作物杂志,2025, 第5期: 165–170 doi: 10.16035/j.issn.1001-7283.2025.05.022

• 生理生化·植物营养·栽培耕作 • 上一篇    下一篇

高温胁迫下铵硝混配营养促进水稻生长的生理机制

彭彬峰1,2(), 陆楚盛1, 尹媛红1, 朱菲菲1,2, 叶群欢1, 潘俊峰1, 刘彦卓1, 胡香玉1, 胡锐1, 李妹娟1, 王昕钰1, 梁开明1(), 傅友强1()   

  1. 1 广东省农业科学院水稻研究所/广东省水稻科学技术重点实验室/农业农村部华南优质稻遗传育种实验室(部省共建)/广东省水稻工程实验室, 510640, 广东广州
    2 仲恺农业工程学院, 510000, 广东广州
  • 收稿日期:2024-07-18 修回日期:2024-09-15 出版日期:2025-10-15 发布日期:2025-10-21
  • 通讯作者: 傅友强,主要从事水稻高产高效栽培理论与养分精准诊断研究,E-mail:fyq040430@163.com;梁开明为共同通信作者,主要从事水稻可持续高产高效研究,E-mail:kaiming-liang@163.com
  • 作者简介:彭彬峰,主要从事水稻高产高效栽培与逆境胁迫研究,E-mail:19832792694@163.com
  • 基金资助:
    国家自然科学基金面上项目(32172109);广东省自然科学基金面上项目(2021A1515010566);广东省农业科学院协同创新中心项目“智慧(数字)农业研究中心建设运行经费项目(XTXM202201)”;广东省水稻科学技术重点实验室(2023B1212060042)

Physiological Mechanism of Ammonium-Nitrate Mixed Nutrition Promoting Rice Growth under High-Temperature Stress

Peng Binfeng1,2(), Lu Chusheng1, Yin Yuanhong1, Zhu Feifei1,2, Ye Qunhuan1, Pan Junfeng1, Liu Yanzhuo1, Hu Xiangyu1, Hu Rui1, Li Meijuan1, Wang Xinyu1, Liang Kaiming1(), Fu Youqiang1()   

  1. 1 Rice Research Institute, Guangdong Academy of Agricultural Sciences / Guangdong Key Laboratory of Science and Technology in Rice / Key Laboratory of Genetics and Breeding of High Quality Rice in Southern China (Co-Construction by Ministry and Province), Ministry of Agriculture and Rural Affairs /Guangdong Rice Engineering Laboratory, Guangzhou 510640, Guangdong, China
    2 Zhongkai University of Agriculture and Engineering, Guangzhou 510000, Guangdong, China
  • Received:2024-07-18 Revised:2024-09-15 Online:2025-10-15 Published:2025-10-21

