面温度均在35 ℃以上,高温胁迫期间平均增温6.89 ℃(图1)。
图1
图1
试验田温度变化(a)及叶面温度(b)
数据为3次重复的平均值±标准误。下同。
Fig.1
Field temperature changes (a) and leaf surface temperature (b)
The data are the average ± standard error of three repetitions. The same below.
1.3 测定项目与方法
1.3.1 单叶叶面积及叶片厚度
依据YC/T 142- 2010[15],于高温处理5、10 d时,在各小区分别选取有代表性的3株,测定烟株自上而下第3片叶的叶长(L)、叶宽(W)和叶片厚度,其中叶片厚度采用YHT平头测厚度仪(误差±0.005 mm)测定,重复3次,取平均值;叶面积(cm2)=L(cm)× W(cm)×0.6345(0.6345为烤烟计算叶面积的系数)。
1.3.2 色素
于高温处理的第5天和第10天,各小区选取3株长势一致的代表性烟株,每株选取自上而下第3叶位,利用打孔器取样后称取鲜叶样品0.20 g,采用分光光度法测定烟叶质体色素含量[16]。
1.3.3 烟叶颜色参数
于高温处理的第5天和第10天,各小区选取3株长势一致的代表性烟株,每株选取自上而下第3叶位作为测定叶片。采用NH310型色差计(广东三恩时智能科技有限公司)对叶片颜色参数进行测定。测定时每片叶选取6个测定点(叶尖、叶中和叶基各2个),测定点距离主脉约5 cm,尽量避开病斑和坏点,取平均值。L*为亮度值、a*为红色度、b*为黄色度、C*为饱和度、H*为色相角。
1.3.4 光合参数
于高温处理的第5天和第10天上午9:30-12:00,每小区选取3株长势一致的代表性烟株,每株选择受光良好的同一叶位(自上而下第3叶位),采用CIRAS-II型便携仪式光合仪(PP- Systems,英国)测定叶片蒸腾速率(transpirationrate,Tr)、净光合速率(net photosynthetic rate,Pn)、胞间CO2浓度(intercellular CO2 concentration,Ci)及气孔导度(stomatal conductance,Gs),光照强度为1000 µmol/(m2·s)。
1.3.5 叶片相对电导率(relative conductivity,REC)
于高温处理的第5天和第10天,各小区选取3株长势一致的代表性烟株,每株选取自上而下第3叶位叶片,蒸馏水冲洗3次,滤纸吸干表面水分,将叶片剪成1 cm长条(避开主脉),快速称取鲜样3份,每份0.10 g;分别置于10.00 mL去离子水的刻度试管中,盖上玻璃塞置于室温下浸泡3 h。采用雷磁DDS-11A型台式电导率仪(上海仪天科学仪器有限公司)测定浸提液电导率(R1),沸水浴加热10 min,冷却至室温后摇匀,再次测定浸提液电导率(R2)[17],REC(%)=R1/R2×100。
1.3.6 抗氧化特性
使用T-AOC、MDA、LOX试剂盒(苏州格锐思生物公司)分别测定总抗氧化能力(total antioxidant capacity,T-AOC)、丙二醛(malondialdehyde,MDA)和脂氧合酶(lipoxygenase,LOX)活性。
1.3.7 上部叶“高温逼熟”率
参考王子腾[2]的方法,在高温胁迫后第5天和第10天统计各小区总烟株数量及发生“高温逼熟”的烟株数量,计算“高温逼熟”发生率。
1.3.8 常规化学成分
1.3.9 经济性状
在高温处理的第10天,对烟叶烤后经济性状进行分级,每个小区分别记录各烟叶等级的重量、上等烟比例和中等烟比例,烟叶均价和产值参照2023年国家烤烟二价区烟叶收购价格计算。
1.4 数据处理
采用Microsoft Excel 2021进行数据计算,使用SPSS 22.0统计分析软件对数据进行差异显著性检验(Duncan’s法),使用Origin 2021、Graphpad prism 9.0软件进行绘图。
2 结果与分析
2.1 不同外源物质对高温胁迫下烤烟上部叶性状的影响
如图2所示,HT处理烤烟上部叶的叶面积和叶片厚度均明显低于CK处理;与高温胁迫第5天相比,高温胁迫第10天降幅更为明显,较CK明显降低了38.42%。
图2
图2
不同外源物质对高温胁迫下烤烟叶片性状的影响
Fig.2
Effects of different exogenous substances on the characteristics of flue-cured tobacco leaves under high temperature stress
对于烤烟上部叶,外源喷施SA、MT和6-BA均不同程度缓解了高温胁迫引起的叶面积和叶片厚度的降低。在5 d时,喷施SA、MT和6-BA处理上部叶叶面积分别较HT处理明显升高了11.25%、21.49%和23.20%,叶片厚度分别明显提高了6.80%、9.10%和11.36%;在10 d,喷施SA、MT和6-BA处理上部叶叶面积分别较HT明显升高了22.83%、38.28%和48.75%,叶片厚度分别明显提高了10.00%、15.00%和15.00%,可见10 d各处理叶面积和叶片厚度增幅均高于5 d。这说明喷施外源物质在高温后期的缓解效果更好,其中以6-BA增幅较大,SA和MT处理次之。综上,成熟期高温胁迫使烤烟上部叶叶片萎缩,叶片厚度减少,而外源物质的应用可有效减少高温对其的不利影响。
2.2 不同外源物质对高温胁迫下烤烟上部叶叶片质体色素含量的影响
