移栽时间与方式对烤烟生长发育及产量、品质的影响
Effects of Transplanting Date and Mode on Growth, Development, Yield and Quality of Flue-Cured Tobacco
通讯作者:
收稿日期: 2020-06-3 修回日期: 2021-03-1 网络出版日期: 2021-04-15
| 基金资助: |
|
Received: 2020-06-3 Revised: 2021-03-1 Online: 2021-04-15
作者简介 About authors
王德权,研究方向为烟草生理,E-mail:
为明确山东中部烟区烤烟适宜移栽时间与移栽方式,采用田间对比试验,研究3个不同移栽时间(4月30日、5月10日和5月20日)及3种不同移栽方式(常规覆膜移栽、小苗膜下移栽和井窖式移栽)对烟株生长发育及烟叶产量和品质的影响。结果表明,随移栽期推迟,烤烟生育前期时间缩短,生育进程加快,烟株和叶片变大,烤后烟叶等级结构提升,化学协调性提高,经济产量和感官评吸质量先增加后微降;不同移栽方式在不同移栽期下对烤烟影响不同,早栽时,小苗膜下移栽和井窖式移栽可改善根系土壤温湿度环境,促进烟苗早生快发,提高烟叶评吸质量,但晚栽时,小苗膜下移栽由于地温过高对烟苗生长产生负面影响,进而影响烟叶产量和品质。移栽期主要通过生育期内温度条件的变化对烟株产生影响,为主要影响因素;移栽方式通过改变生长前期微环境对烟株生长起到微调作用。以5月10日的井窖式移栽处理综合表现最好,可作为鲁中烟区适宜的移栽时间和方式进行示范应用。
关键词:
To identify the suitable transplanting date and transplanting mode of flue-cured tobacco in central Shandong, a field experiment with three transplanting date treatments (04-30, 05-10, 05-20) and three transplanting mode treatments (conventional transplanting on the mulch, transplanting under the mulch, well cellar type transplanting) was carried out to study their effects on growth and development, leaves yield, and quality of tobacco. The results showed that delaying the transplanting date shortened the early growth duration, accelerated the growth process, promoted stem and leaves growth, improved the flue-cured tobacco leaf grade structure, improved the chemical coordination, and increased the economic yield and the sensory evaluation quality first and then decreased slightly. Different transplanting modes had different effects under different transplanting dates. Transplanting under the mulch and well cellar type transplanting could improve the temperature and humidity environment of root soil, then promoted the early growth of tobacco seedlings, and improved the sensory quality of tobacco in early transplanting date. However, when transplanted too late, transplanting under the mulch had a negative effect on the growth of tobacco seedlings due to the high soil temperature, which in turn affected the yield and quality of tobacco leaves. The transplanting date mainly regulated the changes of temperature conditions during the growth period to affect the tobacco plant, which was the key influence factor. Transplanting modes had a minor regulation effect on the growth of tobacco plants by changing the micro-environment in the early growth period. The well cellar type transplanting treatment on May 10th had the best comprehensive performance, which could be used as a suitable transplanting date and mode to demonstrate and apply in the central Shandong tobacco area.
