高温胁迫下铵硝混配营养促进水稻生长的生理机制
1
2
Physiological Mechanism of Ammonium-Nitrate Mixed Nutrition Promoting Rice Growth under High-Temperature Stress
1
2
通讯作者:
收稿日期: 2024-07-18 修回日期: 2024-09-15 网络出版日期: 2024-12-06
| 基金资助: |
|
Received: 2024-07-18 Revised: 2024-09-15 Online: 2024-12-06
作者简介 About authors
彭彬峰,主要从事水稻高产高效栽培与逆境胁迫研究,E-mail:
关键词:
Taking rice varieties “Guanghui 751” and “Yuehesimiao” as experimental materials, different ammonium-nitrate mixed nutrition treatments (100:0, 75:25, 0:100) were set up to analyze the effects of different ammonium-nitrate mixed nutrition on rice biomass, root morphology, proline, malondialdehyde and antioxidant enzyme activities under high temperature stress conditions (average daytime temperature of 40-45 ℃ and average nighttime temperature of 30-35 ℃). The results showed that under high temperature stress, the biomass of rice in the 75:25 treatment was the largest, and compared with the 100:0 and 0:100 treatments, the shoot biomass was increased by 9.94%-16.59% and 22.01%-23.98%, respectively. Total root length, root surface area and root volume were increased with the increasing of nitrate nitrogen, but there was no significant difference in root diameter. Compared with the 100:0 treatment, the catalase (CAT), peroxidase (POD) and ascorbate peroxidase (APX) activities of Guanghui 751 under 75:25 treatment were increased by 250.00%, 60.42% and 207.00%, respectively, and the proline content was enhanced by 55.67%. The CAT and APX activities of Yuehesimiao were significantly increased, and the malondialdehyde content was decreased by 33.84%. These results indicated that 75:25 ammonium-nitrate ratio could alleviate the high temperature stress in rice by improving the antioxidant enzyme activity and affecting proline or malondialdehyde contents in rice.
Keywords:
本文引用格式
彭彬峰, 陆楚盛, 尹媛红, 朱菲菲, 叶群欢, 潘俊峰, 刘彦卓, 胡香玉, 胡锐, 李妹娟, 王昕钰, 梁开明, 傅友强.