如图3所示,与CK相比,高温胁迫下烤烟上部叶叶绿素a、叶绿素b和总叶绿素含量大部分显著下降,类胡萝卜素含量明显提高。与HT相比,5 d时SA、MT和6-BA施用均能显著提高上部叶的叶绿素a、叶绿素b和总叶绿素含量,并且显著降低了类胡萝卜素含量;其中以6-BA处理效果最为明显,叶绿素a、叶绿素b和总叶绿素分别较HT处理显著提高了285.00%、276.19%和290.00%,类胡萝卜素显著降低了58.33%;其次依序是MT、SA和H2O处理。同样的,在10 d的持续热害下,尽管各处理上部叶的叶绿素含量均出现不同程度下降,但喷施3种外源物质的叶绿素含量均显著高于HT处理,其中6-BA的效果仍表现较优,总叶绿素含量较HT处理显著提高了381.48%,类胡萝卜素显著降低了30.77%;其次是MT和SA处理。这说明高温胁迫下喷施3种外源物质可在一定程度上缓解高温胁迫造成的上部叶光合色素的降低,在一定程度上维持叶绿素a、叶绿素b及总叶绿素的合成,以此促进上部叶片对光能的吸收利用。
图3
图3
不同外源物质对高温胁迫下烤烟叶片质体色素的影响
不同小写字母表示同一采样时间不同处理间差异显著(P < 0.05)。下同。
Fig.3
Effects of different exogenous substances on the chloroplast pigments in flue-cured tobacco leaves under high temperature stress
Different lowercase letters indicate significant differences between different treatments at the same sampling time (P < 0.05). The same below.
2.3 不同外源物质对高温胁迫下烤烟叶片颜色特征值的影响
由表1可知,与CK处理相比,HT处理烤烟上部叶L*、a*、b*和C*均显著升高,H*显著下降,说明高温胁迫导致上部叶亮度值增加、颜色变浅。喷施外源调节剂后,烟叶颜色亮度值降低、颜色变深。在5 d时段,SA、MT和6-BA处理L*与HT处理相比分别显著降低了21.73%、22.17%和15.32%,a*均为负值,b*分别显著降低了18.46%、27.90%和20.90%,C*分别显著降低了30.68%、22.70%和31.59%,H*分别显著升高了8.68%、17.22%和18.03%;在10 d时段,SA、MT和6-BA处理的L*与HT处理相比分别显著降低了11.27%、19.11%和17.64%,a*均为负值,b*分别显著降低了20.81%、31.79%和30.80%,C*分别显著降低了2.04%、11.78%和9.45%,H*分别显著升高了15.81%、18.73%和24.63%。
表1 不同外源物质对高温胁迫下烤烟叶片颜色特征值的影响
Table 1
| 处理时长Processing duration | 处理Treatment | L* | a* | b* | C* | H* |
|---|---|---|---|---|---|---|
| 5 d | CK | 48.66±0.51d | -6.12±0.61b | 30.45±0.58c | 31.11±0.66d | 101.10±1.01a |
| HT | 65.52±0.23a | 5.18±1.41a | 54.70±1.28a | 51.67±2.99a | 83.97±1.35c | |
| H2O | 61.07±1.16b | -3.25±0.14b | 45.90±0.28b | 46.24±0.17ab | 87.97±4.66bc | |
| SA | 51.28±2.18cd | -3.90±0.48b | 44.60±3.70b | 35.82±3.70cd | 91.26±4.43b | |
| MT | 53.63±2.06c | -5.62±1.74b | 39.44±3.44b | 39.94±3.29bc | 98.43±2.89a | |
| 6-BA | 55.48±1.60c | -6.03±1.21b | 43.27±3.25b | 35.35±3.28cd | 99.11±1.40a | |
| 10 d | CK | 48.70±3.39c | -3.95±1.61b | 24.00±1.70d | 30.94±5.42b | 96.80±1.55ab |
| HT | 66.03±1.45a | 5.07±0.64a | 57.28±0.59a | 44.57±2.42a | 80.88±3.01c | |
| H2O | 57.66±0.38b | -2.33±1.25b | 44.90±0.08b | 45.14±0.10a | 95.51±1.59ab | |
| SA | 58.59±1.38b | -2.87±0.94b | 45.36±1.09b | 45.48±1.02a | 93.67±1.29b | |
| MT | 53.41±0.55bc | -4.16±0.93b | 39.07±0.92c | 39.32±1.00a | 96.03±1.25ab | |
| 6-BA | 54.38±0.94b | -4.57±0.57b | 39.64±1.41c | 40.36±1.46a | 100.80±0.60a |
不同小写字母表示处理间差异显著(P < 0.05)。下同。
Different lowercase letters indicate significant difference (P < 0.05). The same below.
