作物杂志,2025, 第5期: 209–220 doi: 10.16035/j.issn.1001-7283.2025.05.028

• 生理生化·植物营养·栽培耕作 • 上一篇    下一篇

苦荞萌芽期镉耐受性及对幼苗生理特性的影响

杜含梅1(), 谭露1, 李声春1, 王清海1, 徐洲1, 吴丹丹2, 王安虎1()   

  1. 1 西昌学院攀西特色作物改良四川省重点实验室, 615000, 四川西昌
    2 四川农业大学小麦研究所, 611134, 四川成都
  • 收稿日期:2024-03-05 修回日期:2024-05-15 出版日期:2025-10-15 发布日期:2025-10-21
  • 通讯作者: 王安虎,主要从事作物栽培与耕作研究,E-mail:13795660264@163.com
  • 作者简介:杜含梅,主要从事植物抗逆及相关基因功能研究,E-mail:duhanmei1027@163.com
  • 基金资助:
    厅州共建攀西特色作物研究与利用四川省重点实验室校内发展基金项目(SZ21ZZ05);凉山州科技计划项目(22ZDYF0158);四川省科技厅项目(2023YFN0019);四川省农业农村厅项目(2019scyz02)

Cadmium Tolerance of Tartary Buckwheat during Germination Stage and Its Effects on Physiological Characteristics of Seedlings

Du Hanmei1(), Tan Lu1, Li Shengchun1, Wang Qinghai1, Xu Zhou1, Wu Dandan2, Wang Anhu1()   

  1. 1 Panxi Crop Improvement Key Laboratory of Sichuan Province, Xichang University, Xichang 615000, Sichuan, China
    2 Triticeae Research Institute, Sichuan Agricultural University, Chengdu 611134, Sichuan, China
  • Received:2024-03-05 Revised:2024-05-15 Online:2025-10-15 Published:2025-10-21

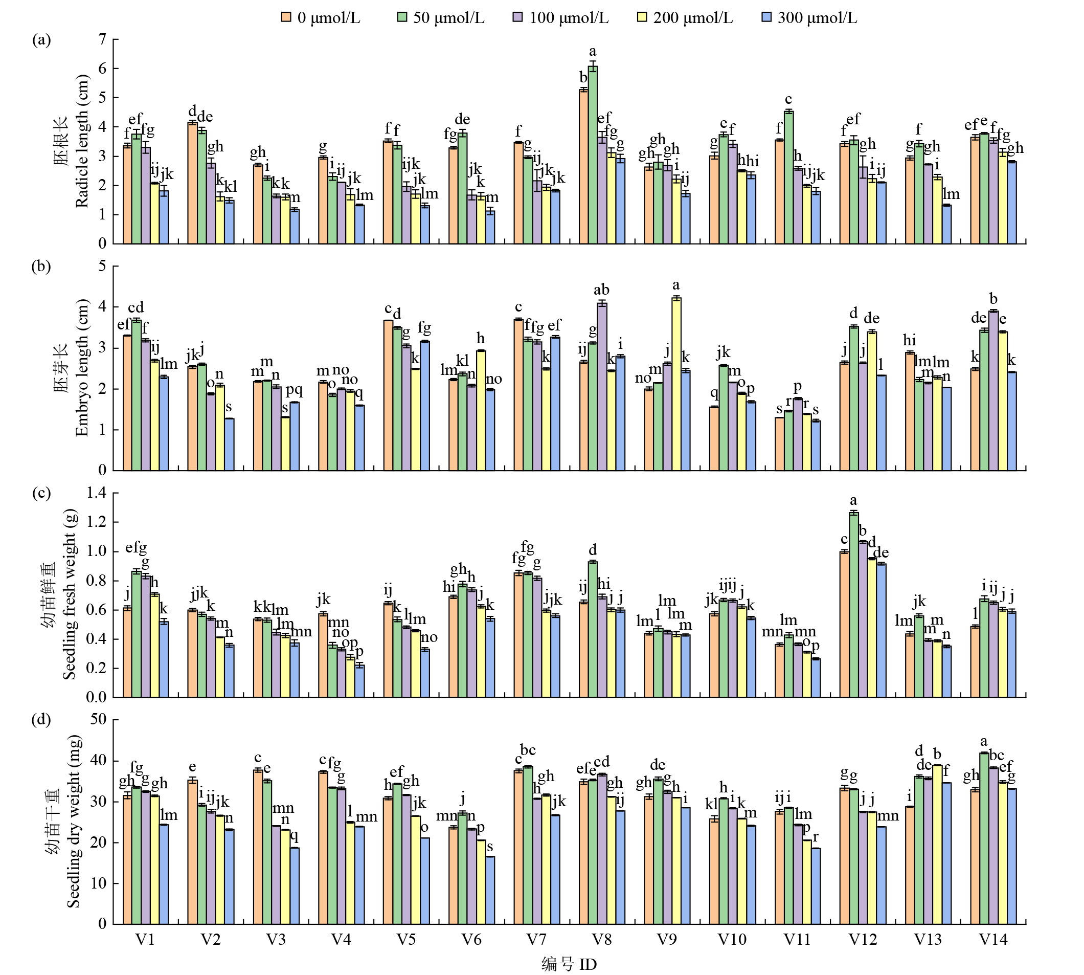
摘要: 为探究镉胁迫对苦荞种子萌发和幼苗生理特性的影响,设置了0、50、100、200和300 μmol/L 5个CdCl2处理浓度,分析其对14份苦荞种质种子萌发、幼苗生理特性及其体内镉积累的影响。结果发现,不同浓度镉胁迫对苦荞的影响存在差异,随镉浓度增加,多数苦荞种质的发芽势、发芽率、发芽指数和活力指数呈下降趋势,高浓度(300 μmol/L)镉胁迫对种子萌发及幼苗生长均有抑制作用。综合评价分析发现,所有材料被分为3类,其中有6份材料为耐镉型,6份镉敏感型和2份中间型;其中,V14的镉耐受性最强,V4的镉耐受性最弱;根系和地上部分的镉积累随镉浓度的增加而增加,根系中镉离子的积累量远高于地上部分;镉胁迫将导致苦荞种子产生氧化应激,丙二醛和超氧阴离子含量随镉浓度的增加而增加,超氧化物歧化酶、过氧化物酶、过氧化氢酶和抗坏血酸过氧化物酶的活性则表现出先增加后降低的趋势,且在耐镉型苦荞种质中这些酶活性比镉敏感型种质高。