Keywords:
本文引用格式
王德权, 孙延国, 杜玉海, 刘洋, 王艺, 马兴华, 张玉琴, 张日强.
Wang Dequan, Sun Yanguo, Du Yuhai, Liu Yang, Wang Yi, Ma Xinghua, Zhang Yuqin, Zhang Riqiang.
烤烟生长发育及产量和品质受遗传特性、生态条件和栽培技术的共同影响[1],移栽时间与移栽方式是烤烟种植过程中的重要栽培调控措施。移栽时间不同导致烟株在全生育期的温度、光照和降水等气候条件不同,移栽方式不同使烟株生长前期对应的温度和湿度微环境不同,这些均会导致烟株生长发育规律发生变化,进而影响烟叶产量和品质[2,3]。选择烤烟适宜移栽时间的实质是根据其生长发育的持续性和阶段性的要求,趋利避害,把田间生长和烟叶成熟均安排在适宜的气候条件下[4];适宜移栽方式的选择,是根据不同区域气候特点,针对烤烟生长前期遇到的限制性气象条件,采取合理的方式改变烟苗生长微环境,缩短还苗时间,保障烤烟大田生长时间,促进烤烟适时成熟,从而提高产量,改善品质[5]。
有关移栽时间对烤烟的影响前人[6,7,8,9]已开展诸多研究,不同区域因气候条件差异以及烟叶风格特征需求的不同,研究结论也各不相同。目前我国烤烟移栽方式主要有3种,即常规覆膜移栽、小苗膜下移栽和井窖式移栽,其中小苗膜下移栽和井窖式移栽分别由云南和贵州烟区首次提出并应用,在提高地温、抗旱保墒和促进烟苗早生快发等方面取得了较好的效果[10,11,12,13]。之前的研究主要集中在移栽时间或移栽方式单因素对烤烟的影响,而关于两者结合对烤烟发育及产量和品质的影响较少。本研究以山东中部烟区气候条件为基础,系统分析不同移栽时间与移栽方式组合对烤烟的影响,综合评价移栽技术效果,以期为提高烤烟移栽质量、合理配置气候资源和改善烟叶品质提供参考。
1 材料与方法
1.1 试验地点及品种
试验于2019年在山东省临朐县寺头镇山枣村进行,土壤类型为棕壤,土壤pH 7.4,有机质16.86g/kg,全氮1.28g/kg,碱解氮89.23mg/kg,全磷0.76g/kg,有效磷36.99mg/kg,全钾30.16g/kg,速效钾227.68mg/kg。供试品种为云烟87。
1.2 试验设计
试验采用两因素裂区设计。其中主因素为移栽时间(A),设3个处理,分别为4月30日(A1)、5月10日(A2)和5月20日(A3);副因素为移栽方式(B),设3个处理,分别为常规覆膜移栽(B1)、小苗膜下移栽(B2)和井窖式移栽(B3),每个处理3次重复。烟苗均在6叶1芯大小时移栽,其他各项栽培措施按照当地生产方案执行,各小区保持一致。
1.3 气象条件监测
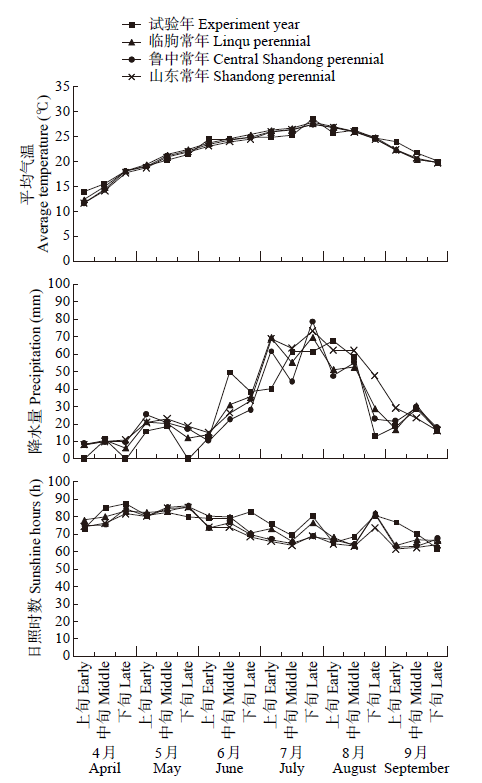
利用小型气象站,采集试验点烤烟生育期内温度、降水量和日照时数等数据,与历史常年气象条件对比,如图1所示。试验年气象因素变化规律与临朐、鲁中烟区和山东烟区常年数据基本一致,临朐在鲁中烟区具有代表性;烟草生育期内平均气温先升高后降低,在7月下旬达到最大值;烟草生育期内降水量也呈先升高后降低规律,4-5月降水较少,7月降水最多;烟草生育期内日照时数比较均衡,在7月中旬和8月上、中旬略有降低。
图1
图1
山东烟区烤烟生育期气象变化规律
Fig.1
Meteorological changing pattern during tobacco growth period in Shandong
1.4 测定项目及方法
利用土壤温湿度记录设备采集烟苗移栽至团棵期间土壤温度和含水量数据。
按照烟草行业标准YC/T 142-2010《烟草农艺性状调查测量方法》调查记录生育期,其中,移栽至团棵期为伸根期,团棵期至现蕾期为旺长期,现蕾期至最下部烟叶成熟为成熟前期,最下部烟叶成熟至最上部烟叶采收结束为成熟后期;移栽后10、30、50和70d按小区测量株高、茎围和叶面积指数等指标,于平顶期测量烟株农艺性状。
于移栽后7、14、21、28和35d按小区采集烟株根系样品,取新鲜根尖,采用TTC法[14]测定根系活力。
烟叶采收时按小区挂牌标记,烘烤后按照国家标准GB 2635-92《烤烟》对烟叶进行计产。
采集烤后中部烟叶,参照烟草行业标准YC/T 159-2002《烟草及烟草制品水溶性糖的测定连续流动法》测定还原糖和总糖含量;按照YC/T 160-2002《烟草及烟草制品总植物碱的测定连续流动法》测定总植物碱含量;按照YC/T 161-2002《烟草及烟草制品总氮的测定连续流动法》测定总氮含量;按照YC/T 217-2007《烟草及烟草制品钾的测定连续流动法》测定钾含量;按照YC/T 162-2002《烟草及烟草制品氯的测定连续流动法》测定氯含量;利用模糊数学方法计算烟叶化学成分可用性指数(chemical components usability index,CCUI)[15]。
参照烟草行业标准YC/T 138-1998《烟草及烟草制品感官评价方法》对烟叶样品进行感官质量评价。
1.5 数据处理
利用Excel 2007和SAS 9.0进行数据处理和分析;采用duncan新复极差法进行多重比较。
2 结果与分析
2.1 移栽时间与方式对烤烟生育期的影响
不同处理烤烟生育期如表1所示。4月30日移栽时,常规覆膜移栽伸根期时间长于小苗膜下移栽和井窖式移栽,其他阶段时间基本一致;5月10日移栽时,不同移栽方式各生育期基本一致;5月20日移栽时,小苗膜下移栽伸根期时间长于常规覆膜移栽和井窖式移栽,其他阶段时间基本一致。各移栽方式下,烤烟生育期时间随移栽期推迟呈现减少规律,差异主要体现在现蕾之前的伸根期和旺长期。