进一步将L*、a*和b*数据转换后绘制CIE1931色彩空间色度图(图4),结果显示,CK与HT处理的烟叶颜色特征在色度图上差异显著,坐标间距较大,与CK处理相比,HT处理颜色偏橘黄色。喷施不同外源物质的烟叶色度坐标均落于CK和HT处理之间,说明喷施外源物质后可不同程度地缓解高温对叶片衰老的负面影响,提高烟叶耐热性。其中,喷施6-BA和MT的烟叶色度坐标更接近于CK处理,说明二者具有较好的抗高温调控效果。
图4
图4
不同外源物质对高温胁迫下烤烟上部叶色度坐标图
Fig.4
Chromaticity coordinates of upper leaves of flue-cured tobacco under high temperature stress with different exogenous substances
2.4 不同外源物质对高温胁迫下烤烟叶片光合作用的影响
如图5所示,与CK相比,HT处理叶片Pn、Gs和Tr均显著降低,Ci显著提高,且10 d时变化幅度大于5 d时。
图5
图5
不同外源物质对高温胁迫下烤烟叶片光合作用的影响
Fig.5
Effects of different exogenous substances on photosynthesis of flue-cured tobacco leaves under high temperature stress
高温胁迫下喷施外源物质可不同程度提高上部叶片的Pn,其中以MT和6-BA效果显著,在HT5d时段分别较HT处理显著增加了138.55%和149.90%,增幅大于喷施SA和H2O处理;在10 d时段,喷施MT和6-BA的叶片Pn分别较HT处理显著提高50.66%和111.01%,增幅小于5 d。Gs和Tr变化趋势与Pn一致。
此外,叶片喷施外源物质后较HT处理Ci显著降低,在5 d时段,喷施SA、MT和6-BA处理较HT处理分别降低了24.53%、16.08%和21.50%,且与CK处理相比无显著性差异;在10 d时段,SA、MT和6-BA处理分别较HT处理显著降低了25.19%、29.46%和24.10%,且均显著低于H2O处理。说明在高温胁迫下,施用SA、MT和6-BA能够在一定程度上保持气孔开度以维持较高的气体交换能力,从而提高叶片的Pn[13]。
进一步采用主成分分析(PCA)对烟叶光合作用相关指标进行降维分析(图6),以表征不同处理之间起主要区分作用的组分,处理间分布区域距离越远,则光合能力差异越大。结果显示,5 d和10 d时段第一主成分(PC1)的贡献率分别为66.1%和73.9%,第二主成分(PC2)的贡献率分别为24.9%和21.1%,可见处理之间的光合能力差异主要表现在PC1上。
图6
图6
高温胁迫下烤烟叶片光合作用相关指标的主成分分析
Fig.6
Principal component analysis of photosynthesis related indicators of flue-cured tobacco leaves under high temperature stress
在5 d时段,CK与HT处理的样品在PC1上差异明显,得到了有效区分。SA、MT和6-BA处理烟样的分布区域与CK处理相近且有部分重叠,说明高温胁迫下喷施外源物质对烟叶光合能力有显著缓解效果。在HT10d时段,CK和HT处理之间距离较远,差异主要体现在PC1得分上,喷施外源物质后样品分布区域均落在CK与HT处理之间,且在PC1得分上有明显差异,具体表现为6-BA处理在PC1得分最高,与CK处理有部分重叠,说明6-BA处理在维持高温胁迫烟叶光合能力上较其他外源物质效果更显著。
2.5 不同外源物质对高温胁迫下烤烟上部叶片细胞膜结构稳定性的影响
成熟期烤烟上部叶相对电导率和MDA随高温胁迫时间的增加逐渐升高,即10 d时段升高幅度大于5 d,说明高温胁迫加重了上部叶片膜脂过氧化程度,严重破坏了生物膜结构,引起电解质外渗(图7)。
图7
图7
不同外源物质对高温胁迫下烤烟叶片细胞膜结构稳定性的影响
Fig.7
Effects of different exogenous substances on the stability of cell membrane structure in flue-cured tobacco leaves under high temperature stress
在5 d时段,外源物质处理相对电导率显著低于HT处理,其中MT和6-BA处理相对电导率最低,分别比HT处理降低了38.17%和43.47%,SA次之(降低了34.17%),H2O也在一定程度降低了相对电导率。在10 d时段,各处理电导率均不同程度上升,SA、MT和6-BA较HT处理分别显著降低了21.05%、30.25%和38.49%。结果说明叶面喷施外源物质可有效减轻高温胁迫对烤烟上部叶片细胞膜结构的损伤。
上部叶片MDA含量随热胁迫时间的延长呈增加趋势,如图7b所示,5 d时段HT处理MDA含量显著高于CK,且喷施外源物质后均出现不同程度下降,其中喷施6-BA较HT处理显著降低了18.08%,其次是MT和SA。在10 d时段,各处理叶片MDA含量虽较5 d有不同程度升高,但外源物质处理的叶片MDA含量均显著低于HT,其中SA处理较HT下降了21.43%,降幅大于MT和SA处理。说明外源物质的应用可减轻高温胁迫下烤烟上部叶细胞膜脂过氧化的程度。
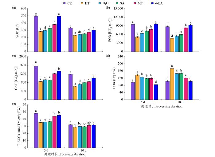
2.6 不同外源物质对高温胁迫下烤烟叶片抗氧化酶活性的影响