关键词: 镉胁迫, 苦荞, 种子萌发, 生理特性, 镉积累

Abstract:

To explore the effects of Cd stress on the germination of tartary buckwheat seeds and the physiological characteristics of seedlings, five CdCl2 treatment concentrations of 0, 50, 100, 200 and 300 μmol/L were set up to analyze their effects on seed germination, physiological characteristics of seedlings and cadmium accumulation of 14 tartary buckwheat germplasms. The results showed that the effects of different concentrations of Cd stress varied among different tartary buckwheat germplasms. The germination potential (GP), germination rate (GR), germination index (GI) and vigour index (VI) of most germplasms decreased with the increase of Cd concentration. In addition, seed germination and seedling growth were inhibited at a high concentration of Cd stress (300 μmol/L). Comprehensive evaluation analysis found that all materials were divided into three groups, including six Cd-tolerant materials, six Cd-sensitive materials and two intermediate materials. Among them, V14 had the highest resistance and V4 had the lowest resistance to Cd stress. Moreover, the Cd content in roots and shoots increased with the increase of Cd concentration, while the accumulation of Cd in roots was higher than that in shoots. Besides, Cd toxicity caused oxidative stress in tartary buckwheat, and the contents of malondialdehyde (MDA) and superoxide anion (O2-. ) increased with the increase of Cd concentration. The activities of SOD, POD, CAT and APX also appeared a similar trend of initial increase followed by a decrease. Moreover, these enzyme activities were higher in Cd-tolerant tartary buckwheat germplasms than those in Cd-sensitive germplasms.