表1 不同处理烤烟生育期
Table 1
| 移栽日期 Transplanting date | 移栽方式 Transplanting mode | 伸根期 Root spreading period | 旺长期 Fast growing period | 成熟前期 Early maturity period | 成熟后期 Late maturity period | 全生育期 Full growth period |
|---|---|---|---|---|---|---|
| A1 | B1 | 39 | 31 | 21 | 43 | 134 |
| B2 | 36 | 30 | 21 | 44 | 131 | |
| B3 | 37 | 30 | 21 | 44 | 132 | |
| A2 | B1 | 35 | 29 | 20 | 43 | 127 |
| B2 | 34 | 29 | 21 | 43 | 127 | |
| B3 | 34 | 29 | 21 | 43 | 127 | |
| A3 | B1 | 30 | 27 | 21 | 43 | 121 |
| B2 | 32 | 27 | 20 | 42 | 121 | |
| B3 | 30 | 27 | 21 | 43 | 121 |
2.2 移栽时间与方式对烤烟根系活力的影响
不同处理烤烟伸根期根系活力如表2所示。所有处理根系活力随烟苗生长均表现出逐渐增大的趋势。在4月30日移栽期条件下,常规覆膜移栽根系活力低于其他2个处理,但差异不显著;5月10日移栽期条件下,3种移栽方式根系活力基本一致;5月20日移栽期条件下,移栽后35d,小苗膜下移栽根系活力显著低于其他2个处理,其他时间基本一致。常规覆膜移栽和井窖式移栽伸根期内根系活力均表现出随移栽期推迟而增大的规律,而小苗膜下移栽不同移栽期伸根期内根系活力基本一致。除21d外,移栽时间对其他时间的根系活力均有显著影响;移栽方式对35d的根系活力有显著影响;移栽时间与方式对根系活力无交互作用。
表2 不同处理烤烟根系活力
Table 2
| 移栽日期 Transplanting date | 移栽方式 Transplanting mode | 移栽后天数 Days after transplanting | ||||
|---|---|---|---|---|---|---|
| 7d | 14d | 21d | 28d | 35d | ||
| A1 | B1 | 2.77b | 3.84b | 4.74b | 5.76c | 6.93b |
| B2 | 2.96b | 4.02ab | 5.01b | 6.15bc | 7.08b | |
| B3 | 2.89b | 4.14ab | 4.98ab | 5.91c | 7.33b | |
| A2 | B1 | 3.40ab | 4.05ab | 5.18ab | 6.48abc | 7.46ab |
| B2 | 3.66ab | 4.52ab | 5.26ab | 6.14bc | 7.12b | |
| B3 | 3.86a | 4.40ab | 5.16ab | 6.40abc | 7.65ab | |
| A3 | B1 | 3.53ab | 5.04a | 5.41ab | 7.09ab | 8.08a |
| B2 | 3.25ab | 4.84ab | 5.27ab | 6.24abc | 7.27b | |
| B3 | 3.40ab | 5.09a | 5.69a | 7.22a | 8.13a | |
| P值P-value | ||||||
| A | 0.003** | 0.004** | 0.081 | 0.006** | 0.006** | |
| B | 0.854 | 0.702 | 0.655 | 0.415 | 0.005** | |
| A×B | 0.745 | 0.914 | 0.588 | 0.318 | 0.181 | |
不同小写字母表示在0.05水平差异显著;“*”表示在0.05水平影响显著,“**”表示在0.01水平影响显著。下同
Different lowercase letters indicate significant differences at 0.05 level. "*" indicates significant impact at 0.05 level, "**" indicates extremely significant impact at 0.01 level. The same below
不同处理烤烟伸根期土壤温度和湿度情况如表3所示。各移栽方式平均温度和相对含水量均随移栽期推迟而升高;同一移栽期内,不同移栽方式最低温度基本一致,而最高温度、温度极差和平均温度顺序为B2>B1>B3,相对含水量顺序为B2>B3>B1。
表3 伸根期土壤温湿度情况
Table 3
| 移栽日期 Transplanting date | 移栽方式 Transplanting mode | 平均温度 Average temperature (℃) | 最高温度 Maximum temperature (℃) | 最低温度 Lowest temperature (℃) | 极差 Difference of extreme value (℃) | 土壤相对含水量 Soil relative water content (%) |
|---|---|---|---|---|---|---|