Peng Binfeng, Lu Chusheng, Yin Yuanhong, Zhu Feifei, Ye Qunhuan, Pan Junfeng, Liu Yanzhuo, Hu Xiangyu, Hu Rui, Li Meijuan, Wang Xinyu, Liang Kaiming, Fu Youqiang.
季平等[10]研究表明,高温胁迫主要通过诱导水稻叶片ROS过量积累,引发氧化胁迫,从而导致叶片枯萎,提高抗氧化防御能力和调控内源脱落酸(ABA)信号通路是水稻抵抗高温胁迫的重要途径。尤翠翠等[11]提出选育耐高温品种、合理调整播期、加强稻田水肥管理及合理施用植物生长调节剂等水稻高温热害的防御对策。解玉玲[12]发现,高温胁迫影响植物光合速率、酶活力和蒸腾作用,会使植物细胞膜损伤、丙二醛(MDA)含量积累过多、渗透性调节物脯氨酸(Pro)增多和抗氧化酶活性提高等。杨雲雲等[13]发现,高温胁迫显著抑制了水稻种子的萌发及幼芽和幼根的生长,提高了下游抗氧化防御能力,抑制了ROS过量积累,降低了细胞损伤,可缓解高温胁迫。因此,提高抗氧化酶活性,降低ROS过量积累,增加Pro含量,降低MDA含量,减少细胞损伤是缓解高温胁迫的重要措施。
氮是植物生长发育所必需的营养元素之一,也是构成植物体内蛋白质和核酸的基本元素之一。氮素在植物逆境胁迫中发挥重要作用,比如为逆境胁迫中的作物提供充足的氮源、阻止蛋白质的降解和氧化、合成新的抗逆境胁迫的蛋白质或氨基酸、抵抗或清除活性氧自由基、减轻逆境胁迫对植物的伤害等[14]。王瑞等[15]发现,氮素主要通过吸收、同化和氨基酸合成等代谢过程缓解植物受到的逆境胁迫。氮素供应能够提高硝酸还原酶(NR)、谷氨酰胺合成酶(GS)和谷氨酸合成酶(GOGAT)等氮同化关键酶活性,促进硝酸盐和铵的同化,增强植株抗氧化能力和渗透调节能力,维持膜系统稳定性和完整性,从而维持植物碳代谢相关酶较高的活性和碳代谢正常进行[14]。铵态氮和硝态氮是无机氮的2种主要形态,在植物逆境胁迫中有着重要作用。研究[16]表明,铵态氮在一定程度上可调节植物的营养平衡,促进抗氧化酶和耐受蛋白活性,从而缓解逆境胁迫。硝态氮能够促进植物根系生长和水分吸收,提高耐热性蛋白和抗氧化酶活性,维持植物的光合作用和呼吸代谢,从而缓解高温胁迫对植物的负面影响[17]。然而,关于铵硝混配营养缓解水稻高温胁迫的生理机制鲜有报道。
基于此,本研究拟在高温胁迫条件下(白天平均温度在40~45 ℃,夜晚平均温度在30~35 ℃),探究铵硝混配营养对水稻生物量、根系形态、Pro、MDA以及抗氧化酶活性的影响。研究结果可为铵硝混配营养缓解水稻高温胁迫提供理论和科学依据。
1 材料与方法
1.1 供试材料
供试水稻品种为“广恢751”和“粤禾丝苗”。试验于2023年在广东省农业科学院水稻研究所温室(113°21′22.7″ E,23°8′56.3″ N)中进行。
1.2 植株培养
选取颗粒饱满、大小一致的种子,于5% NaClO溶液中浸泡30 min消毒,用去离子水冲洗3~5次,转入清水中,置于32 ℃的光温培养箱中浸种36 h,隔12 h换一次水,浸种结束后转入垫有湿润滤纸的培养皿中催芽12 h,待种子露白后,取露白一致的种子放入96孔水培板中进行全营养液培养,室温下培养至两叶一心,然后在高温环境下进行铵硝混配营养液处理。
1.3 试验设计
设置3个处理,分别为100%铵态氮(100:0铵硝混配营养)、75%铵态氮+25%硝态氮(75:25铵硝混配营养)和100%硝态氮(0:100铵硝混配营养)。所有处理的总氮(N)水平为0.95 mmol/L。NH4+-N营养以(NH4)2SO4加入,NO3−-N营养以Ca(NO3)2·4H2O加入,营养液除氮营养不同外,其他养分含量均按1/3强度的改良Hoagland营养液[18]略作修改,大量营养元素(mmol/L):KH2PO4 0.32,K2SO4 0.84,CaCl2 1.00,MgSO4⋅7H2O 1.70。微量营养元素(μmol/L):MnCl2·4H2O 9.10,85% H2MoO4 0.52,H3BO3 18.00,ZnSO4·7H2O 0.15,CuSO4·5H2O 0.16,Fe(III)-EDTA 150.00。为了消除环境微生物硝化作用,防止NH4+-N转化为NO3−-N,在所有处理中添加了7.00 μmol/L双氰胺(硝化抑制剂)。试验每6 d更换一次营养液,试验期间每天用1 mol/L HCl或NaOH溶液调节pH至5.5。处理12 d后分别测定水稻生物量、根系形态、Pro、MDA及抗氧化酶活性等指标,每个指标3次重复。采用HOBO光温测定仪连续记录每天的温度情况,试验期间温度如图1所示,白天平均温度在40~45 ℃,夜晚平均温度在30~35 ℃。
