作物杂志,2023, 第4期: 224–229 doi: 10.16035/j.issn.1001-7283.2023.04.032

所属专题: 小麦专题

• 生理生化·植物营养·栽培耕作 • 上一篇    下一篇

水分胁迫对不同小麦幼苗期生长的影响及抗旱品种筛选

傅晓艺1,2(), 王红光1, 刘志连1, 李东晓1, 何明琦2, 李瑞奇1()   

  1. 1河北农业大学农学院,071000,河北保定
    2石家庄市农林科学研究院,050041,河北石家庄
  • 收稿日期:2022-03-28 修回日期:2022-06-27 出版日期:2023-08-15 发布日期:2023-08-15
  • 通讯作者: 李瑞奇
  • 作者简介:傅晓艺,主要从事小麦遗传育种与栽培技术研究,E-mail:jfuxiaoyi@163.com
  • 基金资助:
    石家庄市科技发展计划(211490092A);河北省重点研发计划(21326318D-1);国家重点研发计划(2017YFD03009)

Effects of Water Stress on Growth of Different Wheat Varieties at Seedling Stage and Selection of Drought Resistant Varieties

Fu Xiaoyi1,2(), Wang Hongguang1, Liu Zhilian1, Li Dongxiao1, He Mingqi2, Li Ruiqi1()   

  1. 1College of Agronomy, Hebei Agricultural University, Baoding 071000, Hebei, China
    2Shijiazhuang Academy of Agricultural and Forestry Sciences, Shijiazhuang 050041, Hebei, China
  • Received:2022-03-28 Revised:2022-06-27 Online:2023-08-15 Published:2023-08-15
  • Contact: Li Ruiqi

摘要:

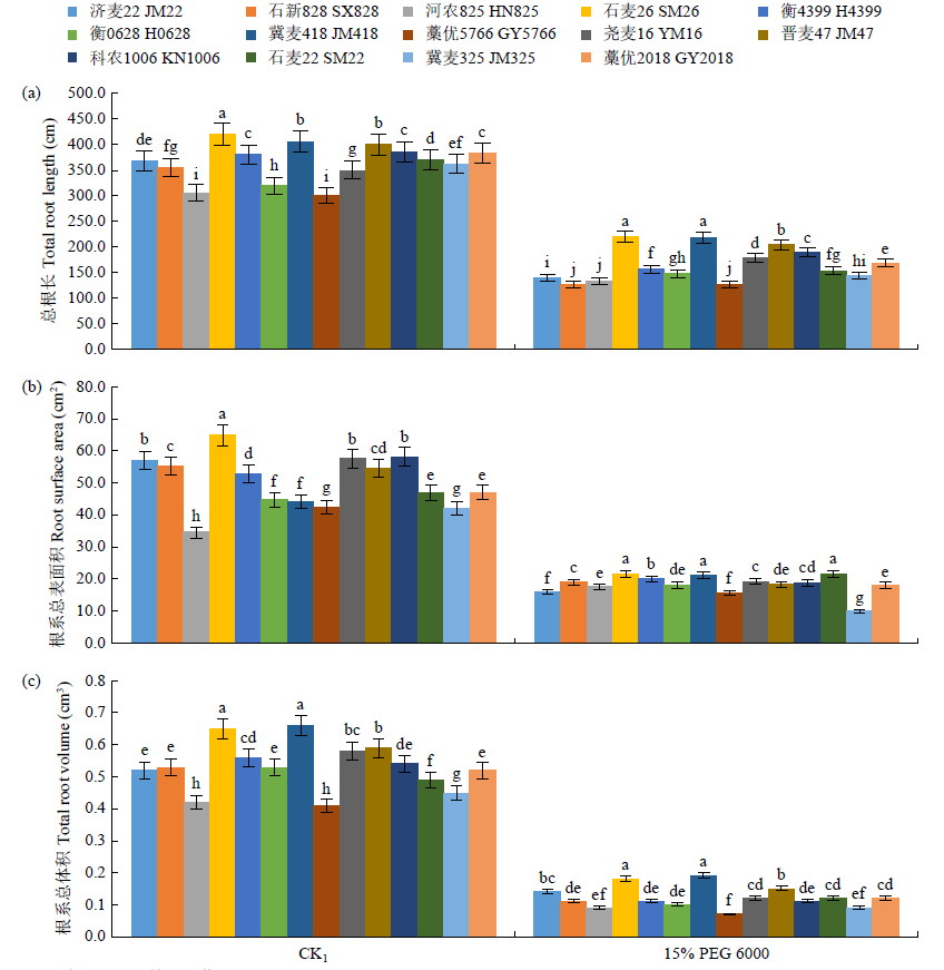
为探究小麦品种苗期的抗旱性,以14个不同小麦品种为试验材料,研究了正常水分(对照)和水分胁迫(15% PEG6000)条件下株高、最大根长、根条数、总根长、根系总表面积、根体积和干物质积累的差异。结果表明,水分胁迫下各品种株高、平均根长、最大根长和平均根条数以及干物质积累均受到严重抑制,处理和品种间差异显著。济麦22在对照处理下平均根长最大,其次是石麦22、衡0628和冀麦418;水分胁迫处理下,石麦22、石麦26和河农825平均根长较长,冀麦325最短。对照处理下冀麦418和石麦26最大根长较长,冀麦325最短;对照处理下石麦22的根条数最多,藳优5766最少。水分胁迫处理下石新828根条数最多,石麦26次之,藳优2018最少。石麦26和冀麦418的根系总体积和干物质积累在2个处理下表现一致,均与其他品种差异显著,表明冀麦418和石麦26属于苗期抗旱性强的小麦品种。