Key words: Cadmium stress, Tartary buckwheat, Seed germination, Physiological characteristic, Cd accumulation

表1

供试材料

编号
ID
材料
Material
来源
Origin
V1 九江苦荞 江西吉安市农业科学研究所
V2 西荞3号 西昌学院
V3 西荞8号 西昌学院
V4 川荞2号 四川西昌农业科学研究所高山作物研究站
V5 迪苦1号 云南迪庆州农业科学研究所
V6 定苦1号 甘肃定西市农业科学研究院
V7 黔苦5号 贵州威宁县农业科学研究所
V8 酉苦1号 重庆酉阳县农业技术推广总站
V9 川荞1号 四川昭觉农业科学研究所
V10 四川盐源农家种1 四川凉山州盐源县本邦营村
V11 四川冕宁农家种 四川凉山州冕宁县拖乌乡
V12 米荞1号 西昌学院、成都大学
V13 西荞9号 西昌学院
V14 四川盐源农家种2 四川凉山州盐源县白乌镇

表2

镉胁迫对苦荞种子萌发的影响

编号
ID
镉浓度
Cd concentration (μmol/L)
发芽率
Germination rate (%)
发芽势
Germination potential (%)
发芽指数
Germination index
活力指数
Vigor index
V1 0 94.44±5.56a 70.00±3.06ab 7.97±1.17ab 53.09±17.97ab
50 92.22±6.19a 67.78±4.66ab 8.80±2.74a 65.56±11.84a
100 67.78±1.11b 63.33±3.33b 7.67±1.85ab 49.79±3.16ab
200 65.67±3.33b 72.22±1.11a 7.98±3.11ab 38.01±16.64b
300 44.67±11.71c 71.11±3.56a 7.51±2.25b 30.83±12.13bc
V2 0 86.67±6.94a 56.67±3.68a 19.38±5.27a 129.59±9.08a
50 82.22±8.68ab 44.44±6.23b 16.71±1.94ab 108.49±28.62ab
100 61.11±10.67b 52.22±3.19ab 16.07±2.53b 74.54±7.48b
200 57.89±7.78c 58.89±10.60a 19.58±2.52a 72.59±19.73b
300 18.00±6.78d 44.44±0.51b 17.25±2.65ab 47.68±5.50c
V3 0 72.72±4.97a 76.48±3.99a 18.52±2.21a 90.50±12.13a
50 66.67±2.55a 78.89±4.00a 18.19±0.24a 81.04±7.70a
100 40.00±12.83b 74.44±2.43a 14.95±2.03bc 55.17±4.50b
200 39.00±5.98b 84.44±12.37a 15.83±2.71b 46.02±14.53b
300 19.11±2.08c 76.67±4.04a 17.99±2.99ab 51.06±12.05b
V4 0 74.19±12.69a 33.21±5.25a 7.60±2.61a 38.91±6.93a
50 61.31±3.84b 20.87±3.65b 7.20±3.89a 29.93±3.33ab
100 30.66±5.75c 31.11±2.36a 4.49±3.11b 18.42±6.38b
200 15.11±2.71d 25.00±6.80ab 6.79±3.43a 24.68±8.70b
300 10.57±0.96d 18.33±5.61b 4.97±3.37ab 14.50±4.08b
V5 0 92.22±4.01a 30.00±1.77b 18.34±0.70a 132.00±8.78a
50 87.78±5.88a 43.33±4.40a 16.26±0.35ab 111.65±7.19a
100 61.11±15.56ab 33.33±3.09b 15.73±2.06b 78.87±3.34b
200 51.22±4.44b 42.50±5.42a 17.96±0.37a 75.19±12.33b
300 29.11±5.44c 36.67±4.67ab 17.57±1.49a 78.67±1.58b
V6 0 94.44±5.56a 85.56±2.91a 12.24±6.26a 67.56±10.10a
50 92.22±4.84a 84.44±5.05a 12.03±2.40a 74.04±4.50a
100 71.11±5.88ab 80.00±2.33a 12.67±1.54a 47.56±5.92b
200 67.89±4.84b 83.33±8.82a 9.93±1.08ab 45.25±32.04b
300 28.00±8.36c 84.44±4.17a 11.19±3.01a 34.75±32.10bc
V7 0 73.33±11.55a 42.22±1.80b 9.83±0.66a 70.51±25.82a
50 74.44±9.49a 64.44±6.38a 8.03±0.45ab 49.59±8.12ab
100 52.22±12.52ab 43.33±1.92ab 7.62±0.60b 40.54±12.51b
200 44.56±8.68b 43.33±6.94ab 8.98±0.34a 39.69±12.52b
300 22.44±9.49b 38.89±4.07b 9.27±0.49a 47.20±9.34ab
V8 0 77.78±8.01a 44.44±3.24b 9.93±0.71ab 78.82±2.79ab
50 82.22±8.01a 66.67±7.83ab 10.05±0.43a 92.50±11.36a
100 55.56±13.10ab 55.56±3.13b 9.93±1.49ab 76.87±6.26ab
200 49.00±12.02b 76.67±7.70a 11.12±0.37a 61.89±16.10b
300 28.00±19.53b 78.89±5.32a 10.73±1.69a 61.31±13.60b
V9 0 82.22±6.19ab 46.67±3.86a 11.74±1.37b 54.44±3.76b
50 90.00±3.33a 56.67±6.21a 12.46±0.44ab 61.65±24.60b
100 68.89±2.22b 52.22±2.51a 13.46±0.72ab 71.43±11.81ab
200 56.78±6.76b 51.11±6.19a 15.00±1.82a 96.53±17.16a
300 31.33±1.82c 51.11±4.53a 15.78±1.68a 65.85±4.71b
V10 0 98.89±1.11a 46.67±1.02a 8.45±1.39ab 38.67±4.43b
50 97.78±1.11a 46.67±9.77ab 9.56±2.97a 60.42±3.88a
100 76.67±3.33b 33.33±2.46b 10.40±2.00a 58.00±3.58a
200 76.78±2.22b 38.89±1.11b 8.13±0.87b 35.74±4.16b
300 56.89±1.11c 41.11±3.56ab 9.88±1.24a 39.87±4.42b
V11 0 88.89±6.76a 55.56±4.26a 3.75±1.16ab 18.17±5.90a
50 84.44±2.22a 66.67±6.36a 3.86±0.44ab 23.15±5.46a
100 62.22±4.01b 58.89±3.67a 3.03±0.58b 13.14±5.24ab
200 63.44±3.56b 62.22±8.69a 5.20±0.62a 17.58±9.65a
300 31.33±2.94c 64.44±5.67a 3.56±0.74ab 10.75±2.03b
V12 0 93.33±3.33a 92.22±2.22a 28.07±1.57a 170.16±28.97a
50 91.11±5.88a 96.67±0.80a 27.00±0.27a 191.16±5.56a
100 70.00±10.00ab 95.56±13.67a 28.89±0.59a 151.76±52.80ab
200 60.11±11.67b 91.11±5.88a 26.75±1.43a 150.69±25.62ab
300 45.78±8.89b 94.44±1.84a 27.37±0.14a 121.16±37.15b
V13 0 82.61±4.84a 33.33±2.57b 6.98±0.60ab 40.60±14.35a
50 70.64±9.32b 51.11±6.38a 8.32±0.59a 47.08±8.63a
100 35.92±2.53c 30.00±1.92b 6.50±0.41b 31.67±7.96ab
200 22.33±4.27d 47.78±1.11a 7.22±0.62ab 32.97±4.17ab
300 12.73±0.58e 36.67±5.29ab 7.90±1.65a 26.52±7.88b
V14 0 86.67±10.00a 6.67±0.59b 12.67±4.22ab 77.83±6.30b
50 86.67±10.00a 17.78±4.59a 12.78±3.07ab 92.17±6.43ab
100 66.67±10.00ab 10.00±1.92ab 14.30±1.42a 106.37±3.32a
200 63.44±12.22ab 11.11±4.01ab 17.09±4.83a 111.55±2.96a
300 39.11±9.09b 12.22±2.69ab 14.99±2.00a 78.36±2.73b

