作物杂志,2025, 第5期: 247–259 doi: 10.16035/j.issn.1001-7283.2025.05.032

• 生理生化·植物营养·栽培耕作 • 上一篇    下一篇

外源物质对高温胁迫下烤烟上部叶光合及抗氧化能力的影响

曾嘉楠1(), 叶晓青2, 蔡民爵1, 周诚2, 何澎2, 陈壮壮2, 陈雨峰2, 曹良军3, 陈建军1, 王媛媛1()   

  1. 1 华南农业大学烟草研究室, 510642, 广东广州
    2 深圳烟草工业有限责任有限公司, 518109, 广东深圳
    3 湖南省永州市烟草公司新田县分公司, 425700, 湖南永州
  • 收稿日期:2023-12-06 修回日期:2024-03-22 出版日期:2025-10-15 发布日期:2025-10-21
  • 通讯作者: 王媛媛,主要从事烟草栽培生理及品质调控研究,E-mail:wangyuanyuan@scau.edu.cn
  • 作者简介:曾嘉楠,主要从事烟草栽培与生理生化研究,E-mail:812970025@qq.com
  • 基金资助:
    广东省基础与应用基础研究基金项目(2022A1515110353);深圳烟草工业有限责任公司科研项目(2023440300 340006);广东中烟工业有限责任公司科技项目(2023440000340013)

Effects of Exogenous Substances on Photosynthesis and Antioxidant Capacity of Upper Leaves of Flue-Cured Tobacco under High Temperature Stress

Zeng Jianan1(), Ye Xiaoqing2, Cai Minjue1, Zhou Cheng2, He Peng2, Chen Zhuangzhuang2, Chen Yufeng2, Cao Liangjun3, Chen Jianjun1, Wang Yuanyuan1()   

  1. 1 Tobacco Research Laboratory, South China Agricultural University, Guangzhou 510642, Guangdong, China
    2 Shenzhen Tobacco Industrial Co., Ltd., Shenzhen 518109, Guangdong, China
    3 Xintian County Branch of Yongzhou Tobacco Company in Hunan Province, Yongzhou 425700, Guangdong, China
  • Received:2023-12-06 Revised:2024-03-22 Online:2025-10-15 Published:2025-10-21

摘要: 为探讨不同外源物质对烤烟上部叶“高温逼熟”的缓解机理与技术,以湘烟5号为试验材料,搭建田间增温棚对成熟期烤烟上部叶进行高温处理,设置自然气候生长(CK)和高温胁迫(HT)及高温胁迫下叶面喷施清水(H2O)、水杨酸(SA)、褪黑素(MT)和6-苄氨基嘌呤(6-BA)6个处理,研究高温胁迫下外源物质施用对成熟期烤烟上部叶光合及抗氧化特性的影响,并比较不同外源物质处理下上部叶对高温胁迫的响应差异。结果表明,高温胁迫抑制了上部叶片的光合作用和抗氧化能力,进而影响了叶片光合产物的积累。相关性分析表明,烟叶逼熟率、烟叶产量与多项光合指标(PnGsTr)呈显著相关,与抗氧化能力指标(SOD、POD、CAT、LOX、T-AOC)和光合产物(总糖、还原糖)呈极显著相关。对高温胁迫下的烟叶施用外源物质后,烟叶逼熟率显著降低。综合认为,叶面喷施SA、MT和6-BA可有效提高高温胁迫下烤烟上部叶片光合机构运转效率、抗氧化酶活性和渗透调节物质含量,维持叶片细胞膜结构的稳定性,降低逼熟率,从而保障烟叶产量和质量,其中缓解效果较优的外源物质处理为0.05 g/L 6-BA,其次是0.02 g/L MT和0.50 g/L SA。

关键词: 烤烟, 外源物质, 高温胁迫, 上部叶, 光合作用, 抗氧化能力

Abstract:

In order to explore the mechanism and technology of alleviating "high temperature forcing ripening" of the upper leaves of flue-cured tobacco by different exogenous substances, a field warming shed was built to treat the upper leaves of flue-cured tobacco at high temperature at mature stage. The leaves were treated with water (H2O), salicylic acid (SA), melatonin (MT) and 6-benzylaminopurine (6-BA) under natural climate growth (CK) and high temperature stress (HT), respectively. The effects of exogenous substances on photosynthesis and antioxidant properties of the upper leaves of flue-cured tobacco at mature stage were studied under high temperature stress. The responses of upper leaves to high temperature stress were compared under different exogenous substances. The results showed that the photosynthesis and antioxidant capacity of the upper leaves were inhibited by high temperature stress, thus affecting the accumulation of photosynthetic products in leaves. The correlation analysis showed that leaf forcing rate and leaf yield were significantly correlated with a number of photosynthetic indexes (net photosynthetic rate, stomatal conductance, transpiration rate), antioxidant capacity indexes (superoxide dismutase, peroxidase, catalase, lipoxygenase, total antioxidant capacity), and photosynthetic products (total sugar, reducing sugar). After the application of exogenous substances to high temperature stressed tobacco leaves, the forcing rate of tobacco leaves decreased significantly. It was concluded that leaf spraying SA, MT and 6-BA could effectively improve the operation efficiency of photosynthetic apparatus, antioxidant enzyme activity and osmotic regulatory substance content in the upper leaves of flue-cured tobacco under high temperature stress, maintain the stability of leaf cell membrane structure, and reduce the forced maturing rate to ensure the tobacco yield and quality. Among them, the exogenous substance treatment with the best alleviating effect was 0.05 g/L 6-BA. It was followed by 0.02 g/L MT and 0.50 g/L SA.

Key words: Flue-cured tobacco, Exogenous substances, High temperature stress, Upper leaf, Photosynthesis, Antioxidant capacity

图1

试验田温度变化(a)及叶面温度(b) 数据为3次重复的平均值±标准误。下同。

图2

不同外源物质对高温胁迫下烤烟叶片性状的影响

图3

不同外源物质对高温胁迫下烤烟叶片质体色素的影响 不同小写字母表示同一采样时间不同处理间差异显著(P < 0.05)。下同。

表1

不同外源物质对高温胁迫下烤烟叶片颜色特征值的影响

处理时长Processing duration 处理Treatment L* a* b* C* H*
5 d CK 48.66±0.51d -6.12±0.61b 30.45±0.58c 31.11±0.66d 101.10±1.01a
HT 65.52±0.23a 5.18±1.41a 54.70±1.28a 51.67±2.99a 83.97±1.35c
H2O 61.07±1.16b -3.25±0.14b 45.90±0.28b 46.24±0.17ab 87.97±4.66bc
SA 51.28±2.18cd -3.90±0.48b 44.60±3.70b 35.82±3.70cd 91.26±4.43b
MT 53.63±2.06c -5.62±1.74b 39.44±3.44b 39.94±3.29bc 98.43±2.89a
6-BA 55.48±1.60c -6.03±1.21b 43.27±3.25b 35.35±3.28cd 99.11±1.40a
10 d CK 48.70±3.39c -3.95±1.61b 24.00±1.70d 30.94±5.42b 96.80±1.55ab
HT 66.03±1.45a 5.07±0.64a 57.28±0.59a 44.57±2.42a 80.88±3.01c
H2O 57.66±0.38b -2.33±1.25b 44.90±0.08b 45.14±0.10a 95.51±1.59ab
SA 58.59±1.38b -2.87±0.94b 45.36±1.09b 45.48±1.02a 93.67±1.29b
MT 53.41±0.55bc -4.16±0.93b 39.07±0.92c 39.32±1.00a 96.03±1.25ab
6-BA 54.38±0.94b -4.57±0.57b 39.64±1.41c 40.36±1.46a 100.80±0.60a