| A1 | B1 | 24.24 | 27.92 | 20.46 | 7.46 | 59.26 |
| B2 | 24.83 | 28.97 | 20.38 | 8.60 | 68.90 | |
| B3 | 23.65 | 26.60 | 20.48 | 6.12 | 65.96 | |
| A2 | B1 | 25.44 | 28.06 | 22.52 | 5.54 | 64.97 |
| B2 | 25.98 | 29.59 | 22.68 | 6.91 | 71.97 | |
| B3 | 25.22 | 27.34 | 22.71 | 4.63 | 70.02 | |
| A3 | B1 | 26.53 | 28.62 | 24.15 | 4.47 | 69.70 |
| B2 | 27.25 | 30.20 | 24.44 | 5.77 | 73.71 | |
| B3 | 26.20 | 27.47 | 24.34 | 3.13 | 71.38 |
将伸根期各时期根系活力与同期土壤温湿度进行相关性分析,结果如表4所示。伸根前期,根系活力与土壤平均温度、最低温度和土壤相对含水量呈显著正相关,与温度极差呈显著负相关;伸根后期,根系活力主要与土壤温度极差呈显著负相关;此外,土壤最高温度在伸根前期与根系活力呈正相关关系,而在伸根后期呈负相关关系,表现了伸根后期土壤高温对根系活力的负面影响。
表4 根系活力与土壤温湿度相关性分析
Table 4
| 根系活力Root activity | 移栽后天数Days after transplanting | ||||
|---|---|---|---|---|---|
| 7d | 14d | 21d | 28d | 35d | |
| 平均温度Average temperature (℃) | -0.6725* | -0.8614** | -0.6076 | -0.6252 | -0.3135 |
| 最高温度Maximum temperature(℃) | -0.5678 | -0.6563 | -0.1112 | -0.0594 | -0.5027 |
| 最低温度Minimum temperature (℃) | -0.6872* | -0.9089** | -0.7392* | -0.7538* | -0.6070 |
| 极差Difference of extreme value(℃) | -0.1633 | -0.6849* | -0.7411* | -0.7927* | -0.8575** |
| 土壤相对含水量Soil relative water content (%) | -0.2736 | -0.8141** | -0.6292* | -0.3977 | -0.2635 |
“*”表示在0.05水平下显著相关,“**”表示在0.01水平下显著相关
"*" indicates significant correlation at 0.05 level, "**" indicated significant correlation at 0.01 level
2.3 移栽时间与方式对烤烟农艺性状的影响
2.3.1 对主茎发育动态的影响 不同处理烤烟株高和茎围变化情况如表5所示。4月30日移栽时,常规覆膜移栽株高和茎围低于小苗膜下移栽和井窖式移栽,但差异不显著;在5月10日和5月20日移栽时,移栽后30和50d小苗膜下移栽株高低于常规覆膜移栽和井窖式移栽,其他时间基本一致。50d之前,3种移栽方式株高均随移栽期推迟表现出增大的规律,而4月30日移栽70d时(未打顶)株高显著大于5月10日和5月20日移栽70d时(已打顶)。3个移栽时间下,不同移栽方式各时期茎围均基本一致;而随移栽期推迟3种移栽方式各生长时期茎围均表现出增大的规律。移栽时间对各时期株高和茎围均有极显著影响;移栽方式对30、50d株高有显著影响;移栽时间与方式对30d株高有交互作用。
表5 不同处理烤烟主茎变化规律
Table 5
| 移栽日期 Transplanting date | 移栽方式 Transplanting mode | 株高Plant height (cm) | 茎围Stem circumference (cm) | |||||||
|---|---|---|---|---|---|---|---|---|---|---|
| 10d | 30d | 50d | 70d | 10d | 30d | 50d | 70d | |||
| A1 | B1 | 7.97b | 27.67d | 100.07e | 134.33ab | 2.00c | 2.93e | 7.50c | 8.57b | |
| B2 | 8.63b | 29.63d | 104.23e | 138.33a | 2.03bc | 3.10de | 7.67bc | 8.97b | ||
| B3 | 9.57b | 29.03d | 101.83e | 136.57a | 2.03bc | 3.30cde | 7.60c | 8.90b | ||
| A2 | B1 | 9.73b | 38.70bc | 134.33bc | 128.50bc | 2.27abc | 3.90abc | 8.20abc | 10.50a | |
| B2 | 8.80b | 35.47c | 121.77d | 125.50c | 2.03bc | 3.57abcd | 8.00abc | 10.37a | ||
| B3 | 9.23b | 36.80c | 128.40cd | 127.03c | 2.37ab | 3.83abc | 8.43ab | 10.40a | ||