图1

不同浓度镉胁迫对苦荞幼苗生长的影响 不同小写字母表示差异显著(P < 0.05)。下同。

表3

14份苦荞种质的耐镉指数

编号ID ARGR ARGP ARGI ARVI ARRL AREL ARFW ARDW
V1 0.716 0.980 1.003 0.867 0.816 0.896 1.194 0.966
V2 0.632 0.882 0.898 0.585 0.588 0.774 0.784 0.756
V3 0.566 1.028 0.904 0.644 0.615 0.829 0.829 0.669
V4 0.396 0.717 0.771 0.562 0.628 0.852 0.517 0.775
V5 0.621 1.299 0.920 0.652 0.592 0.830 0.697 0.922
V6 0.686 0.971 0.936 0.746 0.624 1.050 0.972 0.923
V7 0.660 1.125 0.862 0.628 0.640 0.819 0.827 0.850
V8 0.690 1.563 1.053 0.928 0.746 1.174 1.077 0.940
V9 0.751 1.131 1.207 1.357 0.894 1.430 1.012 1.021
V10 0.779 0.857 1.124 1.254 0.995 1.332 1.089 1.057
V11 0.679 1.135 1.043 0.889 0.768 1.126 0.948 0.835
V12 0.715 1.024 0.980 0.903 0.768 1.125 1.051 0.839
V13 0.429 1.242 1.073 0.851 0.832 0.753 0.970 1.261
V14 0.738 1.916 1.167 1.248 0.909 1.319 1.296 1.124
最大值Maximum 0.779 1.916 1.207 1.357 0.995 1.430 1.296 1.261
最小值Minimum 0.396 0.717 0.771 0.562 0.588 0.753 0.517 0.669
平均值Average 0.647 1.134 0.996 0.865 0.744 1.022 0.947 0.924
标准差Standard deviation 0.114 0.306 0.123 0.260 0.133 0.230 0.203 0.157