如图8所示,高温胁迫显著降低了上部叶SOD、POD和CAT活性,显著增加了LOX活性;与5 d相比,10 d保护酶活性相对较低。
图8
图8
不同外源物质对高温胁迫下烤烟叶片抗氧化系统的影响
Fig.8
Effects of different exogenous substances on the antioxidant system of flue-cured tobacco leaves under high temperature stress
在5 d和10 d时段,喷施SA、MT和6-BA均可提高上部叶抗氧化酶活性。在5 d时段,喷施MT和6-BA较HT处理叶片SOD活性分别提高了33.79%和74.28%,POD活性分别提高了50.80%和85.85%,CAT活性分别提高了42.91%和57.22%,且增幅均显著高于SA和H2O处理;此外,喷施MT和6-BA叶片LOX活性较HT分别降低了14.79%和39.50%,且显著低于SA和H2O处理。
在10 d时段,外源物质应用规律与5 d时段一致,SA、MT和6-BA均显著提高了SOD、POD和CAT活性,其中SOD活性分别提高了9.31%、19.67%和31.72%,POD活性分别提高了27.86%、79.36%和89.38%,CAT活性分别提高了26.92%、34.14%和60.86%。
T-AOC指各种抗氧化物质和抗氧化酶构成的总抗氧化水平,可用于评价叶片活性物质的总抗氧化能力。高温胁迫下叶片的T-AOC值显著低于CK处理(图8e),在5 d时段,喷施MT和6-BA后高温胁迫叶片的T-AOC值较HT处理显著提高,分别提高了24.68%和28.43%;在10 d时段,喷施MT和6-BA叶片的T-AOC值与CK处理相比无显著性差异,较HT分别提高了8.65%和11.21%,其次是SA和H2O。
2.7 不同外源物质对高温胁迫下烤烟叶片逼熟率的影响
由图9可知,高温胁迫第5、10天,各处理烤烟上部叶高温逼熟率和烟叶落黄程度表现为CK<6-BA<MT<SA<H2O<HT,各外源物质处理上部叶逼熟率随高温胁迫时间增加呈加重趋势,但均显著低于HT处理。其中5 d时段,HT处理逼熟率较CK显著升高了380.00%,喷施SA、MT和6-BA后分别降低了49.94%、49.96%和68.74%;在10 d时段,HT处理较CK逼熟率显著高出235.26%,SA、MT和6-BA处理后上部叶逼熟率较HT处理分别降低了42.10%、31.58%和57.89%。
图9
图9
不同外源物质对高温胁迫下逼熟率及烤烟叶片的表观影响
Fig.9
The apparent effects of different exogenous substances on forced ripening rate and flue-cured tobacco leaves under high temperature stress
从叶片表观特征可知,在持续热害的作用下,烤烟上部叶片颜色变浅、发黄甚至发白,叶面皱缩,严重时叶片局部出现灼伤、枯焦现象。在5 d和10 d时段,喷施3种调节剂处理与HT相比,均对上部叶片有显著缓解作用,其中6-BA表现最佳,其次是MT和SA。由此可见,高温胁迫下喷施6-BA、MT和SA均可显著降低烤烟上部叶高温逼熟率和非正常落黄、白化率,在一定程度上减轻了高温胁迫对烤烟上部叶非正常成熟的负面效应。
2.8 不同外源物质对高温胁迫下烤后烟叶常规化学成分的影响
由表2可知,高温胁迫下上部叶HT处理总糖和还原糖含量较CK显著降低,淀粉、总氮和烟碱含量显著增加,两糖差增加,糖碱比降低,烟叶化学协调性变差。在10 d时段,与HT相比,喷施SA、MT和6-BA处理后B2F烟叶总糖含量分别提升了19.10%、19.18%和34.92%,烟碱含量分别降低了4.87%、3.90%和7.47%,两糖差分别降低了19.45%、12.29%和7.85%,糖碱比分别提高了25.32%、24.29%和46.25%。
表2 不同外源物质对高温胁迫下烤烟B2F叶片化学成分的影响
Table 2
| 处理 Treatment | 总糖 Total sugar (%) | 还原糖 Reducing sugar (%) | 淀粉 Starch (%) | 总氮 Total nitrogen (%) | 烟碱 Nicotine (%) | 氯 Chlorine (%) | 两糖差 Difference (reducing-total sugar) | 糖碱比 Sugar-nicotine ratio |
|---|---|---|---|---|---|---|---|---|
| CK | 19.22±0.54a | 17.42±0.05a | 1.29±0.04de | 2.09±0.02f | 2.93±0.03d | 0.46±0.01fg | 1.80±0.71de | 6.56±0.29a |
| HT | 11.94±0.02e | 9.34±0.06f | 1.79±0.04b | 2.32±0.02c | 3.08±0.01ab | 0.56±0.01cde | 2.93±0.04abc | 3.87±0.01g |
| H2O | 12.27±0.08e | 9.65±0.03f | 1.41±0.06cd | 2.29±0.02c | 3.03±0.01bc | 0.62±0.01a | 2.29±0.06cde | 4.06±0.01fg |