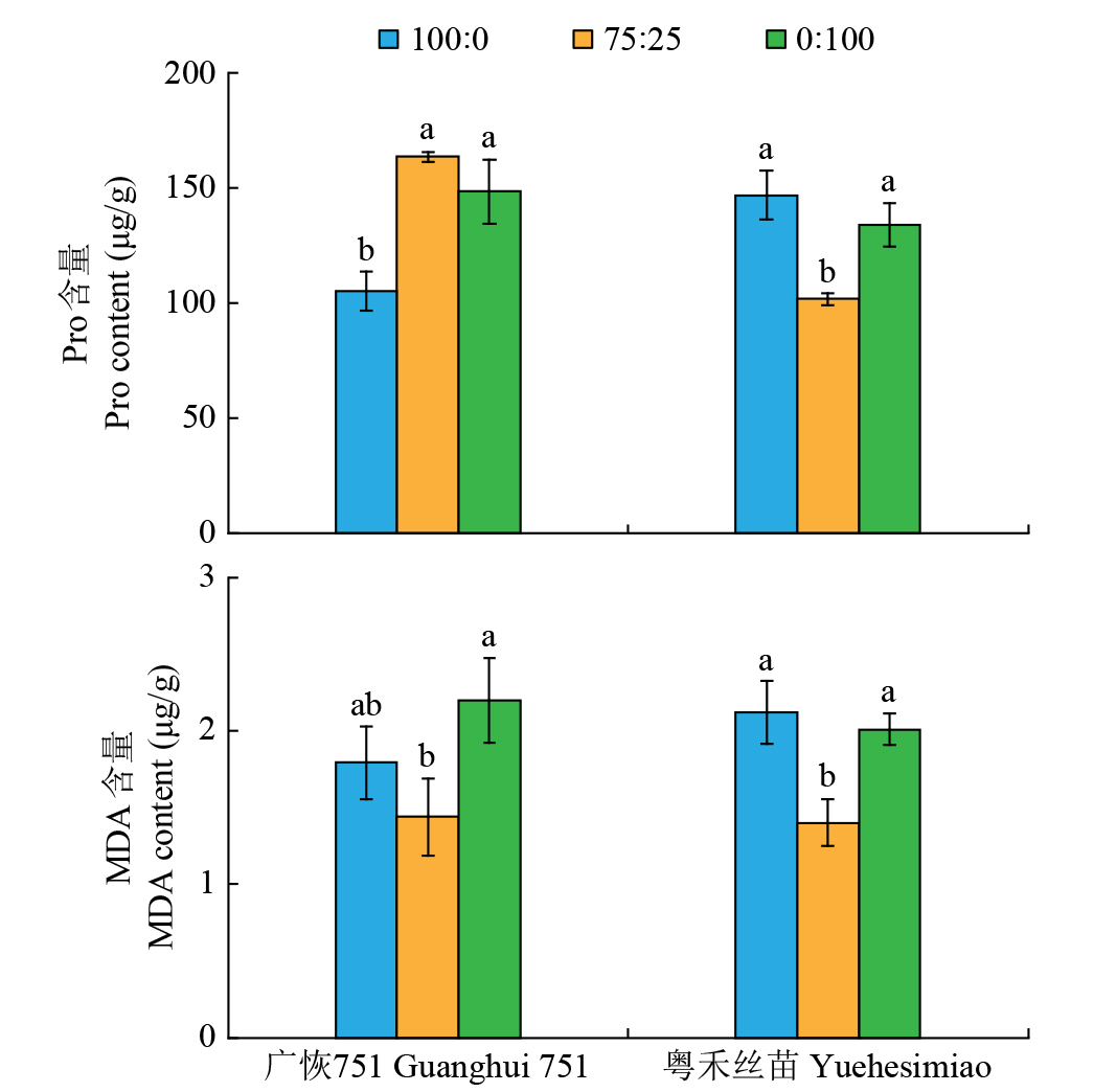
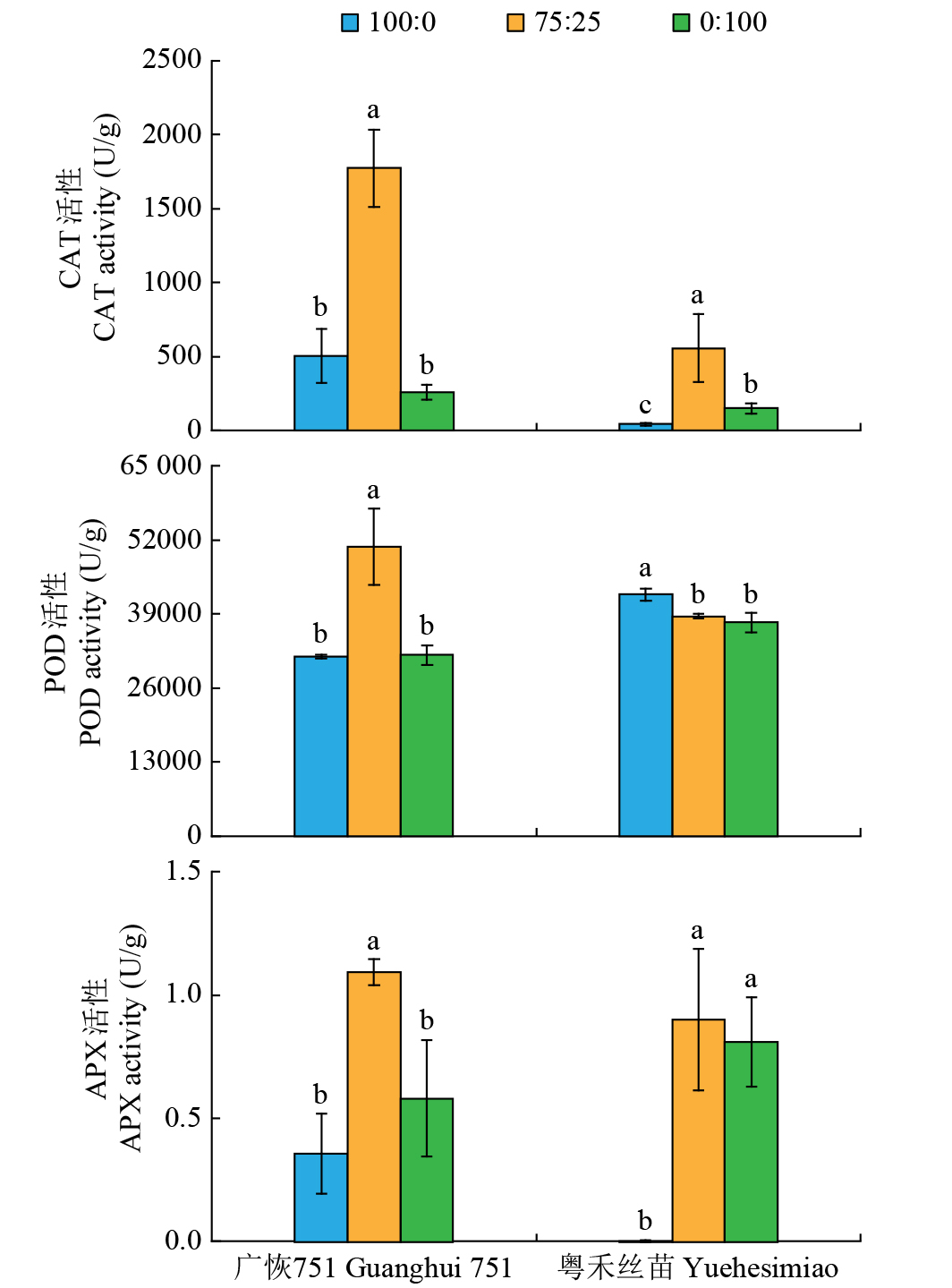
摘要: 以水稻品种“广恢751”和“粤禾丝苗”为试验材料,设置不同铵硝混配营养(100:0、75:25、0:100)处理,分析在高温胁迫条件下(白天平均温度在40~45 ℃,夜晚平均温度在30~35 ℃)不同铵硝混配营养对水稻生物量、根系形态、脯氨酸(Pro)、丙二醛(MDA)以及抗氧化酶活性的影响。结果表明,高温胁迫下,75:25处理的水稻生物量最大,与100:0和0:100处理相比,水稻地上部生物量分别增加了9.94%~16.59%和22.01%~23.98%。水稻的总根长、根表面积和根体积均随着硝态氮的增加而增加,但根直径无显著差异。与100:0处理相比,75:25处理广恢751叶片的过氧化氢酶(CAT)、过氧化物酶(POD)和抗坏血酸过氧化物酶(APX)活性分别增加了250.00%、61.42%和207.00%,Pro含量增加了55.67%。粤禾丝苗叶片的CAT和APX活性显著增加,MDA含量下降了33.84%。上述结果表明,75:25的铵硝混配营养缓解了水稻的高温胁迫,铵硝混配营养主要通过诱导抗氧化酶活性影响Pro或MDA含量,从而缓解水稻的高温胁迫。