表4

耐镉指数的主成分分析

指标Index PC1 PC2 PC3 PC4
ARGR 0.29 -0.58 0.31 0.33
ARGP 0.24 0.41 0.77 -0.32
ARGI 0.41 0.09 -0.07 -0.10
ARVI 0.41 -0.08 -0.20 -0.25
ARRL 0.39 0.07 -0.40 0.08
AREL 0.36 -0.35 -0.05 -0.54
ARFW 0.38 -0.01 0.22 0.62
ARDW 0.30 0.60 -0.23 0.20
特征值Eigenvalue 5.40 1.10 0.79 0.40
贡献率Contribution ratio (%) 67.49 13.72 9.87 4.94
累计贡献率
Accumulated contribution rate (%)
67.49
81.22
91.09
96.03

表5

苦荞种质萌发期的综合指标、隶属函数值、权重、D值和排序

编号
ID
综合指标Comprehensive index 隶属函数值Membership function value D
D-value
排序
Ranking
F1 F2 F3 F4 μ1 μ2 μ3 μ4
V1 0.64 -0.17 -0.19 1.50 0.57 0.20 0.47 1.00 0.54 6
V2 -2.47 -0.59 0.19 0.34 0.18 0.10 0.60 0.53 0.23 13
V3 -2.33 -0.47 0.41 -0.15 0.20 0.13 0.68 0.34 0.24 12
V4 -3.89 0.30 -1.23 -0.99 0.00 0.32 0.12 0.00 0.06 14
V5 -1.74 0.58 0.78 -0.39 0.27 0.39 0.80 0.24 0.34 10
V6 -0.68 -0.53 0.21 0.38 0.41 0.11 0.61 0.55 0.39 9
V7 -1.78 -0.13 0.61 0.33 0.27 0.21 0.75 0.53 0.32 11
V8 1.25 0.20 1.19 -0.37 0.65 0.29 0.95 0.25 0.61 4
V9 3.12 -0.70 -0.83 -0.88 0.89 0.07 0.25 0.04 0.66 2
V10 2.90 -0.90 -1.57 0.22 0.86 0.02 0.00 0.49 0.63 3
V11 0.34 -0.62 0.08 -0.31 0.54 0.09 0.57 0.27 0.46 7
V12 0.36 -0.99 0.03 0.27 0.54 0.00 0.55 0.51 0.46 8
V13 0.29 3.06 -1.03 0.39 0.53 1.00 0.18 0.55 0.56 5
V14 4.00 0.97 1.34 -0.34 1.00 0.48 1.00 0.26 0.88 1
权重Weight 0.70 0.14 0.10 0.05