| SA | 14.22±0.05c | 11.86±0.03d | 0.86±0.02g | 2.22±0.03d | 2.93±0.03d | 0.59±0.01b | 2.36±0.07cde | 4.85±0.06d |
| MT | 14.23±0.09c | 11.66±0.10d | 1.22±0.03ef | 2.11±0.01ef | 2.96±0.03d | 0.58±0.02bc | 2.57±0.14cd | 4.81±0.06d |
| 6-BA | 16.11±0.26b | 13.42±0.05b | 1.11±0.03f | 2.07±0.01f | 2.85±0.02e | 0.55±0.01de | 2.70±0.23bc | 5.66±0.07b |
可见烤烟成熟期遭遇极端高温胁迫后,通过喷施外源调节剂SA、MT和6-BA均可显著提高内含物质协调性,使各化学成分多数在较合理范围内,降低了高温胁迫对烤后烟叶品质造成的负面影响。
2.9 不同外源物质对高温胁迫下烤烟上部叶经济性状的影响
如表3所示,HT处理各经济性状均显著低于CK。在10 d时段,与HT处理相比,喷施3种外源物质(6-BA、MT、SA)均有效提升了烤烟的产量、产值、均价、上等烟比例和中上等烟比例,其中6-BA缓解效果尤其显著,其次是MT和SA。具体表现为6-BA处理的产量较HT处理提升了27.58%,产值提升了59.63%,均价提升了25.18%,上等烟比例提升了59.33%;同时,MT和SA较HT处理的产量分别提升了15.93%和15.96%,产值分别提升了39.77%和40.31%,均价分别提升了20.69%和21.09%,上等烟比例分别提升了51.26%和44.70%。
表3 不同外源物质对高温胁迫下烤烟上部叶经济性状的影响
Table 3
| 处理 Treatment | 产量 Yield (kg/hm2) | 产值(元/hm2) Output value (yuan/hm2) | 均价(元/kg) Average price (yuan/kg) | 上等烟比例 Premium ratio (%) | 中上等烟比例 Percentage of medium and superior tobacco (%) |
|---|---|---|---|---|---|
| CK | 923.55±27.45a | 30 774.15±417.30a | 12.71±0.21ab | 31.22±1.60abc | 35.91±0.04b |
| HT | 643.95±12.00e | 17 068.80±558.30f | 10.10±0.14f | 19.80±0.38d | 30.73±0.48e |
| H2O | 738.15±13.50d | 23 528.55±170.40cd | 12.16±0.14d | 28.74±0.55bc | 35.00±0.40bc |
| SA | 746.70±7.50d | 23 949.45±171.00cd | 12.23±0.13cd | 28.65±0.46c | 35.18±0.37bc |
| MT | 746.55±36.30d | 23 856.75±1033.80cd | 12.19±0.15d | 29.95±1.01abc | 34.38±0.42c |
| 6-BA | 821.55±22.80bc | 27 247.05±726.30b | 12.64±0.04abc | 31.55±0.97a | 35.84±0.27b |
综上所述,成熟期上部叶遭受高温胁迫时出现大幅减产现象,喷施6-BA、MT、SA后烤烟产量有所提高,并提升了上等烟和中上等烟比例,进而提高了均价和产值,显著降低了高温胁迫对烤烟经济性状的负面影响,一定程度上提升了经济效益。
2.10 产量、逼熟率、光合参数以及抗氧化特性指标的相关性分析
由图10可知,烟叶逼熟率与Pn、SOD、POD、CAT、T-AOC、总糖、还原糖、糖碱比和产量呈极显著负相关,与Gs呈显著负相关;产量与SOD、POD、CAT、T-AOC、总糖、还原糖、糖碱比呈极显著正相关,与Pn、Gs和Tr呈显著正相关。因此,高温胁迫及外源物质的应用主要通过调控上部叶光合能力与抗氧化能力影响烟叶逼熟率,进而影响烟叶产量和质量。
图10
图10
产量、逼熟率、光合参数及抗氧化特性因子相关性分析
TS:总糖,RS:还原糖,St:淀粉,TN:总氮,Ni:烟碱,DS:两糖差,SNR:糖碱比,FRR:逼熟率,Y:产量。“*”表示相关性显著(P < 0.05),“**”表示相关性极显著(P < 0.01)。
Fig.10
Correlation analysis of yield, forced ripening rate, photosynthetic parameters and antioxidant characteristic factors
TS: total sugar, RS: reducing sugar, St: starch, TN: total nitrogen, Ni: nicotine, DS: difference (reducing-total sugar), SAR: sugar-nicotine ratio, FRR: forced ripening rate, Y: yield.“*”indicates significant correlation (P < 0.05),“**”indicates extremely significant correlation (P < 0.01).