关键词: 小麦, 幼苗, 水分胁迫, 抗旱品种, 筛选

Abstract:

In order to explore the drought resistance of wheat in seedling period, using 14 different wheat varieties as materials, the differences of plant height, the maximum root length, root number, the total root length, total root surface area, root volume, and dry matter accumulation under normal water (CK) and drought stress (15% PEG 6000) treatments were studied. The results showed that under drought stress, plant height, average root length, maximum root length, average root number and dry matter accumulation among different varieties were seriously inhibited, there were significant differences between treatments and varieties. The average root length of JM22 was the longest under the CK treatment, followed by SM22, H0628 and JM418. Under drought treatment, the average root length of SM22, SM26 and HN825 were longer, and that of JM325 was the shortest. Under the CK treatment, JM418 and SM26 had longer root length, JM325 had the minimum root length; SM22 had the most number of roots under the CK treatment, GY5766 had the least root number. Under drought treatment, SX828 had the most root number, SM26 was the second, and GY2018 was the least. Under the two treatments, SM26 and JM418 had the same trend in the total root volume and dry matter accumulation, which were significantly different from other varieties. These results showed that JM418 and SM26 were the varieties with strong drought resistance at seedling stage.

Key words: Wheat, Seedling, Water stress, Drought resistant variety, Selection

表1

不同抗旱性小麦品种株高、平均根长、最大根长和平均根条数对干旱胁迫的响应

品种
Variety
株高
Plant height (cm)
平均根长
Average root length (cm)
最大根长
Maximum root length (cm)
平均根条数
Average root number
CK1 15% PEG6000 CK1 15% PEG6000 CK1 15% PEG6000 CK1 15% PEG6000
济麦22 JM22 7.34±0.19ab 0.80±0.02e 6.28±0.05a 2.76±0.08b 9.80±0.04bc 4.51±0.10d 4.40±0.05e 3.00±0.07bc
石新828 SX828 5.64±0.11f 1.18±0.00b 4.98±0.07d 2.31±0.08de 8.70±0.10e 4.73±0.10cd 5.61±0.01b 3.70±0.11a
河农825 HN825 5.00±0.08g 0.90±0.03d 4.03±0.03h 3.17±0.01a 7.80±0.06f 4.64±0.16cd 5.22±0.03bc 3.00±0.11bc
石麦26 SM26 7.12±0.02b 1.40±0.01a 5.62±0.14bc 3.16±0.02a 10.00±0.11ab 5.01±0.10b 5.03±0.05cd 3.20±0.11b
衡4399 H4399 6.46±0.04cd 0.90±0.03d 4.82±0.08de 1.87±0.00f 8.73±0.09e 2.52±0.07i 5.04±0.05d 3.03±0.07bc
衡0628 H0628 6.52±0.08cd 0.73±0.01f 5.62±0.08bc 2.33±0.01de 9.71±0.06cd 4.21±0.07e 4.41±0.01e 3.02±0.12bc
冀麦418 JM418 6.70±0.05c 0.80±0.01e 5.54±0.04c 2.55±0.02c 10.21±0.18a 4.84±0.06bc 4.28±0.01e 3.04±0.17bc
藁优5766 GY5766 5.80±0.06ef 0.86±0.02d 4.38±0.04g 1.80±0.01f 7.81±0.11f 3.11±0.04g 3.76±0.13f 3.28±0.07b
尧麦16 YM16 5.48±0.07f 1.20±0.01b 4.67±0.05ef 2.69±0.01b 8.03±0.05f 4.53±0.07d 5.02±0.01d 3.04±0.01bc
晋麦47 JM47 7.60±0.00a 1.22±0.04b 4.61±0.04f 2.43±0.01d 8.54±0.06e 4.04±0.03ef 5.04±0.13d 3.03±0.12bc
科农1006 KN1006 4.46±0.05h 0.63±0.01g 3.69±0.04i 2.23±0.03e 7.81±0.06f 3.81±0.00f 5.43±0.05b 3.32±0.04b
石麦22 SM22 7.30±0.06ab 0.76±0.00ef 5.74±0.06b 3.20±0.07a 9.50±0.04d 5.41±0.01a 6.02±0.05a 3.04±0.01bc
冀麦325 JM325 6.58±0.04cd 0.58±0.01g 4.81±0.06de 1.50±0.04g 7.54±0.12g 2.81±0.08h 5.04±0.05d 2.84±0.08c
藁优2018 GY2018 6.20±0.00de 0.97±0.03c 4.78±0.03ef 2.40±0.00d 8.53±0.05e 3.23±0.05g 4.33±0.07e 2.02±0.01d

图1

不同抗旱性小麦品种总根长、根系总表面积、根系总体积对干旱胁迫的响应 柱上不同字母表示品种间差异显著(P < 0.05)