图1
1.4 测定指标与方法
1.4.1 生物量
每个重复随机选择代表性的8株幼苗,分地上部和根系2部分,根系用滤纸吸干表面水分,分别装信封中,于烘箱中先105 ℃杀青15 min,再调节温度至75 ℃烘干至恒重,用万分之一天平称量。
1.4.2 根系形态
每个重复随机选取3株植株,剪下根系,用根系扫描仪进行根系形态分析,主要分析每株的总根长(cm)、平均根直径(cm)、总根表面积(cm2)和总根体积(cm3)。
1.4.3 Pro含量
采用酸性茚三酮比色法[19]测定Pro含量。取新鲜叶片,用80%乙醇黑暗浸提1 h,浸提后的上清液同冰乙酸和酸性茚三酮溶液混匀,沸水浴加热20 min,冷却后在515 nm波长下测定其光密度,制作标准曲线计算出待测样品中Pro的含量。
1.4.4 MDA含量
1.4.5 抗氧化酶活性
使用生物工程(上海)股份有限公司试剂盒,采用微量法[22]检测过氧化氢酶(CAT)、过氧化物酶(POD)和抗坏血酸过氧化物酶(APX)活性。利用紫外分光光度计(UV- 2700,日本岛津公司),在不同波长下测定幼苗叶片对应指标(CAT、POD和APX)的吸光值,计算酶活性。
1.5 数据处理
采用Microsoft Excel 2019和SPSS 26.0软件进行数据统计和显著性差异分析,采用Origin 2022软件绘制柱状图。
2 结果与分析
2.1 铵硝混配营养对水稻生物量的影响
从表1可知,各处理间生物量存在显著差异,品种和处理存在显著的交互作用,但品种间差异不显著。高温胁迫下,75:25处理的水稻地上部生物量显著高于100:0和0:100处理。此外,0:100处理下水稻幼苗根系生物量显著高于100:0处理。与100:0和0:100处理相比,75:25处理下广恢751地上部生物量分别增加了16.59%和11.01%;粤禾丝苗分别增加了9.94%和23.98%,差异均达到显著水平(P<0.05)。
表1 不同铵硝混配营养液处理下水稻幼苗的生物量
Table 1
| 品种Variety | 处理Treatment | 根系生物量Root biomass | 地上部生物量Shoot biomass | 总生物量Total biomass |
|---|---|---|---|---|
| 广恢751 Guanghui 751 | 100:0 | 43.53±6.99b | 375.57±8.18b | 419.10±8.59b |
| 75:25 | 49.97±0.92b | 437.87±5.83a | 487.83±3.07a | |
| 0:100 | 65.00±5.96a | 394.43±13.67b | 459.43±11.02a | |
| 粤禾丝苗Yuehesimiao | 100:0 | 49.27±2.85b | 404.43±19.14b | 453.70±16.68b |
| 75:25 | 53.93±1.75a | 444.63±24.27a | 498.57±14.77a | |
| 0:100 | 58.00±2.01a | 358.63±11.93b | 416.63±8.02b | |
| 品种Variety | ns | ns | ns | |
| 处理Treatment | ** | ** | ** | |
| 品种×处理Variety×Treatment | * | ** | ** | |
不同小写字母表示同一品种不同处理间在P < 0.05水平上差异显著。“**”表示在P < 0.01水平差异显著,“*”表示在P < 0.05水平差异显著,ns表示在P < 0.05水平差异不显著。下同。