图2

14份苦荞种质聚类分析

图3

不同浓度镉胁迫对苦荞幼苗镉积累的影响

图4

不同浓度镉胁迫对苦荞幼苗引发的氧化应激分析

图5

不同浓度镉胁迫对苦荞幼苗抗氧化酶活性的影响

[1] Haider F U, Cai L Q, Coulter J A, et al. Cadmium toxicity in plants: Impacts and remediation strategies. Ecotoxicology and Environmental Safety, 2021, 211:111887.
[2] 周明江. 中国耕地重金属污染现状及其人为污染源浅析. 中国土壤与肥料, 2020(2):83-92.
[3] Duan Q N, Lee J C, Liu Y S, et al. Distribution of heavy metal pollution in surface soil samples in China: a graphical review. Bulletin of Environmental Contamination and Toxicology, 2016, 97(3):303-309.
doi: 10.1007/s00128-016-1857-9 pmid: 27342589
[4] 徐建明, 孟俊, 刘杏梅, 等. 我国农田土壤重金属污染防止与粮食安全保障. 中国科学院院刊, 2018, 33(2):153-159.
[5] Rizwan M, Ali S, Abbas T, et al. Cadmium minimization in wheat: a critical review. Ecotoxicology and Environmental Safety, 2016, 130:43-53.
doi: 10.1016/j.ecoenv.2016.04.001 pmid: 27062345
[6] Abbas T, Rizwan M, Ali S, et al. Effect of biochar on alleviation of cadmium toxicity in wheat (Triticum aestivum L.) grown on Cd-contaminated saline soil. Environmental Science and Pollution Research, 2017, 25(26):25668-25680.
[7] Hou L L, Tong T, Tian B, et al. Crop yield and quality under cadmium stress. Amsterdam:Elsevier, 2019.
[8] 陈庆富. 荞麦属植物科学. 北京: 科学出版社, 2012.
[9] 范昱, 丁梦琦, 张凯旋, 等. 荞麦种质资源概况. 植物遗传资源学报, 2019, 20(4):813-828.
[10] 曾思燕, 于昊辰, 马静, 等. 中国耕地表层土壤重金属污染状况评判及休耕空间权衡. 土壤学报, 2022, 59(4):1036-1047.
[11] Lu Y, Wang Q F, Li J, et al. Effects of exogenous sulfur on alleviating cadmium stress in tartary buckwheat. Scientific Reports, 2019, 9(1):7397.
doi: 10.1038/s41598-019-43901-4 pmid: 31089197
[12] 周娅, 杨定清, 谢永红, 等. 黑苦荞保健茶中重金属的分析评价. 广东微量元素科学, 2010, 17(9):43-46.
[13] 毛旭, 付天岭, 何腾兵, 等. 苦荞低镉积累品种筛选及富集转运特征分析. 地球与环境, 2022, 50(1):103-109.
[14] 杨立志, 贺丽, 何旭, 等. 苦荞茶对水溶液中铅、铜、镉、锌、铬离子吸附作用的研究. 光谱学与光谱分析, 2019, 39(1):269-277.
[15] Khan S, Cao Q, Zheng Y M, et al. Health risks of heavy metals in contaminated soils and food crops irrigated with wastewater in Beijing,China. Environmental Pollution, 2008, 152(3):686-692.
doi: 10.1016/j.envpol.2007.06.056 pmid: 17720286
[16] Bhardwaj J K, Bikal P, Sachdeva S N. Cadmium as an ovarian toxicant: a review. Journal of Applied Toxicology, 2024, 44(1/2):129-147.
[17] Abedin M J, Meharg A A. Relative toxicity of arsenite and arsenate on germination and early seedling growth of rice (Oryza sativa L.). Plant and Soil, 2002, 243(1):57-66.
[18] Anwar S, Shafiq F, Nisa Z U, et al. Effect of cadmium stress on seed germination, plant growth and hydrolyzing enzymes activities in mungbean seedlings. Journal of Seed Science, 2021, 43:e202143042.
[19] 韩俊艳, 王敬言, 刘诗琦, 等. 重金属镉胁迫对大豆种子萌发与幼苗生长的影响. 沈阳大学学报(自然科学版), 2023, 35 (2):108-115.