3 讨论
烤烟成熟期遭受高温胁迫后会出现落黄速度加快,叶片颜色发黄白化,甚至灼伤、枯焦的现象,即“高温逼熟”烟叶特征。本研究表明,烤烟成熟期上部叶遭受高温胁迫,造成叶绿素a、叶绿素b和总叶绿素含量显著下降,田间逼熟率显著上升,这与王子腾[2]、赵东杰等[3]的研究结果相吻合。喷施外源SA、MT和6-BA能有效减缓高温胁迫下叶绿素的降解,这可能由于外源物质应用抑制了叶绿素水解酶的活性,降低了高温对叶绿体类囊体膜的损伤,从而维持叶片色素的合成与降解平衡,进而提高烟叶耐热性[23
高温胁迫降低叶片的Pn,严重制约植物光合作用[29-30]。本研究表明,高温胁迫后上部叶片的Pn、Gs和Tr显著降低,Ci显著上升,说明叶片Pn的下降主要是由非气孔因素导致的[31-32]。外源物质应用后Pn、Gs和Tr显著升高,Ci降低,这可能是因为外源物质应用提高了上部叶片叶绿体中参与光合作用的相关酶活性,增加了CO2固定和转化效率,使得胞间CO2浓度降低,从而维持叶片正常的Pn、Gs和Tr[33]。此外,碳水化合物作为光合作用的最终产物,其代谢能力代表了光合作用对外界环境变化的响应[8,34-35]。随着高温胁迫下Pn的降低,烤后烟叶中总糖和还原糖含量均显著降低,在喷施SA、MT和6-BA后烟叶碳水化合物含量显著回升,这可能是因为外源物质应用稳定了高温胁迫下叶片中的碳代谢平衡,通过提高碳水化合物相关代谢酶活性,维持碳水化合物在植物体内的正常合成与转化;相关性分析结果进一步表明,光合产物与烟叶逼熟率呈极显著负相关,与产量呈极显著正相关,说明外源物质的应用显著提高了叶片光合能力及光合产物含量,进而降低了烤烟受“高温逼熟”的负面影响,维持烤烟经济效益。
在高温胁迫下,植物体内活性氧自由基的动态平衡被打破,产生速率远大于清除速率,ROS大量积累,REC和MDA显著上升,SOD、POD和CAT等抗氧化酶活性受限,使电解质外渗,膜系统受损,影响植株正常生理生化机能[36]。相关性分析表明,高温胁迫下烟叶的抗氧化水平对烤烟的逼熟率和产量均有极显著影响。外源物质SA、MT和6-BA处理在一定程度上有效缓解了高温对成熟期烤烟上部叶抗氧化酶活性的限制,增强了清除活性氧自由基水平,维持细胞内ROS代谢平衡,缓解了膜脂过氧化损伤,保证了质膜结构和生物大分子的稳定,进而改善烤烟上部叶的耐热能力,并且与前人在莴苣[37]、红掌[38]、小麦[6]上的研究结果一致。
烟叶常规化学成分是影响烟叶内在质量的基础,可在一定程度上反映烟叶内在化学成分的协调性,进而直接影响烟叶感官质量[39-40]。张波等[41]和赵献章等[42]研究表明烤烟成熟期是一个至关重要的阶段,它对于烟叶品质优劣具有决定性的影响。本研究表明,高温胁迫下,总糖和还原糖含量显著降低,总氮和烟碱含量显著升高,致使两糖差和糖碱比失衡,引起烟叶品质下降。其中,高温使得烟碱含量升高的相关性分析与李天福等[43]的研究基本一致,烟叶总植物碱的含量与气温之间存在显著的关联,成熟后期的气温是影响总植物碱含量的主要因子。而高温胁迫下烟碱含量的升高可能是由于烟碱合成关键酶表达量受到影响,从而刺激了烟碱的合成以及烟碱向叶片的转运速率[44]。此现象在喷施外源物质后有所改善,表现为总氮和烟碱含量显著降低,总糖和还原糖含量显著上升。这可能是适宜浓度外源物质(SA、MT和6-BA)能较好抑制上部叶在高温胁迫下叶绿素的降解,强化光合作用,维持碳代谢酶活性,进而维持烟叶碳代谢,确保碳水化合物的正常供应,降低高温对烤烟上部叶光合机构造成的损伤。此外,糖的增加不仅能提高香气质和香气量等烟叶品质,还能增加烟叶的弹性和韧性,降低烟叶在高温胁迫中的破损率[45]。可见烤烟成熟期遭遇极端高温胁迫后,通过喷施3种外源调节剂(SA、MT和6-BA)均可显著提高内含物质协调性,使各化学成分多数在较合理范围内,降低了高温胁迫对烤后烟叶品质造成的负面影响。
综上,成熟期高温胁迫会显著增加上部叶片逼熟率,而喷施外源物质后可通过增强叶片光合能力,调节叶片碳氮代谢水平,进而维持叶片色素和抗氧化系统稳定性,降低上部叶逼熟率并提升烟叶品质。外源SA、MT和6-BA影响烤烟光合作用及抗氧化系统的生理分子机制有待深入研究。
4 结论
对高温胁迫烟叶施用外源物质后显著降低烟叶逼熟率,其机制一方面是通过提高抗氧化系统中抗氧化酶活性和渗透调节物质含量,减少MDA含量,从而维持细胞膜结构稳定性,提高烟叶抗氧化能力,有效缓解高温胁迫带来的损伤,进而提高了成熟期上部烟叶的耐热性;另一方面是维持叶片色素的合成与降解平衡,可促进烟叶对光能的吸收利用,从而有助于叶片成熟期的碳水化合物积累,有效改善烟叶化学品质。此外,综合比较不同外源物质的施用对高温胁迫烟叶光合能力、抗氧化能力和产质量方面的缓解效果,其中烟叶品质较优和耐热性较强的外源物质处理为0.05 g/L 6-BA,其次是0.02 g/L MT和0.50 g/L SA。
参考文献
Exogenous SA or 6-BA maintains photosynthetic activity in maize leaves under high temperature stress
灌浆期高温胁迫下外源水杨酸对小麦旗叶抗氧化生理特性的影响
DOI:10.11869/j.issn.100-8551.2022.09.1878
[本文引用: 2]
为探讨外源水杨酸(SA)对缓解小麦花后高温伤害的作用,本研究于2019—2020年进行盆栽试验,以扬麦18号为材料,在田间增温棚中进行花后15~19 d的高温胁迫处理,比较不同时期预喷施外源SA处理下小麦的抗氧化生理特性。结果表明,高温胁迫处理导致丙二醛(MDA)和过氧化氢(H<sub>2</sub>O<sub>2</sub>)含量增加,旗叶超氧阴离子( O 2. -)产生速率加快,小麦细胞膜脂过氧化程度加剧,对小麦旗叶造成损害;喷施外源SA后,灌浆期小麦旗叶超氧化物歧化酶(SOD)、过氧化氢酶(CAT)和过氧化物酶(POD)等抗氧化酶活性有所提高,抗逆指标苯丙氨酸解氨酶(PAL)和多酚氧化酶(PPO)活性提高,表明外源SA增强了小麦对高温环境的抵抗能力;不同时期喷施外源SA后,开花期预喷施SA处理相对其他处理缓解高温胁迫伤害效果最好。综上,喷施外源SA可通过提高小麦旗叶抗氧化酶和抗逆酶的活性缓解灌浆期高温胁迫对小麦旗叶的损伤程度,且开花期喷施效果较佳。本研究结果为减轻高温对小麦生产的危害提供了新的技术途径。
Spraying 6-BA could alleviate the harmful impacts of waterlogging on dry matter accumulation and grain yield of wheat