Different lowercase letters indicate significant differences at the P < 0.05 level among different treatments of the same variety.“*”and“**”indicate significant differences at the P < 0.05 and P < 0.01 levels, respectively, ns indicates no significant differences at P < 0.05 level. The same below.
2.2 铵硝混配营养对水稻根系形态的影响
从表2可知,总根长、根直径、根表面积和根体积在处理间存在显著差异,处理和品种存在显著的交互作用,除了总根长外,品种间无显著差异。随着硝态氮比例的增加,总根长、根表面积和根体积均表现为逐渐增加的趋势,差异均达到显著水平(P<0.05),但根直径无显著差异(P>0.05)。
表2 不同铵硝混配营养对水稻根系形态的影响
Table 2
| 品种 Variety | 处理 Treatment | 总根长 Total root length (cm) | 根直径 Root diameter (cm) | 根表面积 Root surface area (cm2) | 根体积 Root volume (cm3) |
|---|---|---|---|---|---|
| 广恢751 Guanghui 751 | 100:0 | 214.08±40.66b | 0.34±0.01a | 22.68±3.81b | 0.19±0.03b |
| 75:25 | 248.76±13.10b | 0.33±0.00a | 25.89±1.26b | 0.21±0.01b | |
| 0:100 | 341.99±20.94a | 0.34±0.01a | 37.01±2.92a | 0.32±0.03a | |
| 粤禾丝苗Yuehesimiao | 100:0 | 268.86±7.14b | 0.32±0.01a | 27.27±0.88b | 0.22±0.01b |
| 75:25 | 288.08±20.63ab | 0.32±0.01a | 29.15±2.48b | 0.24±0.02b | |
| 0:100 | 322.52±22.69a | 0.33±0.01a | 33.55±2.45a | 0.28±0.02a | |
| 品种Variety | * | ns | ns | ns | |
| 处理Treatment | ** | ** | ** | ** | |
| 品种×处理Variety×Treatment | * | * | * | * | |
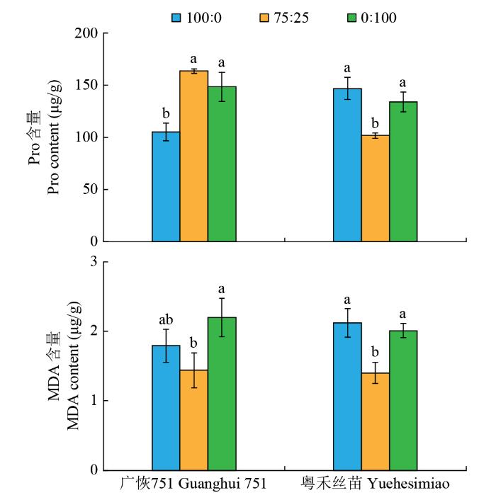
2.3 铵硝混配营养对水稻叶片Pro和MDA含量的影响
如图2可知,与100:0处理相比,75:25和0:100处理的广恢751叶片Pro含量分别增加了55.67%和41.32%,粤禾丝苗叶片Pro含量分别下降了44.34%和9.62%。75:25和0:100处理广恢751叶片MDA含量均与100:0处理无明显差异。与100:0处理相比,75:25处理粤禾丝苗叶片MDA含量下降了33.84%,差异达显著水平(P<0.05),但0:100处理和100:0处理无显著差异。
图2
图2
不同铵硝混配营养对水稻幼苗Pro和MDA含量的影响
不同小写字母表示在P < 0.05水平上差异显著。下同。
Fig.2
Effects of different ammonium and nitrate mixed nutrition treatments on Pro and MDA contents of rice seedlings
Different lowercase letters indicate significant differences at the P < 0.05 level. The same below.
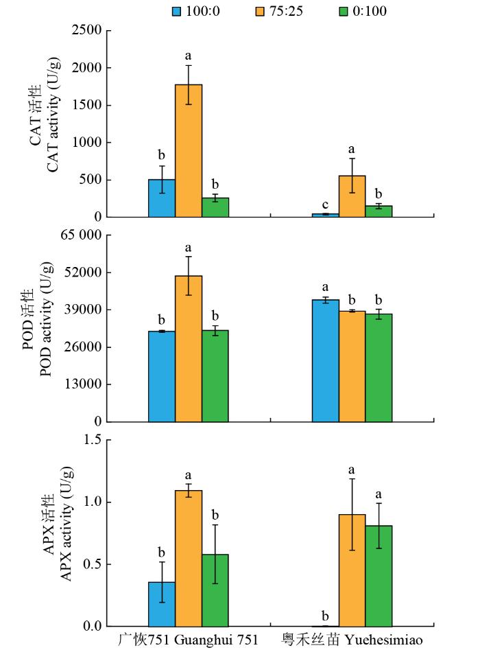
2.4 铵硝混配营养对水稻叶片抗氧化酶活性的影响
如图3可知,与100:0处理相比,75:25处理下广恢751叶片的CAT、POD和APX活性分别增加了250.00%、61.42%和207.00%,差异达到显著水平(P<0.05),但0:100处理无显著差异。与100:0处理相比,75:25处理粤禾丝苗叶片CAT和APX活性显著增加,差异均达到显著水平(P<0.05)。
图3
图3
不同铵硝混配营养处理对水稻叶片抗氧化酶活性的影响