| A3 | B1 | 14.57a | 42.53b | 151.07a | 127.50c | 2.47a | 4.10ab | 8.50a | 10.63a | |
| B2 | 13.37a | 36.10c | 138.73b | 125.10c | 2.27abc | 3.63abcd | 8.20abc | 10.30a | ||
| B3 | 14.37a | 46.63a | 149.57a | 126.10c | 2.53a | 4.27a | 8.43ab | 10.47a | ||
| P值P-value | ||||||||||
| A | 0.000** | 0.000** | 0.000** | 0.000** | 0.001** | 0.000** | 0.003** | 0.000** | ||
| B | 0.113 | 0.010** | 0.017* | 0.962 | 0.111 | 0.126 | 0.621 | 0.986 | ||
| A×B | 0.788 | 0.002** | 0.058 | 0.492 | 0.520 | 0.532 | 0.808 | 0.827 | ||
2.3.2 对叶片发育动态的影响 不同处理烤烟叶面积变化情况如表6所示。4月30日移栽时,常规覆膜移栽各时期最大叶面积及叶面积指数均低于小苗膜下移栽和井窖式移栽,但差异不显著;5月10日和5月20日移栽时,小苗膜下移栽各时期最大叶面积及叶面积指数均低于常规覆膜移栽和井窖式移栽,但差异不显著。随移栽期推迟3种移栽方式各生长时期叶面积指数均表现出增大的规律。移栽时间对各时期最大叶面积和叶面积指数均有极显著影响;移栽方式对70d最大叶面积有显著影响;移栽时间与方式对叶片发育动态没有交互作用。
表6 不同处理叶片面积变化规律
Table 6
| 移栽日期 Transplanting date | 移栽方式 Transplanting mode | 最大叶面积Maximum leaf area (cm2) | 叶面积指数Leaf area index | |||||||
|---|---|---|---|---|---|---|---|---|---|---|
| 10d | 30d | 50d | 70d | 10d | 30d | 50d | 70d | |||
| A1 | B1 | 45.47b | 346.01b | 823.24d | 1041.86c | 0.02c | 0.50c | 1.97e | 3.53d | |
| B2 | 52.73b | 386.35b | 870.58cd | 1098.25bc | 0.03bc | 0.52bc | 2.09de | 3.70d | ||
| B3 | 50.37b | 375.51b | 867.10cd | 1091.71bc | 0.03bc | 0.53bc | 2.02de | 3.65d | ||
| A2 | B1 | 78.29a | 557.62a | 949.41bc | 1169.76ab | 0.05ab | 0.68ab | 2.54abc | 4.42abc | |
| B2 | 76.87a | 536.51a | 882.44cd | 1105.69bc | 0.04abc | 0.64abc | 2.28cde | 4.15c | ||
| B3 | 77.95a | 547.86a | 923.18bcd | 1158.08ab | 0.05ab | 0.72a | 2.64abc | 4.37bc | ||
| A3 | B1 | 82.02a | 617.44a | 1069.86a | 1210.49a | 0.06a | 0.76a | 2.88a | 4.68a | |
| B2 | 77.70a | 542.16a | 997.20ab | 1107.24bc | 0.05ab | 0.67ab | 2.44bcd | 4.32c | ||
| B3 | 79.54a | 634.21a | 1079.00a | 1216.02a | 0.06a | 0.76a | 2.83ab | 4.66ab | ||
| P值P-value | ||||||||||
| A | 0.000** | 0.000** | 0.000** | 0.000** | 0.001** | 0.000** | 0.000** | 0.000** | ||
| B | 0.978 | 0.485 | 0.327 | 0.043* | 0.675 | 0.437 | 0.095 | 0.072 | ||
| A×B | 0.714 | 0.356 | 0.359 | 0.070 | 0.770 | 0.873 | 0.245 | 0.091 | ||
2.3.3 对平顶期农艺性状的影响 不同处理烤烟平顶期(打顶后10d)农艺性状如表7所示。4月30日移栽时,小苗膜下移栽和井窖式移栽烤烟的所测5个农艺性状指标均高于常规覆膜移栽,其中小苗膜下移栽最大叶面积显著高于常规覆膜移栽,其他指标差异不显著;5月10日和5月20日移栽时,小苗膜下移栽的农艺性状指标均低于常规覆膜移栽和井窖式移栽,其中5月20日井窖式移栽最大叶面积和叶面积指数显著高于小苗膜下移栽,其余指标均差异不显著。随移栽期推迟,3种移栽方式下烟草株高、茎围、最大叶面积和叶面积指数均呈显著增加趋势,叶片数目基本一致。移栽时间对平顶期株高、茎围、最大叶面积和叶面积指数均有极显著影响;移栽方式对平顶期农艺性状影响不显著;移栽时间与方式对最大叶面积有交互作用,其余指标无交互作用。
表7 不同处理平顶期烤烟农艺性状
Table 7