关键词: 水稻, 高温胁迫, 铵硝混配营养, 脯氨酸, 丙二醛

Abstract:

Taking rice varieties “Guanghui 751” and “Yuehesimiao” as experimental materials, different ammonium-nitrate mixed nutrition treatments (100:0, 75:25, 0:100) were set up to analyze the effects of different ammonium-nitrate mixed nutrition on rice biomass, root morphology, proline, malondialdehyde and antioxidant enzyme activities under high temperature stress conditions (average daytime temperature of 40-45 ℃ and average nighttime temperature of 30-35 ℃). The results showed that under high temperature stress, the biomass of rice in the 75:25 treatment was the largest, and compared with the 100:0 and 0:100 treatments, the shoot biomass was increased by 9.94%-16.59% and 22.01%-23.98%, respectively. Total root length, root surface area and root volume were increased with the increasing of nitrate nitrogen, but there was no significant difference in root diameter. Compared with the 100:0 treatment, the catalase (CAT), peroxidase (POD) and ascorbate peroxidase (APX) activities of Guanghui 751 under 75:25 treatment were increased by 250.00%, 60.42% and 207.00%, respectively, and the proline content was enhanced by 55.67%. The CAT and APX activities of Yuehesimiao were significantly increased, and the malondialdehyde content was decreased by 33.84%. These results indicated that 75:25 ammonium-nitrate ratio could alleviate the high temperature stress in rice by improving the antioxidant enzyme activity and affecting proline or malondialdehyde contents in rice.