Fig.3
Effects of different ammonium and nitrate mixed nutrition treatments on antioxidant enzyme activities of rice leaves
3 讨论
高温胁迫下植物体内活性氧自由基过多,抗氧化酶活性和渗透保护性物质含量降低,导致细胞膜损伤,是高温对植株产生伤害的主要原因。植株可通过调节自身酶系统活性和可溶性糖、可溶性蛋白、Pro等渗透保护性物质含量以清除自由基等有害物质,维持高温下细胞的结构与功能[23]。有研究[15,24]表明,NO3-的存在可增加水稻根系体积,促进根系的积累,促进根系生长。本试验条件下,随着处理中硝态氮比例的增加,总根长、根表面积和根体积均表现为逐渐增加的趋势(表2),可能与逆境胁迫条件下硝态氮诱导根系生长发育、促进水分和养分的吸收、缓解高温胁迫有关。高温胁迫下,75:25处理的水稻地上部生物量显著高于100:0和0:100处理,表现为与100:0与0:100处理相比,75:25处理下广恢751地上部生物量分别增加了16.59%和11.01%;粤禾丝苗分别增加了9.94%和23.98%(表1)。这可能与铵硝混配营养在高温胁迫下诱导抗氧化酶活性和增加Pro含量有关。
苗期、幼穗分化期和扬花期是水稻最易受高温胁迫影响的关键时期。在华南双季稻区,晚季水稻栽插时间为7-8月,正值温度最高的月份,水稻幼苗常常遭受高温胁迫,极端高温或长时间高温胁迫不仅抑制了水稻幼苗的生长发育,甚至能造成秧苗萎蔫和死亡,导致水稻产量下降。因此,缓解高温胁迫促使水稻幼苗正常生长具有重要意义。高温胁迫导致水稻幼苗叶片ROS过量积累,加剧了质膜损伤程度,进而导致了叶片的萎蔫,降低生物量;高温胁迫下,提高叶片抗氧化酶活性,降低MDA含量[25],是水稻抵抗高温胁迫的重要途径。本研究结果表明,75:25的铵硝混配营养能缓解水稻的高温胁迫,铵硝混配营养主要通过诱导抗氧化酶活性影响Pro或MDA含量(图2和图3),从而缓解水稻的高温胁迫。因此,在华南地区晚季秧龄期或苗期,如果遇到高温胁迫,应适当地补施硝态氮肥,且用量以基肥用量的1/3为宜,以缓解高温胁迫对水稻幼苗的伤害。Pro属植物体中最重要的渗透性调节物质。水稻在高温环境条件下,铵硝混配营养会诱发Pro的大量累积[26],从而提高水稻的抗逆性。本研究结果表明,与100:0处理相比,75:25处理的广恢751叶片Pro含量显著增加。粤禾丝苗叶片MDA含量显著下降(图2),差异达显著水平(P<0.05)。高温导致ROS的大量产生,引起细胞损伤。水稻体内清除ROS的主要酶有超氧化物歧化酶(SOD)、POD、CAT、APX等[27],铵硝混配营养能够提高体内抗氧化酶的活性,以降低膜脂过氧化物造成的损伤,减缓逆境胁迫对水稻植株生物量的降低。本研究结果也发现,与100:0处理相比,75:25处理广恢751叶片CAT、POD和APX活性显著增加,粤禾丝苗叶片CAT和APX活性显著增加,差异达到显著水平(图3)。研究[28]发现,MDA含量增加表明植物遭受了逆境胁迫,细胞膜的受损程度增大。Pro等抗逆性物质可以有效地维持植物细胞膜的稳定,诱导抗氧化酶活性提高,延缓膜脂的氧化过程,因此,在植物受到逆境胁迫时,抗氧化酶活性会提高,从而保护细胞免受ROS损伤[29]。综上所述,75:25铵硝混配营养能显著缓解高温胁迫,在高温环境条件下,铵硝混配营养主要通过提高抗氧化酶活性,影响Pro和MDA含量,进而缓解生物量的下降。
4 结论
在本试验条件下,75:25的铵硝混配营养能缓解水稻所受的高温胁迫,与100:0的铵硝混配营养相比,75:25的铵硝混配营养提高了抗氧化酶活性和Pro含量,降低了MDA含量,从而缓解了水稻的高温胁迫,增加了水稻生物量。研究结果可为铵硝混配营养缓解水稻高温胁迫提供理论支撑和科学依据。
参考文献
Temperature increase reduces global yields of major crops in four independent estimates
Identification of genomic regions governing moisture and heat stress tolerance employing association mapping in rice (Oryza sativa L.)