Photosynthesis product allocation and yield in sweet potato with spraying exogenous hormones under drought stress
Exogenous cytokinins increase grain yield of winter wheat cultivars by improving stay-green characteristics under heat stress
Effects of exogenous 6-BA on photosynthetic characteristics and endogenous hormone content in wheat leaves under two nitrogen application levels at seedling stage
外源6-BA调控孕穗期低温后小麦幼穗发育的转录组分析
DOI:10.3724/SP.J.1006.2023.21050
[本文引用: 2]
小麦孕穗期对低温非常敏感, 低温胁迫后外源喷施6-苄氨基腺嘌呤(6-BA), 能够缓解低温胁迫对小麦造成的伤害, 通过转录组测序技术分析6-BA提高小麦抗寒性的分子机制。选用低温敏感型品种皖麦52和低温迟钝型品种烟农19为试验材料, 在孕穗期低温胁迫后喷施20 mg L<sup>-1</sup>的6-BA溶液, 以喷施等量蒸馏水处理为对照。观察幼穗形态, 并测定幼穗可溶性糖含量和淀粉含量。再通过转录组测序筛选并分析差异表达基因, 探究差异表达基因的功能及可能参与的调控通路, 采用qRT-PCR方法对测序结果进行验证。外源6-BA处理10 d后, 与对照相比小麦幼穗形态发育良好, 可溶性糖、淀粉含量均升高。转录组结果表明, 在皖麦52和烟农19中分别鉴定出22,770个和9866个差异基因, 其中有661个基因在两个品种中均上调, 从中筛选出ARF5、AGPL1、1-SST、SWEET15等基因, 这些基因与调节植物激素水平、淀粉合成、糖代谢等有关。对筛选出的差异基因进行GO和KEGG富集分析。GO注释表明皖麦52和烟农19差异基因的功能都主要富集于细胞结构稳定性、代谢、催化活性等。KEGG富集分析表示信号转导、内源激素水平的调节、碳代谢、膜结构和功能的改变等途径发生显著变化。选择部分候选基因对其表达模式进行qRT-PCR分析, 结果说明RNA-seq数据准确。综上所述, 6-BA可以通过调节小麦内部抗氧化物质代谢、激素信号转导、碳水化合物代谢、渗透调节等途径缓解低温损伤, 研究结果可为探索减轻春季低温对小麦伤害的栽培措施提供理论基础。
Exogenous salicylic acid ameliorates heat stress-induced damages and improves growth and photosynthetic efficiency in alfalfa (Medicago sativa L.)
Salicylic acid mediated heat stress tolerance in selected bread wheat genotypes of Pakistan
烘烤过程中烟叶颜色特征参数与色素含量的关系
不同成熟度烟叶烘烤中颜色值和色素含量的变化
DOI:10.3864/j.issn.0578-1752.2011.10.006
[本文引用: 1]
【目的】了解不同成熟度烟叶密集烘烤中颜色值和色素含量的变化以及它们之间的关系,为密集烘烤工艺的优化和完善提供理论依据。【方法】采用全自动测色色差计,对比研究烘烤中未熟、尚熟、适熟和过熟烟叶颜色参数(L*、a*、b*)和色差参数(△L*、△a*、△b*)的变化特征,采用分光光度法测定不同成熟度烟叶叶绿素、类胡萝卜素含量等指标。【结果】不同成熟度烟叶的L*、a*值在烘烤过程中均呈现升高的趋势,b*值在48℃之前升高,48—54℃有所下降,之后稍有回升。L*的变化规律表现为过熟>适熟>尚熟>未熟,鲜烟叶a*值在不同成熟度之间差别不大,在变黄中期之前成熟度高的烟叶a*值上升较快,烤后烟叶b*值大小表现为尚熟>未熟>过熟>适熟。随着烘烤的进行,烟叶△L*总体趋势变小。在48℃烟叶△a*明显变大,△b*相对降低,尤其以未熟和过熟烟叶明显。相关分析表明,尚熟和适熟烟叶的类胡萝卜素含量与L*值均呈极显著负相关(r = - 0.979,-0.851,P < 0.01),类胡萝卜素含量与a*值呈显著负相关(r = - 0.832,- 0.853,P < 0.05)。烘烤过程中适熟烟叶的L*、a*和b*与各种色素含量的回归方程分别为 = 245.67 x1 + 114.75 x2 - 211.69 x3 - 125.21 x4 + 118.69, = 416.9 x1 + 369.19 x2 - 404.38 x3 -78.38 x4 + 43.55, = - 1051.55 x1 -1270.02 x2 + 1106.42 x3 + 17.48 x4 + 40.1。【结论】烘烤中不同成熟度烟叶正反面颜色变化趋势基本同步,烟叶颜色参数和色素含量的相关性明显,可以用颜色值作为辅助指标来判断烟叶成熟度。
Effects of Mg on chlorophyll degradation and leaf chroma during the airing of cigar tobacco leaves
高温胁迫对植物光合作用的影响研究进展
DOI:10.11983/CBB22079
[本文引用: 1]
随着人为活动产生的大气CO<sub>2</sub>浓度的增加, 全球气候持续变暖。过去5年是自有温度记录以来最热的5年。高温胁迫已经成为影响植物生长发育的主要逆境因子之一。光合作用是地球生命活动的基础, 对环境波动高度敏感。解析植物在高温环境下光合作用的响应特性, 可为探索植物抵御高温的生理生态机制、培育抗高温新品种以及采取合理措施适应未来极端气候提供科学依据。该文论述了高温胁迫对植物光合电子传递及碳固定过程的影响, 从光质和光强角度综合分析了光照对高温胁迫下光合作用的影响; 从植物自身及外源缓解物质等方面阐述了植物增强抗高温胁迫的途径和机制。同时, 对植物光合作用响应高温胁迫的研究方向及多组学联合分析在揭示植物抵御高温胁迫机制中的应用进行了展望。
High correlation between thermotolerance and photosystem II activity in tall fescue