Key words: Rice, High-temperature stress, Ammonium-nitrate mixed nutrition, Proline, Malondialdehyde

图1

处理期间平均温度

表1

不同铵硝混配营养液处理下水稻幼苗的生物量

品种Variety 处理Treatment 根系生物量Root biomass 地上部生物量Shoot biomass 总生物量Total biomass
广恢751 Guanghui 751 100:0 43.53±6.99b 375.57±8.18b 419.10±8.59b
75:25 49.97±0.92b 437.87±5.83a 487.83±3.07a
0:100 65.00±5.96a 394.43±13.67b 459.43±11.02a
粤禾丝苗Yuehesimiao 100:0 49.27±2.85b 404.43±19.14b 453.70±16.68b
75:25 53.93±1.75a 444.63±24.27a 498.57±14.77a
0:100 58.00±2.01a 358.63±11.93b 416.63±8.02b
品种Variety ns ns ns
处理Treatment ** ** **
品种×处理Variety×Treatment * ** **

表2

不同铵硝混配营养对水稻根系形态的影响

品种
Variety
处理
Treatment
总根长
Total root length (cm)
根直径
Root diameter (cm)
根表面积
Root surface area (cm2)
根体积
Root volume (cm3)
广恢751 Guanghui 751 100:0 214.08±40.66b 0.34±0.01a 22.68±3.81b 0.19±0.03b
75:25 248.76±13.10b 0.33±0.00a 25.89±1.26b 0.21±0.01b
0:100 341.99±20.94a 0.34±0.01a 37.01±2.92a 0.32±0.03a
粤禾丝苗Yuehesimiao 100:0 268.86±7.14b 0.32±0.01a 27.27±0.88b 0.22±0.01b
75:25 288.08±20.63ab 0.32±0.01a 29.15±2.48b 0.24±0.02b
0:100 322.52±22.69a 0.33±0.01a 33.55±2.45a 0.28±0.02a
品种Variety * ns ns ns
处理Treatment ** ** ** **
品种×处理Variety×Treatment * * * *