图4

不同外源物质对高温胁迫下烤烟上部叶色度坐标图

图5

不同外源物质对高温胁迫下烤烟叶片光合作用的影响

图6

高温胁迫下烤烟叶片光合作用相关指标的主成分分析

图7

不同外源物质对高温胁迫下烤烟叶片细胞膜结构稳定性的影响

图8

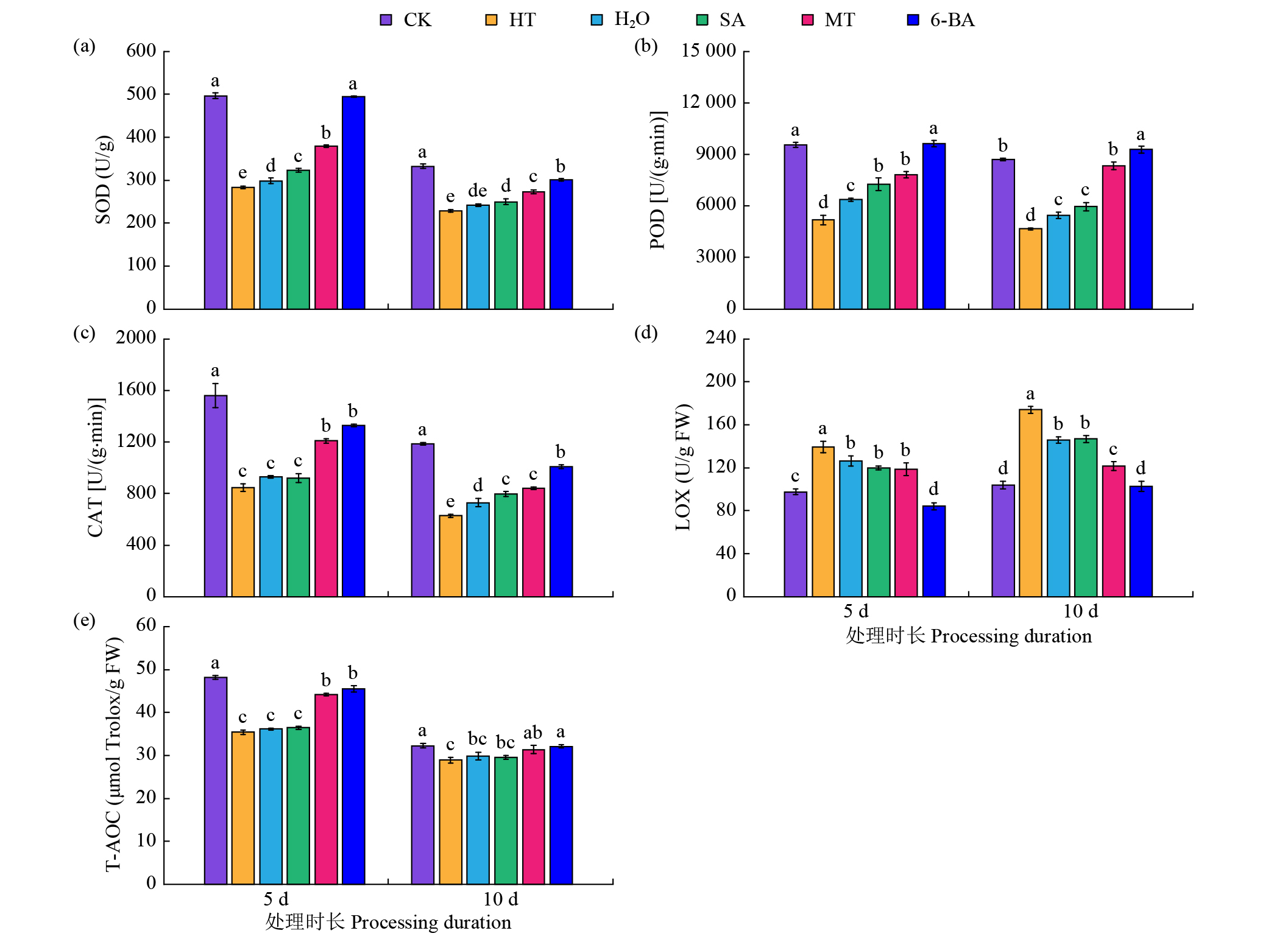
不同外源物质对高温胁迫下烤烟叶片抗氧化系统的影响

图9

不同外源物质对高温胁迫下逼熟率及烤烟叶片的表观影响

表2

不同外源物质对高温胁迫下烤烟B2F叶片化学成分的影响

处理
Treatment
总糖
Total
sugar (%)
还原糖
Reducing
sugar (%)
淀粉
Starch
(%)
总氮
Total
nitrogen (%)
烟碱
Nicotine
(%)