[20] 杨柳青, 王宇飞, 肖华, 等. 镉对荞麦种子萌发的影响. 内蒙古民族大学学报(自然科学版), 2015, 30(4):314-316.
[21] 吴让啸, 朱珠, 常耀, 等. 镉胁迫对6种菊科花卉种子萌发及幼苗生长的影响. 分子植物育种, 2020, 18(19):6483-6490.
[22] 胡冰钰, 方志刚, 娄来清, 等. 14份柳枝稷种质资源苗期耐镉性综合评价. 草业学报, 2019, 28(1):27-36.
doi: 10.11686/cyxb2018101
[23] 张志良, 瞿伟菁, 李小方. 植物生理学实验指导. 北京: 高等教育出版社, 2009.
[24] Vijayaragavan M, Prabhahar C, Sureshkumar J, et al. Toxic effect of cadmium on seed germination, growth and biochemical contents of cowpea (Vigna unguiculata L.) plants. International Multidisciplinary Research Journal, 2011, 1(5):1-6.
[25] Kuriakose S V, Prasad M N V. Cadmium stress affects seed germination and seedling growth in Sorghum bicolor (L.) Moench by changing the activities of hydrolyzing enzymes. Plant Growth Regulation, 2008, 54(2):143-156.
[26] Huybrechts M, Cuypers A, Deckers J, et al. Cadmium and plant development: an agony from seed to seed. International Journal of Molecular Sciences, 2019, 20(16):3971.
[27] Baruah N, Mondal S C, Farooq M, et al. Influence of heavy metals on seed germination and seedling growth of wheat, pea, and tomato. Water, Air, and Soil Pollution, 2019, 230(12):273.
[28] 张珂, 高楠, 张凌基, 等. 镉对不同品种小麦种子萌发及幼苗生长的影响. 轻工学报, 2022, 37(1):118-126.
[29] Tamás L, Mistrík I, Zelinová V. Heavy metal-induced reactive oxygen species and cell death in barley root tip. Environmental and Experimental Botany, 2017, 140:34-40.
[30] Cheng W, Zhang G P, Yao H G, et al. Genotypic difference of germination and early seedling growth in response to Cd stress and its relation to Cd accumulation. Journal of Plant Nutrition, 2008, 31(4):702-715.
[31] Arain J A. 水稻镉敏感和耐性品种筛选及其在供铁下镉积累、分布的差异. 武汉:华中农业大学, 2019.
[32] 王迪华, 王改玲, 樊存虎. 镉胁迫对小白菜种子萌发、生理特性及其镉积累的影响. 中国瓜菜, 2021, 34(9):80-83.
[33] 王博, 田杰, 龙林, 等. 重金属胁迫对白三叶种子萌发的影响. 种子, 2019, 38(2):20-24.
[34] Tang L, Luo W J, Tian S K, et al. Genotypic differences in cadmium and nitrate co-accumulation among the Chinese cabbage genotypes under field conditions. Scientia Horticulturae, 2016, 201:92-100.
[35] 杨云, 王晨骄, 郭嘉航, 等. 镉胁迫对鬼针草和狼尾草种子萌发及幼苗生长的影响. 云南师范大学学报(自然科学版), 2022, 42(1):58-63.
[36] Fatarna L, Boutekrabt A, Arabi Y, et al. Impact of cadmium,zinc and lead on seed germination of Atriplex halimus L. (Amaranthaceae). Revue d'Ecologie (Terre et Vie), 2017, 72(1):61-72.
[37] Seregin I V, Ivanov V B. Physiological aspects of cadmium and lead toxity effects on higher plants. Russian Journal of Plant Physiology, 2001, 48(4):523-544.
[38] 邹璐璐, 徐晟岚, 贾小容. 镉胁迫对河岸带草本植物种子萌发及幼苗生长的影响. 种子, 2020, 39(5):94-98.
[39] Hasan S A, Fariduddin Q, Ali B, et al. Cadmium:toxicity and tolerance in plants. Journal of Environmental Biology, 2009, 30(2):165-174.