图2

不同铵硝混配营养对水稻幼苗Pro和MDA含量的影响 不同小写字母表示在P < 0.05水平上差异显著。下同。

图3

不同铵硝混配营养处理对水稻叶片抗氧化酶活性的影响

[1] Zhang C, Liu B, Piao S L, et al. Temperature increase reduces global yields of major crops in four independent estimates. Proceedings of the National Academy of Sciences of the United States of America, 2017, 114(35):9326-9331.
[2] 陈慧颖, 马石霞, 郭鹏辉. 热胁迫对植物生理影响的研究进展. 安徽农学通报, 2021, 27(5):11-13.
[3] Kommana M, Reddy D M, Amarnath K, et al. Identification of genomic regions governing moisture and heat stress tolerance employing association mapping in rice (Oryza sativa L.). Molecular Biology Reports, 2022, 50(2):1499-1515.
[4] Liu J P, Sun X J, et al. Suppression of OsMDHAR4 enhances heat tolerance by mediating H2O2-induced stomatal closure in rice plants. Rice, 2018, 11(1):1-12.
[5] 刘进, 崔迪, 余丽琴, 等. 水稻苗期耐热种质资源筛选及QTL定位. 中国水稻科学, 2022, 36(3):259-268.
doi: 10.16819/j.1001-7216.2022
[6] Niu Y, Xiang Y. An overview of biomembrane functions in plant responses to high-temperature stress. Frontiers in Plant Science, 2018, 9:915.
doi: 10.3389/fpls.2018.00915 pmid: 30018629
[7] Bahuguna R N, Jha J, Pal M, et al. Physiological and biochemical characterization of NERICA-L-44: a novel source of heat tolerance at the vegetative and reproductive stages in rice. Physiologia Plantarum, 2015, 154(4):543-59.
[8] Prasanth V V, Babu M S, Basava R K, et al. Trait and marker associations in Oryza nivara and O. rufipogon derived rice lines under two different heat stress conditions Frontiers in Plant Science, 2017, 8:1819.
doi: 10.3389/fpls.2017.01819 pmid: 29123535
[9] 文道平, 角述峰, 杨航. 高温胁迫对水稻产量和品质的影响研究. 北方水稻, 2024, 54(2):76-78.
[10] 季平, 刘经威, 王欣婷, 等. 不同水稻品种苗期叶片生理特性对高温胁迫的响应. 西北农林科技大学学报(自然科学版), 2024, 52(1):36-48.
[11] 尤翠翠, 贺一哲, 徐鹏, 等. 高温胁迫对水稻生长发育的伤害效应及其防御对策. 浙江农业学报, 2023, 35(1):10-22.
doi: 10.3969/j.issn.1004-1524.2023.01.02
[12] 解玉玲. 高温胁迫对植物生理影响的研究进展. 吉林农业, 2019(8):107-108.
[13] 杨雲雲, 陈鑫, 陈启洲, 等. 脱落酸对水稻种子萌发期耐高温胁迫的诱抗效应. 华北农学报, 2021, 36(3):185-194.
doi: 10.7668/hbnxb.20191968
[14] 李玉静, 冯雨晴, 赵园园, 等. 不同形态氮素吸收利用及其对植物生理代谢影响的综述. 中国农业科技导报, 2023, 25(2):128-139.
doi: 10.13304/j.nykjdb.2021.0909
[15] 王瑞, 李向岭, 郭栋, 等. 增施氮肥对夏玉米花后高温胁迫下籽粒碳氮代谢的影响. 作物学报, 2023, 49(12):3342-3351.
doi: 10.3724/SP.J.1006.2023.33003
[16] 任秋韵, 田云录, 刘晓岚, 等. 水稻耐低氮基因OsTPP6的鉴定及功能分析. 南京农业大学学报, 2022, 45(3):431-441.
[17] 芦治国, 华建峰, 殷云龙, 等. 盐胁迫下氮素形态对海滨木槿幼苗生长及生理特性的影响. 南京林业大学学报(自然科学版), 2022, 46(3):91-98.
doi: 10.12302/j.issn.1000-2006.202105010
[18] 王华圣, 杨海燕, 吴文龙, 等. 营养液浓度对盆栽蓝莓生长结果及果实品质的影响. 中国南方果树, 2022, 51(6):188-192.