Chlorine
(%)
两糖差
Difference
(reducing-total sugar)
糖碱比
Sugar-nicotine
ratio
CK 19.22±0.54a 17.42±0.05a 1.29±0.04de 2.09±0.02f 2.93±0.03d 0.46±0.01fg 1.80±0.71de 6.56±0.29a
HT 11.94±0.02e 9.34±0.06f 1.79±0.04b 2.32±0.02c 3.08±0.01ab 0.56±0.01cde 2.93±0.04abc 3.87±0.01g
H2O 12.27±0.08e 9.65±0.03f 1.41±0.06cd 2.29±0.02c 3.03±0.01bc 0.62±0.01a 2.29±0.06cde 4.06±0.01fg
SA 14.22±0.05c 11.86±0.03d 0.86±0.02g 2.22±0.03d 2.93±0.03d 0.59±0.01b 2.36±0.07cde 4.85±0.06d
MT 14.23±0.09c 11.66±0.10d 1.22±0.03ef 2.11±0.01ef 2.96±0.03d 0.58±0.02bc 2.57±0.14cd 4.81±0.06d
6-BA 16.11±0.26b 13.42±0.05b 1.11±0.03f 2.07±0.01f 2.85±0.02e 0.55±0.01de 2.70±0.23bc 5.66±0.07b

表3

不同外源物质对高温胁迫下烤烟上部叶经济性状的影响

处理
Treatment
产量
Yield (kg/hm2)
产值(元/hm2
Output value
(yuan/hm2)
均价(元/kg)
Average price
(yuan/kg)
上等烟比例
Premium
ratio (%)
中上等烟比例
Percentage of medium
and superior tobacco (%)
CK 923.55±27.45a 30 774.15±417.30a 12.71±0.21ab 31.22±1.60abc 35.91±0.04b
HT 643.95±12.00e 17 068.80±558.30f 10.10±0.14f 19.80±0.38d 30.73±0.48e
H2O 738.15±13.50d 23 528.55±170.40cd 12.16±0.14d 28.74±0.55bc 35.00±0.40bc
SA 746.70±7.50d 23 949.45±171.00cd 12.23±0.13cd 28.65±0.46c 35.18±0.37bc
MT 746.55±36.30d 23 856.75±1033.80cd 12.19±0.15d 29.95±1.01abc 34.38±0.42c
6-BA 821.55±22.80bc 27 247.05±726.30b 12.64±0.04abc 31.55±0.97a 35.84±0.27b

图10

产量、逼熟率、光合参数及抗氧化特性因子相关性分析 TS:总糖,RS:还原糖,St:淀粉,TN:总氮,Ni:烟碱,DS:两糖差,SNR:糖碱比,FRR:逼熟率,Y:产量。“*”表示相关性显著(P < 0.05),“**”表示相关性极显著(P < 0.01)。