Suppression of OsMDHAR4 enhances heat tolerance by mediating H2O2-induced stomatal closure in rice plants
水稻苗期耐热种质资源筛选及QTL定位
【目的】鉴定和筛选水稻极端耐热种质或基因,为培育耐高温水稻新品种提供技术支撑。【方法】以耐热等级和幼苗存活率为指标对不同类型水稻苗期耐热性进行鉴定评价,以筛选和鉴定耐热种质资源及主效QTL。【结果】不同类型水稻品种苗期耐热性存在明显差异,籼稻品种耐热性明显强于粳稻品种,籼稻和粳稻品种均存在极端耐热和极端敏感种质资源;共筛选出嘉育253、中优早8号、秀水09等20份耐热种质资源,高温处理后幼苗存活率和生长发育基本不受影响。RIL群体双亲耐热等级和幼苗存活率存在极显著差异,中优早8号耐热性较强,植株基本无枯死,龙稻5号对高温胁迫较敏感,不同株系间苗期耐热性存在较大幅度变异;共检测到12个苗期耐热相关QTL,分布于第1、3、4、5和8染色体上,耐热等级和存活率QTL存在明显的遗传重叠,主效QTL簇qHTS4和qHTS8表型贡献率较大。基于QTL初步定位结果,利用相对剩余杂合体RHL-F<sub>2</sub>群体,在第8染色体RM5808-RM556标记区域鉴定了一个苗期耐热性主效QTL qHTS8,该区域对苗期耐热性具有较强调控效应。【结论】筛选出20份苗期耐热性较强的水稻种质资源,鉴定了12个苗期耐热相关的QTL,定位和验证了一个调控水稻苗期耐热性的主效QTL qHTS8,研究结果可为水稻苗期耐热性生理生化机理与分子遗传机制的研究及育种利用奠定基础。
An overview of biomembrane functions in plant responses to high-temperature stress
DOI:10.3389/fpls.2018.00915
PMID:30018629
Biological membranes are highly ordered structures consisting of mosaics of lipids and proteins. Elevated temperatures can directly and effectively change the properties of these membranes, including their fluidity and permeability, through a holistic effect that involves changes in the lipid composition and/or interactions between lipids and specific membrane proteins. Ultimately, high temperatures can alter microdomain remodeling and instantaneously relay ambient cues to downstream signaling pathways. Thus, dynamic membrane regulation not only helps cells perceive temperature changes but also participates in intracellular responses and determines a cell's fate. Moreover, due to the specific distribution of extra- and endomembrane elements, the plasma membrane (PM) and membranous organelles are individually responsible for distinct developmental events during plant adaptation to heat stress. This review describes recent studies that focused on the roles of various components that can alter the physical state of the plasma and thylakoid membranes as well as the crucial signaling pathways initiated through the membrane system, encompassing both endomembranes and membranous organelles in the context of heat stress responses.
Physiological and biochemical characterization of NERICA-L-44: a novel source of heat tolerance at the vegetative and reproductive stages in rice
Trait and marker associations in Oryza nivara and O. rufipogon derived rice lines under two different heat stress conditions
DOI:10.3389/fpls.2017.01819
PMID:29123535
[本文引用: 1]
Wild species and derived introgression lines (ILs) are a good source of genes for improving complex traits such as heat tolerance. The effect of heat stress on 18 yield traits was studied in four treatments in two seasons, under field conditions by subjecting 37 ILs and recurrent parents Swarna and KMR3, N22 mutants, and wild type and 2 improved rice cultivars to heat stress using polycover house method in wet season and late sowing method in dry season. Normal grown unstressed plants were controls. Both correlation and path coefficient analysis showed that the major contributing traits for high yield per plant (YPP) under heat stress conditions were tiller number, secondary branches in panicle, filled grain number, and percent spikelet fertility. Three ILs, K-377-24, K-16-3, and S-148 which gave the highest YPP of 12.30-32.52 g under heat stress in both the seasons were considered the most heat tolerant. In contrast, K-363-12, S-75, and Vandana which gave the least YPP of 5.36-10.84 g were considered heat susceptible. These lines are a good genetic resource for basic and applied studies on heat tolerance in rice. Genotyping using 49 SSR markers and single marker analysis (SMA) revealed 613 significant marker-trait associations in all four treatments. Significantly, nine markers (RM243, RM517, RM225, RM518, RM525, RM195, RM282, RM489, and RM570) on chromosomes 1, 2, 3, 4, 6, and 8 showed association with six traits (flag leaf spad, flag leaf thickness, vegetative leaf temperature, plant height, panicle number, and tiller number) under heat stress conditions in both wet and dry seasons. Genes such as heat shock protein binding DnaJ, Hsp70, and temperature-induced lipocalin-2 OsTIL-2 close to these markers are candidates for expression studies and evaluation for use in marker assisted selection for heat tolerance.