| 移栽日期 Transplanting date | 移栽方式 Transplanting mode | 株高 Plant height (cm) | 茎围 Stem circumference (cm) | 叶片数目 Number of leaves | 最大叶面积 Maximum leaf area (cm2) | 叶面积指数 Leaf area index |
|---|---|---|---|---|---|---|
| A1 | B1 | 114.52c | 9.20c | 21.78a | 1048.58e | 3.57d |
| B2 | 118.46bc | 9.79bc | 22.67a | 1136.38cd | 3.77cd | |
| B3 | 115.04c | 9.63c | 22.33a | 1110.38de | 3.75cd | |
| A2 | B1 | 126.18a | 10.62a | 22.33a | 1216.93abc | 4.06ab |
| B2 | 124.87a | 10.34ab | 22.11a | 1174.69bcd | 3.94bc | |
| B3 | 125.18a | 10.54a | 22.56a | 1238.06ab | 4.08ab | |
| A3 | B1 | 126.33a | 10.84a | 22.67a | 1257.88ab | 4.13ab |
| B2 | 124.23ab | 10.34ab | 22.56a | 1179.15bcd | 3.95bc | |
| B3 | 128.81a | 10.90a | 22.89a | 1267.44a | 4.17a | |
| P值P-value | ||||||
| A | 0.000** | 0.000** | 0.463 | 0.001** | 0.000** | |
| B | 0.922 | 0.780 | 0.684 | 0.118 | 0.140 | |
| A×B | 0.351 | 0.449 | 0.773 | 0.047* | 0.102 |
2.4 移栽时间与方式对烤后烟叶经济性状的影响
不同处理烤后烟叶经济性状如表8所示。4月30日移栽时,不同移栽方式各经济性状均基本一致;5月10日移栽时,小苗膜下移栽烟叶产量和产值显著低于常规覆膜移栽和井窖式移栽;5月20日移栽时,小苗膜下移栽烟叶产值显著低于常规覆膜移栽和井窖式移栽。随移栽期推迟,3种移栽方式烟叶产量和产值均表现出先升高后降低的规律,而均价、上等烟比例和中上等烟比例表现出升高趋势。移栽时间对烤后烟叶产量、产值、均价和烟叶等级结构均有极显著影响;移栽方式对烟叶产量和产值有显著影响;移栽时间与方式对各经济性状指标没有交互作用。
表8 不同处理烟叶经济性状
Table 8
| 移栽日期 Transplanting date | 移栽方式 Transplanting mode | 产量 Yield (kg/hm2) | 产值(元/hm2) Output value (yuan/hm2) | 均价(元/kg) Average price (yuan/kg) | 上等烟比例 High grade tobacco proportion (%) | 中上等烟比例 Mid-high grade tobacco proportion (%) |
|---|---|---|---|---|---|---|
| A1 | B1 | 1921.66d | 29083.43e | 15.14b | 28.01d | 81.63d |
| B2 | 1941.78d | 29907.82e | 15.41b | 29.61cd | 83.68cd | |
| B3 | 1967.35cd | 30354.45e | 15.45b | 30.31cd | 82.98cd | |
| A2 | B1 | 2244.32a | 37455.09ab | 16.69a | 36.75ab | 90.13ab |
| B2 | 2059.56bcd | 33646.34cd | 16.34a | 33.48abc | 88.10ab | |
| B3 | 2271.83a | 37980.32a | 16.71a | 36.99a | 91.92a | |
| A3 | B1 | 2115.08abc | 35327.81bc | 16.70a | 35.18ab | 89.54ab |
| B2 | 2007.16cd | 32738.56d | 16.31a | 32.45bc | 86.55bc | |
| B3 | 2153.24ab | 35780.19abc | 16.62a | 35.80ab | 90.22ab | |
| P值P-value | ||||||
| A | 0.000** | 0.000** | 0.000** | 0.008** | 0.000** | |
| B | 0.016* | 0.002** | 0.357 | 0.270 | 0.167 | |
| A×B | 0.299 | 0.060 | 0.486 | 0.639 | 0.198 |
2.5 移栽时间与方式对烤后烟叶质量的影响
2.5.1 对烤后烟叶化学成分的影响 不同处理烤后烟叶化学成分如表9所示。在同一移栽时间下,不同移栽方式烤后烟叶各化学成分含量及CCUI均基本一致;随移栽期推迟,3种移栽方式处理烟叶的还原糖含量、总糖含量、糖碱比和CCUI均表现升高规律,而总植物碱含量表现降低规律。移栽时间对烟叶还原糖、总糖、总植物碱、糖碱比、氮碱比和化学成分协调性均有显著影响;移栽方式对烟叶各化学成分均无显著影响;移栽时间与方式对烟叶各化学成分没有交互作用。
表9 不同处理烟叶化学成分
Table 9