表2

不同抗旱性小麦干物质积累对干旱胁迫的响应

品种
Variety
CK2 15% PEG 6000
单株茎干重
Shoot dry weight
per plant (g)
单株根干重
Root dry weight
per plant (g)
根冠比
Root-shoot
ratio
单株茎干重
Shoot dry weight
per plant (g)
单株根干重
Root dry weight
per plant (g)
根冠比
Root-shoot
ratio
济麦22 JM22 0.85±0.02ghi 0.41±0.02efg 0.48 0.55±0.01d 0.35±0.01def 0.64
石新828 SX828 0.87±0.02gh 0.45±0.01def 0.52 0.60±0.01d 0.31±0.01fg 0.52
河农825 HN825 0.96±0.03ef 0.47±0.02cd 0.49 0.55±0.01d 0.34±0.02ef 0.62
石麦26 SM26 1.20±0.02a 0.59±0.01a 0.49 0.88±0.03ab 0.45±0.02ab 0.51
衡4399 H4399 1.00±0.01de 0.47±0.01cd 0.47 0.69±0.03c 0.36±0.02de 0.52
衡0628 H0628 1.21±0.04a 0.53±0.02b 0.44 0.84±0.02b 0.41±0.02bc 0.49
冀麦418 JM418 1.12±0.04b 0.56±0.01ab 0.50 0.92±0.01a 0.46±0.01a 0.50
藁优5766 GY5766 0.74±0.02j 0.33±0.02h 0.45 0.56±0.02d 0.27±0.01g 0.48
尧麦16 YM16 1.07±0.03bcd 0.60±0.02a 0.56 0.93±0.02a 0.45±0.01ab 0.48
晋麦47 JM47 1.09±0.02bc 0.51±0.02bc 0.47 0.88±0.02ab 0.39±0.01cd 0.44
科农1006 KN1006 0.81±0.02hij 0.39±0.02g 0.48 0.69±0.02c 0.34±0.01ef 0.49
石麦22 SM22 0.92±0.02fg 0.51±0.02bc 0.55 0.74±0.02c 0.41±0.01bc 0.55
冀麦325 JM325 0.79±0.02ij 0.46±0.02cde 0.58 0.72±0.03c 0.35±0.01def 0.49
藁优2018 GY2018 1.02±0.02cde 0.40±0.01fg 0.39 0.73±0.01c 0.36±0.02de 0.49
[1] 张杰, 张强, 赵建华, 等. 作物干旱指标对西北半干早区春小麦缺水特征的反映. 生态学报, 2008, 28(4):1646-1654.
[2] Godfray H C J, Beddington J R, Crute I R, et al. Food security: the challenge of feeding 9 billion people. Science, 2010, 327:812-818.
doi: 10.1126/science.1185383 pmid: 20110467