DOI:10.1007/s11120-014-0035-3
PMID:25145554
[本文引用: 1]
Heat stress affects a broad spectrum of cellular components and metabolism. The objectives of this study were to investigate the behavior of Photosystem II (PSII) in tall fescue (Festuca arundinacea Schreb) with various thermotolerance capacities and to broaden our comprehension about the relationship between thermotolerance and PSII function. Heat-tolerant and heat-sensitive accessions were incubated at 24 °C (control) and 46 °C (heat stress) for 5 h. The fluorescence transient curves (OJIP curves), slow Chl fluorescence kinetic, and light response curve were employed to study the behavior of PSII subjected to heat stress. After heat stress, performance index for energy conservation from photons absorbed by PSII antenna until the reduction of PSI acceptors (PITotal), the value of electrons produced per photon (a), and the maximal rate of electron transport (ETRmax) of heat-tolerant accessions were lower than those of heat-sensitive accessions. Relatively lower reactive oxygen species (ROS) contents were detected in heat-tolerant accessions. Simultaneously, there was a significant decline in the quantum yield of photochemical energy conversion in PS II (Y(II)), probability that a PSII Chl molecule functions as reaction center (γRC), and the increase of quantum yield for non-regulated non-photochemical energy loss (Y(NO)) in heat-tolerant accessions. Moreover, a significant inverse correlation between heat tolerance indexes (HTI) and Y(II) was observed. Therefore, maintaining a lower photochemical activity in heat-tolerant accessions could be a crucial strategy to improve their thermotolerance. This finding could be attributed to the structural difference in the reaction center, and for heat-tolerant accessions, it could simultaneously limit energy input into linear electron transport, and dissipate more energy through non-regulated non-photochemical energy loss processes.
Response of dahlia photosynthesis and transpiration to high-temperature stress
“波叶金桂”对干旱和高温胁迫的生理生态响应
DOI:10.17521/cjpe.2018.0017
[本文引用: 1]
为了探讨植物对干旱、高温及协同胁迫的响应, 该研究以木犀(Osmanthus fragrans) ‘波叶金桂’为材料, 采用盆栽质量控水法模拟干旱胁迫(对照、轻度、中度和重度)和高温胁迫, 利用动态顶空气体循环吸附法和热脱附-气相色谱-质谱(TDS-GC-MS)联用技术对其挥发性有机化合物(VOCs)进行测定; 同时测定其非结构性碳(NSC)含量及次生代谢酶活性。结果表明: 干旱胁迫对‘波叶金桂’叶片NSC组分含量影响不显著; 可溶性糖和淀粉含量在高温胁迫下显著降低, 在协同胁迫后持续性下降, 重度协同胁迫下, 葡萄糖、果糖、蔗糖和淀粉分别比对照降低47.7%、46.4%、34.4%和38.2%。干旱胁迫和协同胁迫下3-羟基-3-甲基戊二酸单酰辅酶A还原酶(HMGR)、1-脱氧木酮糖-5-磷酸还原酶(DXR)活性表现出先上升后下降, 而脂氧合酶(LOX)活性表现出持续性上升趋势; 高温胁迫后, HMGR、DXR和LOX活性显著高于对照。干旱胁迫下萜烯类VOCs释放量表现出先上升后下降趋势, 中度干旱胁迫和高温胁迫下分别比对照高37.9%和32.3%; 协同胁迫下萜烯类释放量逐渐降低, 干旱、高温和协同胁迫诱导醛类释放量明显增加。上述结果表明: 干旱胁迫条件下, ‘波叶金桂’通过NSC进行自我渗透调节, 同时合成大量萜烯类化合物来提高抗旱性; ‘波叶金桂’调控萜烯类化合物合成以及绿叶挥发物(GLVs)的释放抵御高温胁迫; 协同胁迫下萜烯类化合物的合成途径受阻, ‘波叶金桂’提高GLVs合成与释放量抵御协同胁迫; 中度和重度协同胁迫导致‘波叶金桂’细胞膜严重受损, 自我调节能力降低。
/
| 〈 |
|
〉 |