[40] Heyno E, Klose C, Krieger-Liszkay A. Origin of cadmium- induced reactive oxygen species production: mitochondrial electron transfer versus plasma membrane NADPH oxidase. New Phytologist, 2008, 179(3):687-699.
doi: 10.1111/j.1469-8137.2008.02512.x pmid: 18537884
[41] 周蛟, 潘远智, 赵胤, 等. 黄果龙葵幼苗对镉胁迫的生理生长响应. 广西植物, 2022, 42(4):628-638.
[42] 闫晶, 姬文秀, 石贤吉, 等. 镉胁迫对烟草种子萌发和烟苗生长发育的影响. 作物杂志, 2019(2),142-149.
[43] 闫志强, 陈银萍, 蘧苗苗, 等. 镉胁迫对紫花苜蓿幼苗生理特性和镉富集的影响. 广西植物, 2019:39(2):218-227.
[44] Zhang F G, Liu M H, Li Y, et al. Effects of arbuscular mycorrhizal fungi, biochar and cadmium on the yield and element uptake of Medicago sativa. The Science of the Total Environment, 2019, 655:1150-1158.
[45] Lee K, Bae D W, Kim S H, et al. Comparative proteomic analysis of the short-term responses of rice roots and leaves to cadmium. Journal of Plant Physiology, 2010, 167(3):161-168.
doi: 10.1016/j.jplph.2009.09.006 pmid: 19853963
[46] 胡樱, 王慧春, 贾慧萍, 等. 三种高寒牧草种子萌发期耐镉性研究. 干旱区资源与环境, 2023, 37(2):171-176.
[47] 杜含梅, 谭露, 陈勃, 等. 苦荞苗期镉耐受性综合评价. 作物杂志, 2024(2):40-53.
[48] 张璐, 何录秋, 杨学乐. 不同镉背景值农田中荞麦镉积累转运特性研究. 中国农学通报, 2021, 37(23):77-83.
doi: 10.11924/j.issn.1000-6850.casb2020-0470
[1] 李瑛, 赵永伟, 陈英, 马伟明, 李文珍, 张海杰. 化学诱变对胡麻“定亚23号”种子萌发和M1代主要农艺性状的影响[J]. 作物杂志, 2025, (5): 155–164
[2] 王兖薇, 武俊喜, 汪艳, 牟涛, 朗卓玛, 苗彦军. 盐碱胁迫对异株荨麻种子萌发的影响[J]. 作物杂志, 2025, (5): 67–73
[3] 李云, 王静, 刘艳昆, 赵光辉, 郑敏娜. 叶面喷施多效唑对苦荞产量及茎秆抗倒伏性的调节作用[J]. 作物杂志, 2025, (4): 231–237
[4] 黄明, 付鑫鑫, 张振旺, 张军, 李友军. 种子大小对旱地小麦种子萌发、幼苗特性和抗旱性的影响[J]. 作物杂志, 2025, (3): 255–262
[5] 徐浪, 王玉, 王祥儒, 李红君, 唐万, 王冰清, 杨强, 张帆, 陈志元, 周美亮. 苦荞贮存及加工过程中黄酮类成分含量变化和利用研究[J]. 作物杂志, 2025, (3): 85–91
[6] 景茂雅, 张子玉, 张萌, 合佳敏, 严翻翻, 高艳梅, 张永清. 水杨酸浸种对盐胁迫藜麦种子萌发及幼苗生长的影响[J]. 作物杂志, 2025, (1): 194–201
[7] 李斐, 边少锋, 徐晨, 赵洪祥, 宋杭霖, 王芙臣, 庄妍. 坡耕地垄侧栽培对玉米生理特性及生长发育的影响[J]. 作物杂志, 2024, (6): 120–125
[8] 李峰, 高宏云, 张翀, 张宝英, 马建富, 郭娜, 白苇, 方爱国, 杨志敏, 李源. 盐胁迫对燕麦生长及生理指标的影响[J]. 作物杂志, 2024, (6): 140–146
[9] 鄂利锋, 徐金崇, 陈修斌, 权建华, 华军, 尹丽娟, 王舜奇, 赵文勤. 外源硅对盐胁迫下娃娃菜种子萌发及幼苗生理特性的影响[J]. 作物杂志, 2024, (6): 212–217
[10] 向达兵, 叶雪玲, 范昱, 刘长英, 万燕, 吴琪, 邬晓勇, 彭镰心, 赵钢, 邹亮. 苦荞新品种“成苦2号”的选育及栽培技术[J]. 作物杂志, 2024, (6): 249–253
[11] 徐浪, 张继斌, 石卫标, 叶涛, 陈搏, 吕庆银, 王玉, 黄智安, 沈蕊, 陈志元. 不同产地苦荞和种植土壤资源考察分析[J]. 作物杂志, 2024, (6): 78–83
[12] 肖晓, 钟坤权, 屠小菊, 易镇邪. 低温锻炼持续时间对菜用甘薯幼苗耐寒生理特性的影响[J]. 作物杂志, 2024, (5): 140–145
[13] 雷云, 熊露露, 王健健. CO2浓度升高对不同薏苡品种生长及生理特性的影响[J]. 作物杂志, 2024, (5): 181–187
[14] 张旭丽, 王瑞军, 郗小倩, 冯学金, 李洪. 干旱胁迫及复水对黄芪幼苗生长、生理特性及次生代谢产物积累的影响[J]. 作物杂志, 2024, (5): 204–211
[15] 张子怡, 王学虎, 苑莹, 沈志峰. 腐植酸悬浮剂对NaCl胁迫下小麦种子萌发和幼苗生长的影响[J]. 作物杂志, 2024, (4): 263–268
Viewed
Full text


Abstract

Cited

  Shared   
  Discussed   
No Suggested Reading articles found!