[3] Peleg Z, Apse M P, Blumwald E. Engineering salinity and water- stress tolerance in crop plants: getting closer to the field. Advances in Botanical Research, 2011, 57:405-443.
[4] 郑桂萍, 李金峰, 钱永德, 等. 农作物综合抗旱性指标的评价分析. 中国农学通报, 2005, 21(10):109-121.
[5] 李艳, 王青, 李凤兰, 等. 植物诱导抗旱研究进展. 作物杂志, 2007(4):16-19.
[6] 田梦雨, 李丹丹, 戴廷波, 等. 水分胁迫下不同基因型小麦苗期的形态生理差异. 应用生态学报, 2010, 21(1):41-47.
[7] 梁银丽, 杨翠玲. 不同抗旱型小麦根系形态与生理特性对渗透胁迫的反应. 西北农业学报, 1995, 4(4):31-36.
[8] 张大勇, 姜新华. 对作物生产的生态学思考. 植物生态学报, 2000, 24(3):383-384.
[9] 关军锋, 马春红. 干早胁迫下小麦根冠生物量变化及其与耐旱性的关系. 河北农业大学学报, 2004, 27(1):1-5.
[10] 杨建设. 不同小麦品种苗期耐旱生理特性研究初报. 陕西农业科学, 1992(6):7-9.
[11] 赖运平, 李俊, 张泽全, 等. 小麦苗期抗旱相关形态指标的灰色关联度分析. 麦类作物学报, 2009, 29(6):1055-1059.
[12] 卫云宗, 刘新月, 张久刚. 小麦苗期抗旱类型研究. 中国生态农业学报, 2008, 16(6):1409-1412.
[13] 金善宝. 中国小麦学. 北京: 中国农业出版社, 1996:754-758.
[14] 冯广龙, 罗远培, 刘建利, 等. 不同水分条件下冬小麦根与冠生长及功能间的动态消长关系. 干旱地区农业研究, 1997, 5(2):73-79.
[15] 杨贵羽, 罗远培, 李保国, 等. 不同土壤水分处理对冬小麦根冠生长的影响. 干旱地区农业研究, 2003, 21(3):104-109.
[16] 单长卷, 郝文芳, 张慧成. 土壤干早对冬小麦幼苗生理特性的影响. 河北农业大学学报, 2006, 29(4):6-10.
[17] 李伟, 闫文利, 刘旭, 等. 干旱胁迫对4份小麦品种种子萌发及幼苗形态的影响. 农业科技通讯, 2018(7):119-122.
[18] 姜淑欣, 刘党校, 庞红喜, 等. PEG胁迫及复水对不同抗旱性小麦幼苗脯氨酸代谢关键酶活性的影响. 西北植物学报, 2014, 34(8):1581-1587.
[19] Gajri P R, Prihar S S. Rooting, water use and yield relations in wheat on loamy sand and sandy loam soils. Field Crops Research, 1985, 12:115-132.
doi: 10.1016/0378-4290(85)90058-9
[20] 梁银丽, 陈培元. 水分胁迫和氮素营养对小麦根苗生长及水分利用效率的效应. 西北植物学报, 1995, 15(1):21-25.
[21] 梁银丽, 陈培元. 土壤水分和氮磷营养对小麦根系生理特性的调节作用. 植物生态学报, 1996, 20(3):255-262.