高温胁迫对水稻生长发育的伤害效应及其防御对策
DOI:10.3969/j.issn.1004-1524.2023.01.02
[本文引用: 1]
全球气候变暖背景下,高温天气频发,高温热害已成为严重影响水稻高产稳产的主要问题之一。文章概述了高温胁迫对水稻生长发育、颖花育性、活性氧积累与膜损伤、光合作用、内源植物激素、产量和品质等的影响,提出水稻高温热害的防御对策,包括选育耐高温品种、合理调整播期、加强稻田水肥管理、合理施用植物生长调节剂等,并对今后水稻高温热害的研究方向作了展望,以期为开展水稻抗热栽培和耐高温水稻品种的选育提供参考。
脱落酸对水稻种子萌发期耐高温胁迫的诱抗效应
DOI:10.7668/hbnxb.20191968
[本文引用: 1]
为了探究高温胁迫下外源脱落酸(Abscisic acid,ABA)对水稻种子萌发和幼芽生长的影响。采用10 μmol/L的ABA溶液对水稻种子浸种24 h,然后置于40℃的高温环境中萌发,设计对照(CK-ABA)、ABA浸种(CK+ABA)、高温处理(HS-ABA)和ABA浸种后施加高温处理(HS+ABA)4种处理方式,研究ABA浸种对高温胁迫下水稻种子萌发、幼芽生长、活性氧(ROS)积累、细胞损伤和相关基因表达的影响。结果表明,高温胁迫显著(PPPOsCATB、OsAPX6、OsFe-SOD和OsCu/Zn-SOD以及细胞死亡抑制基因OsBI1的表达。高温胁迫下,且ABA浸种条件下水稻种子的发芽率、芽长和主根长均与超氧阴离子(O<sub>2</sub><sup>-</sup>)和过氧化氢(H<sub>2</sub>O<sub>2</sub>)含量呈极显著(PPPSalt和OsWsi18的表达,说明ABA信号途径被激活。综上所述,提高下游抗氧化防御能力、抑制ROS过量积累和降低细胞损伤是ABA诱导水稻在种子萌发期适应高温胁迫的一个重要途径。
不同形态氮素吸收利用及其对植物生理代谢影响的综述
DOI:10.13304/j.nykjdb.2021.0909
[本文引用: 2]
对不同形态氮素的吸收利用过程及其对植株生长、抗逆性、品质和安全性的影响,以及外界环境条件对其作用效果的影响进行了综述,发现硝态氮(NO3--N)可促进植株根系伸长及植株对阳离子的吸收;铵态氮(NH4+-N)可缓解盐胁迫及活性氧对植株的伤害,还能提高植株对病害的抵抗能力,但单一施NH4+-N易造成NH4+毒害,如细胞酸度增加、活性氧伤害、细胞壁木质化等。此外,对今后的研究方向进行了展望,以期为农业氮肥的合理施用提供理论依据。
增施氮肥对夏玉米花后高温胁迫下籽粒碳氮代谢的影响
DOI:10.3724/SP.J.1006.2023.33003
[本文引用: 2]
花后高温是影响黄淮海夏玉米籽粒灌浆及产量形成的主要逆境胁迫之一。目前关于增施氮肥缓解灌浆期高温胁迫对小麦、玉米和水稻等作物产量形成的抑制作用已得到证实, 但相关调控途径及其生理机制尚不明确。本研究选用郑单958 (Zhengdan 958, ZD958)和先玉335 (Xianyu 335, XY335) 2个玉米品种为试验材料开展盆栽试验, 设置2个温度处理, 分别为自然环境温度(ambient temperature, CK)和温室增温处理(heat stress, HS); 3个施氮水平, 分别为低施氮量(low nitrogen application rate, LN): 120 kg hm<sup>-2</sup>, 中施氮量(middle nitrogen application rate, MN): 240 kg hm<sup>-2</sup>和高施氮量(high nitrogen application rate, HN): 360 kg hm<sup>-2</sup>, 研究增施氮肥对花后初期高温胁迫下玉米碳氮代谢的影响。