[1] 叶晓青, 曾嘉楠, 邹勇, 等. 温度胁迫对烤烟生理机制的影响及相关调控研究进展. 广东农业科学, 2023, 50(8):105-117.
[2] 王子腾. 湘南烤烟“高温逼熟”指标监测及光温对烤烟光合生理的影响. 郑州:郑州大学, 2017.
[3] 赵东杰, 赵喆, 毛亚博, 等. 抚州地区高温逼熟烟叶化学成分与致香成分的相关性. 山西农业科学, 2017, 45(9):1420-1425.
[4] 郭泳. 水杨酸对番茄幼苗抗高温胁迫能力的影响. 北方园艺, 2013(8):42-44.
[5] Han X T, Ren H, et al. Exogenous SA or 6-BA maintains photosynthetic activity in maize leaves under high temperature stress. The Crop Journal, 2023, 11(2):605-617.
[6] 樊永惠, 李宇星, 马亮亮, 等. 灌浆期高温胁迫下外源水杨酸对小麦旗叶抗氧化生理特性的影响. 核农学报, 2022, 36(9):1878-1886.
doi: 10.11869/j.issn.100-8551.2022.09.1878
[7] 曾庆栋, 许忠民, 张恩慧, 等. 外源褪黑素对高温胁迫下甘蓝幼苗生理特性的影响. 北方园艺, 2017(20):12-17.
[8] 吴雪霞, 张圣美, 张爱冬, 等. 外源褪黑素对高温胁迫下茄子幼苗光合和生理特性的影响. 植物生理学报, 2019, 55(1):49-60.
[9] Wang X Y, Liu D M, Wei M M, et al. Spraying 6-BA could alleviate the harmful impacts of waterlogging on dry matter accumulation and grain yield of wheat. PeerJ, 2020, 8(4):81-93.
[10] Li H, Wang J Q, Liu Q. Photosynthesis product allocation and yield in sweet potato with spraying exogenous hormones under drought stress. Journal of Plant Physiology, 2020, 253(12):153-165.
[11] Yang D Q, Li Y, Shi Y H, et al. Exogenous cytokinins increase grain yield of winter wheat cultivars by improving stay-green characteristics under heat stress. PLoS ONE, 2016, 11(5):e0155437.
[12] Yang D Q, Dong W H, Song W T, et al. Effects of exogenous 6-BA on photosynthetic characteristics and endogenous hormone content in wheat leaves under two nitrogen application levels at seedling stage. Scientia Agricultura Sinica, 2017, 11(5):25-37.
[13] 李凌雨, 周琦锐, 李洋, 等. 外源6-BA调控孕穗期低温后小麦幼穗发育的转录组分析. 作物学报, 2023, 49(7):1808-1817.
doi: 10.3724/SP.J.1006.2023.21050
[14] 魏吉鹏. 褪黑素对温度胁迫下茶树生理代谢的影响. 北京: 中国农业科学院, 2019.
[15] 国家烟草专卖局. 烟草农艺性状调查测量方法:YC/T 142-2010. 北京: 中国标准出版社, 2010.
[16] 邹琦. 植物生理学实验指导. 北京: 中国农业出版社, 2000.
[17] 李合生. 植物生理生化实验原理和技术. 北京: 高等教育出版社, 2000.
[18] 王学奎. 植物生理生化实验原理和技术. 北京: 高等教育出版社, 2006.
[19] 高俊凤. 植物生理学实验指导. 北京: 高等教育出版社, 2006.
[20] 谷萌萌, 王子腾, 倪新程, 等. 湘南烤烟高温逼熟现象发生的生态因素分析. 烟草科技, 2020, 53(5):26-32.
[21] 韩富根. 烟草品质分析. 北京: 中国农业出版社, 2014.