[1] 贾永红, 魏海鹏, 曾潮武, 刘俊, 陈艳妮, 李建疆, 梁晓东. 基于KASP技术鉴定新疆春小麦材料抗病基因[J]. 作物杂志, 2026, (1): 15–19
[2] 高艳梅, 冯鹏睿, 陈薇薇, 张萌, 张永清. 抗旱性藜麦幼苗对干旱胁迫的生理响应[J]. 作物杂志, 2026, (1): 182–188
[3] 叶晓娟, 刘强. 不同降水年型下春小麦产量对降水、施氮及秸秆覆盖的响应模拟[J]. 作物杂志, 2026, (1): 217–224
[4] 王云江, 王玉莹, 刘畅, 敬雪妍, 羊辰, 孙彩霞, 王春平. 施氮量对小麦籽粒主要矿质元素含量的影响和有效性分析[J]. 作物杂志, 2026, (1): 240–248
[5] 李青欣, 金秀良, 宋晓, 张珂珂, 郭腾飞, 黄绍敏, 岳克, 丁世杰, 黄明, 李友军. 有机肥部分替代氮肥对豫东冬小麦生长及土壤特性的影响[J]. 作物杂志, 2025, (6): 121–131
[6] 陈志豪, 王婷, 常旭虹, 王艳杰, 刘希伟, 杨玉双, 王玉娇, 王德梅, 赵广才. 黄淮冬麦区北片冬小麦产量和品质性状的综合分析[J]. 作物杂志, 2025, (6): 148–155
[7] 杜晓宇, 邹少奎, 李楠楠, 王丽娜, 张倩, 吕永军, 李顺成, 韩玉林. 高产小麦品种周麦27号及其亲本的遗传分析[J]. 作物杂志, 2025, (6): 67–72
[8] 马强, 李延坤, 王桂娥, 文婷婷, 张天雨, 田纪春, 王延训. 山东省审定彩色小麦品种农艺性状和品质分析及改良方向研究[J]. 作物杂志, 2025, (5): 113–119
[9] 李天奇, 曹燕燕, 葛昌斌, 李雷雷, 黄杰, 廖平安. 小麦品种漯麦906及其衍生系的KASP标记检测与分析[J]. 作物杂志, 2025, (5): 128–134
[10] 吴立国, 李晓慧, 赵清, 陈小龙, 潘静, 刘旺清, 白海波, 李前荣. 宁夏春小麦品种(系)农艺性状遗传多样性分析[J]. 作物杂志, 2025, (5): 147–154
[11] 李小敏, 龚红瑜, 田冰欣, 刘东华, 李春喜, 姜丽娜, 马建辉. 黄淮海平原不同行距配置和密度组合对小麦冠层结构和氮素利用的影响[J]. 作物杂志, 2025, (5): 171–176
[12] 李加汇, 陈如雪, 白红波, 王永华. 不同株型冬小麦光合―灌浆协同特性及其对产量构成的影响[J]. 作物杂志, 2025, (5): 195–203
[13] 刘弟, 宋来贵, 田临卿, 李志刚, 马俊美, 李作森, 年夫照, 焦健, 邓小鹏. 烟后套作玉米对作物生产和土壤养分的影响[J]. 作物杂志, 2025, (5): 239–246
[14] 李杰, 张永强, 雷钧杰, 吕晓庆, 陈传信, 徐其江, 聂石辉, 徐文修, 常旭虹. 不同尿素类型及施用方式对滴灌冬小麦植株性状及产量构成的影响[J]. 作物杂志, 2025, (5): 266–271
[15] 王亮, 王睿, 朱金成, 桑玉伟, 史彪, 郭嘉帅, 焦灰敏, 何宗铃, 水涌. 50份花生品种(系)幼苗期耐盐性分析[J]. 作物杂志, 2025, (5): 35–41
Viewed
Full text


Abstract

Cited

  Shared   
  Discussed   
No Suggested Reading articles found!