[19] Sodek L, Vecchia D T P, Lima P G L M. Rapid determination of tryptophan in beans (Phaseolus vulgaris) by the acid ninhydrin method. Journal of Agricultural and Food Chemistry, 2002, 23 (6):1147-1150.
[20] 陈果. 溶剂提取—微生物降解对石油烃污染土壤的修复作用研究. 重庆:重庆工商大学, 2019.
[21] 陈菲. 盐碱胁迫对文冠果幼苗生理生化特征的影响. 大连:大连工业大学, 2017.
[22] 孙群. 植物生理学研究技术. 杨凌: 西北农林科技大学出版社, 2006.
[23] 段英华, 张亚丽, 王松伟, 等. 铵硝比(NH4+/NO3-)对不同氮素利用效率水稻的生理效应. 南京农业大学学报, 2007, 30(3):73-77.
[24] 姜财勇, 孙光闻, 刘厚诚, 等.高温胁迫下不同NH4+-N与NO3--N配比对红葱生长及品质的影响//中国园艺学会. 2008园艺学进展(第八辑)——中国园艺学会第八届青年学术讨论会暨现代园艺论坛论文集. 华南农业大学园艺学院南方蔬菜生理研究中心, 2008:817-820.
[25] 江建成, 廖菊阳, 曹受金, 等. 高温胁迫对三种杜鹃生长及生理的影响. 北方园艺, 2023(18):54-62.
[26] 鲁琳, 杨尚谕, 刘维东, 等. 基于转录组测序花烟草响应盐胁迫活性氧清除相关基因的挖掘. 生物技术通报, 2020, 36(12):42-53.
doi: 10.13560/j.cnki.biotech.bull.1985.2020-0241
[27] 杜秀敏, 殷文璇, 赵彦修, 等. 植物中活性氧的产生及清除机制. 生物工程学报, 2001, 17(2):121-125.
[28] 刘子禄. 外源油菜素内酯对高温胁迫下水稻种子萌发及生长特性的生理调控机制. 长沙:湖南农业大学, 2021.
[29] 周振玲. 耐盐性不同水稻品种对盐胁迫响应的机制与调控. 扬州:扬州大学, 2023.
[1] 滕文, 叶凡, 周舟, 王屿乐, 刘立军. 小麦和油菜秸秆还田处理对盐胁迫下水稻产量和品质的影响[J]. 作物杂志, 2025, (5): 11–18
[2] 植藓闳, 纪子贤, 许镇旺, 谭恩, 梁日深, 马帅鹏, 唐辉武. 水稻CYP450家族基因Os78A5的表达分析[J]. 作物杂志, 2025, (5): 135–141
[3] 曾嘉楠, 叶晓青, 蔡民爵, 周诚, 何澎, 陈壮壮, 陈雨峰, 曹良军, 陈建军, 王媛媛. 外源物质对高温胁迫下烤烟上部叶光合及抗氧化能力的影响[J]. 作物杂志, 2025, (5): 247–259
[4] 都晗萌, 陈雨琼, 刘若彤, 陈英龙, 戴其根, 张洪程, 廖萍. 盐胁迫下喷施矮壮素和施用石膏对水稻产量及倒伏特性的影响[J]. 作物杂志, 2025, (5): 29–34
[5] 杨林生, 习敏, 涂德宝, 李忠, 周永进, 许有尊, 孙雪原, 吴文革. 长江三角洲地区主要类型水稻生产资源投入及碳、氮足迹评估[J]. 作物杂志, 2025, (4): 150–156
[6] 陶祖豪, 王慰亲, 郑华斌, 向军, 唐启源. 水肥及化控对晚稻有序机抛秧秧苗素质的影响[J]. 作物杂志, 2025, (4): 224–230
[7] 徐洪高, 徐萍, 罗文秀, 陆尤, 涂振华, 张萱, 陈艺春, 郑国伟, 杨颖翠, 陈佳. 热驯化对高温胁迫下灯盏花生理生化特性的影响[J]. 作物杂志, 2025, (3): 102–107
[8] 赫兵, 王晓航, 李超, 罗立强, 张强, 韩康顺, 陈殿元, 严光彬, 刘振蛟. 1987-2022年吉林省水稻审定品种数据分析[J]. 作物杂志, 2025, (3): 16–22
[9] 曹正男, 赵振东, 胡博, 于涵, 宁晓海, 赵泽强, 曹立勇. 氮肥与促腐菌肥配施对寒地水稻秸秆还田腐解效果及产量的影响[J]. 作物杂志, 2025, (3): 172–177
[10] 李虎, 黄秋要, 吴子帅, 刘广林, 陈传华, 罗群昌, 朱其南. 种植密度和施氮量对优质常规稻桂育12产量和米质的影响[J]. 作物杂志, 2025, (3): 195–201
[11] 姬景红, 刘双全, 马星竹, 郝小雨, 郑雨, 赵月, 王晓军, 匡恩俊. 控释尿素对寒地水稻农艺性状、产量及氮肥利用率的影响[J]. 作物杂志, 2025, (2): 149–154
[12] 金丹丹, 隋世江, 陈玥, 李波, 曲航, 宫亮. 秸秆还田下氮肥减量对辽河平原水稻产量及氮素利用的影响[J]. 作物杂志, 2025, (2): 172–179
[13] 伍露, 张皓, 杨霏云, 郭尔静, 斯林林, 曹凯, 程陈. WOFOST模型对江淮地区水稻生长发育模拟的适应性评价[J]. 作物杂志, 2025, (2): 215–221
[14] 江素珍, 许超, 王中元, 郑沈, 陈建国, 朱捍华, 黄道友, 张泉, 朱奇宏. 海泡石和生物炭对水稻镉和砷吸收积累的影响[J]. 作物杂志, 2025, (2): 241–248
[15] 张家智, 赵羽涵, 丁俊杰, 姚亮亮, 邱磊, 张茂明, 王自杰, 高雪冬, 黄成亮, 崔士泽, 杨晓贺. “双免密苗”技术对寒地水稻秧苗素质及酶活性的影响[J]. 作物杂志, 2025, (2): 109–114
Viewed
Full text


Abstract

Cited

  Shared   
  Discussed   
No Suggested Reading articles found!