[22] 李永福, 段友构. 电位滴定法测定烟草中氯含量分析条件的探讨. 科技信息, 2009(15):26-27.
[23] Wassie M, Zhang W H, Zhang Q A, et al. Exogenous salicylic acid ameliorates heat stress-induced damages and improves growth and photosynthetic efficiency in alfalfa (Medicago sativa L.). Ecotoxicology and Environmental Safety, 2020, 191:110206.
[24] Kousar R, Qureshi R, Jalal-ad-din D. Salicylic acid mediated heat stress tolerance in selected bread wheat genotypes of Pakistan. Pakistan Journal of Botany, 2018, 50(6):2141-2146.
[25] 韩学涛. 喷施水杨酸和6-苄氨基腺嘌呤对夏玉米高温胁迫的缓解作用. 泰安:山东农业大学, 2021.
[26] 张丽英, 鲜兴明, 杨杰, 等. 烘烤过程中烟叶颜色特征参数与色素含量的关系. 烟草科技, 2013(8):85-90.
[27] 霍开玲, 宋朝鹏, 武圣江, 等. 不同成熟度烟叶烘烤中颜色值和色素含量的变化. 中国农业科学, 2011, 44(10):2013-2021.
doi: 10.3864/j.issn.0578-1752.2011.10.006
[28] Yang X Y, Yang C L, et al. Effects of Mg on chlorophyll degradation and leaf chroma during the airing of cigar tobacco leaves. Acta Societatis Botanicorum Poloniae, 2023, 92(9):269-295.
[29] 孙永江, 王琪, 邵琪雯, 等. 高温胁迫对植物光合作用的影响研究进展. 植物学报, 2023, 58(3):486-498.
doi: 10.11983/CBB22079
[30] Chen K, Sun X Y, Amomobo E, et al. High correlation between thermotolerance and photosystem II activity in tall fescue. Photosynthesis Research, 2014, 122(3):305-314.
doi: 10.1007/s11120-014-0035-3 pmid: 25145554
[31] 付二婷. 壳聚糖对高温强光胁迫下草莓幼苗光合作用和AsA-GSH循环的影响. 泰安:山东农业大学, 2023.
[32] Liu J J, Zhang C Y, Niu C S, et al. Response of dahlia photosynthesis and transpiration to high-temperature stress. Horticulturae, 2023, 9(9):404-408.
[33] 张艾改, 刘国顺, 云菲, 等. 外源葡萄糖对高温强光下旺长期烤烟光合特性及碳氮代谢关键酶活性的影响. 烟草科技, 2019, 52(8):9-15.
[34] 汪俊宇, 王小东, 马元丹, 等. “波叶金桂”对干旱和高温胁迫的生理生态响应. 植物生态学报, 2018, 42(6):681-691.
doi: 10.17521/cjpe.2018.0017
[35] 朱红芳, 李晓锋, 朱玉英. 温度对紫色不结球白菜外观和营养品质的影响. 西北植物学报, 2019, 39(2):268-276.
[36] 余梦奇, 路梦莉, 张雅婷, 等. 灌浆期高温对玉米叶片光合特性及抗氧化酶活性的影响. 中国农业气象, 2023, 44(7):599-610.
[37] 王博伟, 陈艳丽, 朱国鹏, 等. 叶面喷施褪黑素对海南高温季节水培叶用莴苣生长生理的影响. 中国蔬菜, 2022, 12(11):80-85.
[38] 王宏辉, 顾俊杰, 房伟民, 等. 不同品种红掌叶片细胞膜稳定性和渗透调节物质对高温胁迫的响应. 上海农业学报, 2020, 36(6):24-27.