结果表明, 与自然温度比, 花后增温(35℃)处理20 d导致ZD958和XY335两个品种的成熟期粒重降低10.6%~19.3%, 但粒重降幅随着施氮量增加而下降, 中施氮量(MN)和高施氮量(HN)下粒重降幅(10.6%~11.2%)小于低施氮量(LN)下粒重降幅(16.2%~19.3%), 说明增施氮肥可以显著提高花后高温胁迫下的玉米粒重。这主要是因为增施氮肥有效缓解了花后初期高温胁迫对玉米籽粒氮代谢的抑制作用, 显著提高了谷氨酰胺合成酶(GS)和谷氨酸合成酶(GOGAT)等氮代谢关键酶活性, 同时维持了碳代谢关键酶蔗糖磷酸合成酶(SPS)和蔗糖合成酶(SS)活性, 促进了籽粒可溶性糖合成增加, 从而保证了较高的籽粒灌浆物质基础。综上所述, 增施氮肥可以缓解玉米花后初期高温胁迫对籽粒碳、氮代谢的抑制, 促进籽粒中同化物积累而增加粒重, 为黄淮海区夏玉米抗逆稳产栽培提供了思路。
盐胁迫下氮素形态对海滨木槿幼苗生长及生理特性的影响
DOI:10.12302/j.issn.1000-2006.202105010
[本文引用: 1]
【目的】通过研究盐胁迫下氮素形态对海滨木槿(Hibiscus hamabo)生长特性和生理指标的影响,探讨不同氮素形态营养供应下海滨木槿耐盐性差异及其机理,为提升盐碱地海滨木槿绿化应用技术提供依据。【方法】采集滨海盐土,设置对照、低、中和高4个盐胁迫处理水平,利用盆栽试验方法研究了不同氮素形态[铵态氮( NH 4 +-N)、硝态氮( NO 3 --N)]和盐分胁迫耦合作用下海滨木槿幼苗的生长特性、光合作用、氮和钾离子(K<sup>+</sup>)含量变化。【结果】经过90 d的胁迫处理,在高盐处理下海滨木槿全部死亡,中盐处理显著降低了其株高、地径,以及茎、叶和总生物量,而低盐处理对其生长没有显著影响。两种形态氮素均有助于提高海滨木槿生长、净光合速率和氮素含量,其中施 NH 4 +-N在对照土壤中有助于提高植物生物量,但降低了K<sup>+</sup>含量。在低盐和中盐胁迫处理下,施 NO 3 --N显著增加了植物根系和总生物量以及K<sup>+</sup>含量。【结论】盐胁迫条件下,增施两种形态氮肥均有利于海滨木槿生物量的增加,且能够在一定程度上提高海滨木槿的耐盐性,不同的是 NO 3 --N能够有效促进根系的生长, NH 4 +-N则对地上部分的生长作用明显。在同一盐浓度水平处理下,与 NH 4 +-N相比, NO 3 --N更有利于缓解盐胁迫对海滨木槿的抑制作用。总体来说,盐胁迫下施 NO 3 --N有利于维持海滨木槿体内养分及离子含量平衡并改善光合功能,从而增强海滨木槿耐盐性。
Rapid determination of tryptophan in beans (Phaseolus vulgaris) by the acid ninhydrin method
高温胁迫下不同NH4+-N与NO3--N配比对红葱生长及品质的影响//中国园艺学会. 2008园艺学进展(第八辑)——中国园艺学会第八届青年学术讨论会暨现代园艺论坛论文集
基于转录组测序花烟草响应盐胁迫活性氧清除相关基因的挖掘
DOI:10.13560/j.cnki.biotech.bull.1985.2020-0241
[本文引用: 1]
为了鉴定参与花烟草盐胁迫响应的活性氧清除相关基因,用200 mmol/L NaCl处理花烟草幼苗,并在处理后12 h采集其幼苗样本,提取总RNA,采用高通量测序技术,进行转录组测序。基于差异表达基因GO及KEGG分析的基础上,对参与其中的活性氧清除基因进行挖掘,利用qRT-PCR的方法验证转录组测序结果。结果表明,盐处理后,花烟草基因表达量变化在2倍以上的基因有7 239个(P<0.01),其中,上调表达基因4 037个,下调表达基因3 162个,将其功能归类于生物过程、细胞组分及分子功能三大类159个GO条目,并显著富集在12条KEGG代谢通路中。同时,在盐胁迫下,花烟草有45个活性氧清除相关基因的表达发生了显著改变,其中,上调表达基因28个,下调表达基因17个。此结果说明,活性氧的清除是花烟草抵御盐胁迫的重要机制之一。
/
| 〈 |
|
〉 |