| 移栽日期 Transplanting date | 移栽方式 Transplanting mode | 还原糖 Reducing sugar (%) | 总糖 Total sugar (%) | 总植物碱 Total alkaloid (%) | 总氮 Total nitrogen (%) | 钾 Potassium (%) | 氯 Chlorine (%) | 糖碱比 Ratio of sugar to alkaloid | 氮碱比 Ratio of nitrogen to alkaloid | 钾氯比 Ratio of potassium to chlorine | CCUI |
|---|---|---|---|---|---|---|---|---|---|---|---|
| A1 | B1 | 18.97c | 20.07d | 2.94a | 2.08a | 1.21a | 0.34a | 6.46b | 0.71a | 3.65a | 82.36b |
| B2 | 19.60bc | 20.77bcd | 2.90ab | 2.03a | 1.17a | 0.35a | 6.79b | 0.70a | 3.33a | 83.36b | |
| B3 | 19.13bc | 20.37cd | 2.91ab | 2.06a | 1.17a | 0.34a | 6.59b | 0.71a | 3.42a | 82.58b | |
| A2 | B1 | 20.97a | 22.53a | 2.56c | 1.91a | 1.20a | 0.32a | 8.20a | 0.75a | 3.73a | 91.56a |
| B2 | 20.73ab | 22.37ab | 2.57c | 2.00a | 1.15a | 0.35a | 8.09a | 0.78a | 3.34a | 89.43a | |
| B3 | 21.27a | 22.93a | 2.60bc | 1.97a | 1.18a | 0.32a | 8.18a | 0.76a | 3.87a | 91.52a | |
| A3 | B1 | 20.70ab | 22.13ab | 2.40c | 1.92a | 1.22a | 0.35a | 8.64a | 0.80a | 3.51a | 92.20a |
| B2 | 20.43abc | 21.93abc | 2.41c | 1.95a | 1.19a | 0.37a | 8.49a | 0.81a | 3.26a | 90.89a | |
| B3 | 21.07a | 22.37ab | 2.49c | 1.94a | 1.20a | 0.33a | 8.49a | 0.78a | 3.69a | 92.12a | |
| P值P-value | |||||||||||
| A | 0.001** | 0.000** | 0.000** | 0.140 | 0.853 | 0.613 | 0.000** | 0.045* | 0.815 | 0.000** | |
| B | 0.774 | 0.762 | 0.776 | 0.924 | 0.688 | 0.226 | 0.965 | 0.870 | 0.153 | 0.565 | |
| A×B | 0.795 | 0.851 | 0.998 | 0.918 | 0.998 | 0.911 | 0.958 | 0.981 | 0.972 | 0.869 |
2.5.2 对烤后烟叶感官评价的影响 不同处理烤后烟叶感官评吸得分如表10所示。4月30日移栽时,常规覆膜移栽烤后烟叶评吸得分低于小苗膜下移栽和井窖式移栽;5月10日、5月20日移栽时,小苗膜下移栽烤后烟叶评吸得分均低于常规覆膜移栽和井窖式移栽。随移栽期推迟,3种移栽方式烤后烟叶评吸得分均表现先升高后降低规律。
表10 不同处理烟叶感官评吸得分
Table 10
| 移栽日期 Transplanting date | 移栽方式 Transplanting mode | 香气质量 Aroma quality | 香气量 Aroma amount | 余味 Aftertaste | 杂气 Miscellaneous smell | 刺激性 Excitability | 燃烧性 Flammability | 灰色 Ash color | 总得分 Total score |
|---|---|---|---|---|---|---|---|---|---|
| A1 | B1 | 10.67 | 15.50 | 18.33 | 12.25 | 8.88 | 3.00 | 3.00 | 71.63 |
| B2 | 10.83 | 15.67 | 18.58 | 12.50 | 8.88 | 3.00 | 3.00 | 72.47 | |
| B3 | 10.80 | 15.80 | 18.67 | 12.50 | 8.88 | 3.00 | 3.00 | 72.65 | |
| A2 | B1 | 11.08 | 16.15 | 19.08 | 12.85 | 8.88 | 3.00 | 3.00 | 74.04 |
| B2 | 11.00 | 16.08 | 18.62 | 12.75 | 8.90 | 3.00 | 3.00 | 73.35 | |
| B3 | 11.10 | 16.20 | 19.17 | 12.88 | 8.88 | 3.00 | 3.00 | 74.23 | |
| A3 | B1 | 11.08 | 16.07 | 18.85 | 12.85 | 8.80 | 3.00 | 3.00 | 73.65 |
| B2 | 10.93 | 16.05 | 18.70 | 12.58 | 8.80 | 3.00 | 3.00 | 73.06 | |