[39] 刘继辉, 高辉, 马晓龙, 等. 高温烘焙对复烤后烤烟烟叶化学品质的效应. 云南农业大学学报(自然科学), 2016, 31(5):880-885.
[40] 皇甫晓琼. 不同基因型烤烟对光温环境的生理生化响应研究. 福州:福建农林大学, 2012.
[41] 张波, 王树声, 史万华, 等. 凉山烟区气象因子与烤烟烟叶化学成分含量的关系. 中国烟草科学, 2010, 31(3):13-17.
[42] 赵献章, 刘国顺, 杨永锋, 等. 不同叶位烤烟叶主要物理性状和化学品质的差异分析. 河南农业大学学报, 2006, 40(3):230-233.
[43] 李天福, 王彪, 杨焕文, 等. 气象因子与烟叶化学成分及香吃味间的典型相关分析. 中国烟草学报, 2006, 12(1):23-26.
[44] 金云峰. 不同生长温度对烟草烟碱及质体色素代谢的影响. 昆明:云南师范大学, 2016.
[45] 毛亚博. 烤烟“高温逼熟”调控技术研究. 郑州:河南农业大学, 2017.
[1] 彭彬峰, 陆楚盛, 尹媛红, 朱菲菲, 叶群欢, 潘俊峰, 刘彦卓, 胡香玉, 胡锐, 李妹娟, 王昕钰, 梁开明, 傅友强. 高温胁迫下铵硝混配营养促进水稻生长的生理机制[J]. 作物杂志, 2025, (5): 165–170
[2] 李琳霖, 张震, 何钢, 高仁吉, 梁增发, 谢晋, 黄浩, 曾繁东, 金保锋, 蔡一霞, 姜俊红, 王维. 带茎采烤对上部烟叶品质及代谢物的影响[J]. 作物杂志, 2025, (5): 184–194
[3] 刘弟, 宋来贵, 田临卿, 李志刚, 马俊美, 李作森, 年夫照, 焦健, 邓小鹏. 烟后套作玉米对作物生产和土壤养分的影响[J]. 作物杂志, 2025, (5): 239–246
[4] 刘宣宣, 郭瑞士, 董蒙蒙, 朱柯颖, 朱晓品, 王丽, 王宁. 两个棉花品种幼苗涝渍及恢复期耐涝机理初探[J]. 作物杂志, 2025, (4): 126–134
[5] 严定伟, 杨建新, 郭杰, 梁一凡, 罗菲, 付光明, 李军正, 常剑波, 张玉林, 姬小明. 不同保水剂对植烟土壤细菌群落结构及烤烟产量和质量的影响[J]. 作物杂志, 2025, (4): 197–205
[6] 徐洪高, 徐萍, 罗文秀, 陆尤, 涂振华, 张萱, 陈艺春, 郑国伟, 杨颖翠, 陈佳. 热驯化对高温胁迫下灯盏花生理生化特性的影响[J]. 作物杂志, 2025, (3): 102–107
[7] 金梓浩, 赵文清, 王芳, 王威, 彭云玲, 常芳国. 三种外源植物生长调节物质对玉米幼苗耐寒性的影响[J]. 作物杂志, 2025, (3): 125–132
[8] 杨天旭, 李谨成, 黄瑞寅, 邓文君, 王军, 王维, 蔡一霞. 施氮量与基追比对烤烟烟碱合成及关键酶活性的调控效应[J]. 作物杂志, 2025, (3): 156–164
[9] 韦梦洋, 罗贞宝, 贺帅, 马黔, 马关凯, 席飞虎, 罗东升, 景延秋, 喻奇伟, 王茂贤. 光合细菌与留叶数互作对烤烟生理代谢、化学品质及产量和质量的影响[J]. 作物杂志, 2025, (3): 210–217
[10] 张纪利, 何敬浩, 韦建玉, 黄崇峻, 王维, 蔡一霞. 微生物菌剂配施时期对根际土壤细菌多样性、酶活性及烤烟产量和品质的影响[J]. 作物杂志, 2025, (2): 162–171
[11] 李云霞, 杨佳蒴, 李洋洋, 向世鹏, 余金龙, 李斌, 郑维威, 刘璐. 不同移栽期对烟稻轮作烟区烤烟生长发育及产量和质量的影响[J]. 作物杂志, 2025, (2): 222–227
[12] 刘佩瑶, 冉莉萍, 杨佳庆, 王海博, 熊飞, 余徐润. 小麦穗形态建成和生理特征及外界影响因素的研究进展[J]. 作物杂志, 2025, (1): 1–9
[13] 马俊美, 窦敏, 刘弟, 杨秀华, 杨勇, 年夫照, 刘雅婷, 李永忠. 烤烟与玉米间作种植对根际土壤养分及作物生长的影响[J]. 作物杂志, 2025, (1): 227–234
[14] 高玉龙, 赵璐, 王丙武, 孔光辉, 王亚辉, 刘剑金, 段杰, 吴兴富, 李青, 者开明. 突变NtJAZ1基因获得高烟碱烤烟新材料[J]. 作物杂志, 2025, (1): 83–88
[15] 李峰, 高宏云, 张翀, 张宝英, 马建富, 郭娜, 白苇, 方爱国, 杨志敏, 李源. 盐胁迫对燕麦生长及生理指标的影响[J]. 作物杂志, 2024, (6): 140–146
Viewed
Full text


Abstract

Cited

  Shared   
  Discussed   
No Suggested Reading articles found!