| B3 | 11.00 | 16.15 | 18.87 | 12.83 | 8.88 | 3.00 | 3.00 | 73.73 |
3 讨论
3.1 移栽时间是影响烤烟生长发育、产量及品质的主要因素
烤烟对外界环境具有一定的适应性和敏感性,确定适宜的移栽时间及方式,是优化气候资源配置和缓解限制性气象因子障碍的有效途径,是实现烟株正常发育以及烟叶提质增收的重要前提。本研究表明,移栽时间对烤烟生育期、农艺性状、经济性状和化学成分均产生显著影响,相比移栽方式,移栽时间是主要影响因素。作物发育进程主要受温度和光照等因素影响[16]。本研究中,烤烟生育前期时间随移栽期推迟而缩短,与前人在多种作物上的研究结果一致[16,17,18];烤烟移栽后生长发育速率随移栽期推迟而加快,与生育期变化规律相吻合;烟株平顶期主茎和叶片大小随移栽期推迟呈增大趋势,与李文卿等[6]和张志高等[19]的研究结果一致。研究表明,温度是影响山东烤烟发育进程的主要限制因子[20],在适宜范围内发育速率与气温呈正相关,因此,移栽期推迟导致气温升高是烤烟发育进程加快和生育前期缩短的主要原因。鲁中烟区烤烟生长季内日照时数变幅较小,气温和降水呈现先增后降规律,在7月达到顶峰,早栽烟草生长前期处于低温干旱环境,生长受到抑制,植株和叶片较小,而晚栽烟株主茎和叶片变大与其生长前期气温较高、降水增多有关。
烟叶化学成分尤其是糖碱的协调性,是评价烟叶质量的重要依据[23],烟叶感官评价得分是评价烟叶质量最直观的体现[24]。诸多研究表明,移栽时间对烟叶质量影响显著,但不同产区变化规律不尽相同[6,25],可能与不同香型风格烟叶对气候资源需求不同有关。本研究表明:适当推迟移栽期,可提糖降碱,提升烟叶化学协调性,与前人研究结果一致[6,26],烟叶评吸得分随移栽期推迟表现先升高后微降趋势,与同属中间香型产区的研究结果[4,27]一致。在同一地区其他栽培措施一致的情况下,烟叶化学成分的变化主要与气象因子的变化有关[28]。不同移栽期对气象因素的调整较大,推测鲁中烟区晚栽烤烟生长前期温度升高使糖类物质合成增加,而成熟后期温度降低及昼夜温差变大使糖类消耗减少,因而使其含糖量高于早栽烤烟;而总植物碱主要在打顶后大量合成,晚栽烤烟后期温度降低及生育期缩短使总植物碱合成量减少;适当晚栽烟叶化学协调性提高,提升感官评吸质量,但过晚移栽烟叶由于后期降温剧烈使物理特性、外观质量变差,同样影响烟叶感官评吸质量。
3.2 移栽方式对烤烟的生长发育、产量及品质起微调作用
选择适宜移栽方式,可以规避限制性气象条件,改善烟苗生长微环境,缩短还苗时间,保障烤烟大田生长时间,促进烤烟适时成熟,提高产量,改善品质[5]。近年来各烟区针对烤烟移栽方式开展较多研究,但结论不尽相同[3,11-12],其原因可能与各地气象变化规律不同有关。本研究表明,移栽方式对烟株生长发育及产量品质部分指标有显著影响,起到微调作用。移栽方式在不同移栽期下对烟株发育的调控不一致,早栽条件下,小苗膜下移栽和井窖式移栽烤烟伸根期发育速率快于常规覆膜移栽,最大叶面积显著高于常规覆膜移栽,与刘广玉等[11]和林叶春等[29]研究结果一致;而晚栽条件下,小苗膜下移栽烤烟发育速率慢于其他方式,其最大叶片面积、叶面积指数、烟叶产量和产值均显著低于井窖式移栽,与邱雪柏等[12]的研究结果一致。移栽方式对生育进程的影响主要在还苗伸根期,与该时期根系活力变化和根系发育快慢有关[5]。本研究中,早栽条件下,小苗膜下移栽和井窖式移栽处理伸根期烟苗根系活力均高于常规覆膜移栽方式;根系活力主要受土壤温度、湿度和养分状况影响[12],小苗膜下移栽使根系土壤温度、相对含水量提高,井窖式移栽虽然使土壤温度略有降低,但温差变小使温度更稳定,同时提高相对含水量,表明小苗膜下移栽和井窖式移栽在早栽条件下有改善根系土壤温湿度环境和促进烟苗早生快发的优势。但在晚栽时,气温升高使膜下移栽土壤温度过高,导致根系活力低于常规覆膜移栽和井窖式移栽,对烟苗快速还苗产生负面影响。不同移栽方式团棵期后所处环境均一致,因此早栽条件下不同移栽方式烟株最终状态差异有限,也体现了烤烟对环境的适应性,但晚栽条件下小苗膜下移栽最终整株叶片面积显著变小,产量和产值降低,可能是小苗膜下移栽伸根期过高温度对烟株叶片造成一定伤害,导致后期叶片生长无法完全恢复常规大小,最终导致减产。
3.3 移栽时间与移栽方式的互作效应
移栽时间与移栽方式存在互作效应,主要体现在移栽时间对移栽方式特点的发挥起到限制作用。在鲁中烟区,早栽条件下,相比常规覆膜移栽,小苗膜下移栽可以发挥其增温增湿、改善土壤微环境和促进根系发育的优势,井窖式移栽可以表现其恒温增湿、优化土壤微环境和促进根系发育的特点;但过晚移栽条件下,小苗膜下移栽伸根期土壤及膜下过高的温度对根系和烟苗生长产生不利影响,产生负面效应。移栽方式只有在适宜的移栽时间下才能发挥其优势。移栽时间是影响烤烟生长发育、产量和品质的主要因素,因此,移栽方式选择需结合当地实际情况,在适宜移栽时间前提下进行。
4 结论
移栽时间是影响鲁中烤烟发育及产质的主要因素,通过调控生育期内温度的变化对烟株产生影响;随移栽期推迟,生育进程加快,烟株和叶片变大,烤后烟叶等级结构提升,化学协调性提高,经济产量和感官评吸质量先升高后微降。移栽方式通过改变生长前期微环境对烟株生长起到微调作用,但不同移栽方式在不同移栽时间条件下的影响不同;早栽时,小苗膜下移栽和井窖式移栽可改善根系土壤温湿度环境,促进烟苗早生快发,提高烟叶评吸质量,但晚栽时,小苗膜下移栽由于地温过高对烟苗生长产生负面影响,进而影响烟叶产量和品质。以5月10日的井窖式移栽处理综合表现最好,可作为鲁中烟区适宜的移栽时间和方式进行示范应用。
参考文献
/
| 〈 |
|
〉 |

