作物杂志,2023, 第4期: 202–209 doi: 10.16035/j.issn.1001-7283.2023.04.029

所属专题: 杂粮作物

• 生理生化·植物营养·栽培耕作 • 上一篇    下一篇

外源褪黑素对干旱胁迫下红小豆幼苗生长和产量的影响

姜珊(), 刘佳, 曹亮, 任春元, 金喜军, 张玉先()   

  1. 黑龙江八一农垦大学农学院,163319,黑龙江大庆
  • 收稿日期:2022-02-22 修回日期:2023-05-15 出版日期:2023-08-15 发布日期:2023-08-15
  • 通讯作者: 张玉先
  • 作者简介:姜珊,研究方向为植物逆境生理,E-mail:15776561049@163.com
  • 基金资助:
    大庆地区小豆机械化高产关键技术研究与示范(zd-2021-81);黑龙江八一农垦大学研究生创新科研项目(YJS CX2021-Y44)

Effects of Exogenous Melatonin on Growth and Yield of Adzuki Bean under Drought Stress at Seedling Stage

Jiang Shan(), Liu Jia, Cao Liang, Ren Chunyuan, Jin Xijun, Zhang Yuxian()   

  1. College of Agronomy, Heilongjiang Bayi Agricultural University, Daqing 163319, Heilongjiang, China
  • Received:2022-02-22 Revised:2023-05-15 Online:2023-08-15 Published:2023-08-15
  • Contact: Zhang Yuxian

摘要:

以红小豆品种珍珠红为供试材料,在可移动防雨棚中采用盆栽称重法于V2期模拟干旱胁迫,设置正常供水(对照,维持80%田间持水量)、干旱胁迫下喷施褪黑素处理(于控水当天叶面喷施100μmol/L褪黑素,逐步控制并维持50%田间持水量)和干旱胁迫处理(控水方式同上,喷施等量蒸馏水),研究了干旱胁迫下褪黑素对红小豆幼苗抗旱和光合生理、形态和产量的调控效应。结果表明,褪黑素可以显著提高干旱胁迫下红小豆叶片中抗氧化酶活性和渗透调节物质含量,降低活性氧和丙二醛含量,并提高株高、茎粗、叶面积和干物质积累。褪黑素可显著提高干旱胁迫下红小豆叶片光合色素含量、光合速率和叶绿素荧光参数,提高碳水化合物(蔗糖、果糖、可溶性糖)含量,可在一定程度上提高单株荚数和单株粒数,较干旱胁迫处理分别提高了2.18%和4.88%。综合分析认为,叶面喷施100μmol/L褪黑素可提高红小豆抗旱能力,缓解干旱胁迫对红小豆光合作用的抑制,促进红小豆幼苗生长,提高产量。

关键词: 红小豆, 干旱胁迫, 褪黑素, 光合作用

Abstract:

Adzuki bean cultivar Pearl Red was used as the test material in pot under portable rainproof shed, and normal water supply as control (80% field water holding), melatonin treatment under drought stress (100μmol/L melatonin was sprayed on the day of water control beginning, soil water content was gradually regulated and maintained 50% field capacity), drought stress treatment (equal amount of water was sprayed on the day of water control beginning, soil water content was gradually regulated and maintained 50% field capacity), to study effects of melatonin on drought resistance, photosynthetic physiology, morphology and yield of adzuki bean under drought stress. The results showed that melatonin could significantly increase antioxidant enzyme activity and infiltration regulators, decrease reactive oxygen species (ROS) and malonaldehyde contents, and increase plant height, stem diameter, leaf area and dry matter accumulation under drought stress. Melatonin significantly increased the content of photosynthetic pigment, photosynthetic rate, chlorophyll fluorescence parameters and carbohydrates (sucrose, fructose, soluble sugar) in adzuki bean leaves under drought stress. The application of exogenous melatonin increased the number of pods and grains per plant by 2.18% and 4.88%, respectively, compared with drought stress. It was concluded that 100μmol/L melatonin spraying on leaf surface could improve the drought resistance of adzuki bean, reduce the inhibition of photosynthesis of adzuki bean by drought stress, promote the growth of adzuki bean seedling and increase yield.

Key words: Adzuki bean, Drought stress, Melatonin, Photosynthesis

表1

干旱胁迫条件下褪黑素对形态指标的影响

喷施后天数
Days after spraying (d)
处理
Treatment
株高
Plant height (cm)
茎粗
Stem diameter (mm)
叶面积
Leaf area (mm2)
地上干重
Shoot dry weight (g)
地下干重
Root dry weight (g)
10 CK 13.07±0.38a 3.06±0.19a 6168.63±124.22a 0.86±0.04a 0.44±0.06a
D 10.93±0.41b 2.75±0.05a 4694.18±329.26a 0.75±0.03a 0.36±0.01a
D+M 11.90±0.45ab 2.90±0.07a 5706.56±401.30a 0.81±0.03a 0.40±0.04a
15 CK 15.83±1.03a 3.21±0.16a 7722.79±458.57a 1.55±0.08a 0.60±0.04a
D 12.80±0.18b 2.76±0.06a 5906.40±880.02b 0.93±0.10b 0.49±0.06b
D+M 13.77±1.29b 2.95±0.06a 6850.67±943.51ab 1.32±0.09ab 0.59±0.02ab
20 CK 20.30±0.44a 3.41±0.04b 8800.49±245.24a 2.67±0.06a 1.22±0.09a
D 15.97±0.18c 2.90±0.11ab 7092.89±598.23b 1.63±0.11b 0.85±0.05b
D+M 18.50±0.55b 3.01±0.14a 8070.84±120.23b 2.30±0.02ab 0.91±0.07b
25 CK 25.20±0.42a 3.50±0.02a 9156.13±593.47a 3.47±0.05a 1.76±0.11a
D 17.87±0.29c 3.05±0.04c 7789.10±962.75b 1.96±0.10b 0.96±0.10b
D+M 20.87±0.33b 3.26±0.06b 8922.64±612.18ab 2.58±0.13b 1.24±0.06b
30 CK 29.13±2.91a 3.78±0.13a 9329.80±519.87a 4.70±0.06a 2.07±0.11a
D 24.47±0.86b 3.20±0.18b 8038.34±485.77b 2.37±0.15b 1.21±0.07b
D+M 27.47±0.29a 3.58±0.14ab 9063.35±437.55ab 3.25±0.09b 1.38±0.11ab

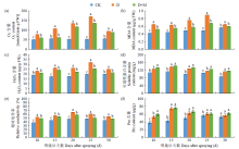
图1

干旱胁迫下褪黑素对抗氧化酶活性的影响 不同小写字母表示差异显著(P<0.05),下同

图2

干旱胁迫下褪黑素对膜脂过氧化的影响

图3

干旱胁迫条件下褪黑素对红小豆光合参数的影响

图4

干旱胁迫条件下褪黑素对红小豆叶绿素荧光参数的影响

图5

干旱胁迫条件下褪黑素对红小豆光合色素含量的影响

图6

干旱胁迫下外源褪黑素对红小豆糖类物质含量的影响

表2

干旱胁迫条件下褪黑素对产量构成因素的影响

处理
Treatment
单株荚数
Pod number
per plant
单株粒数
Grain number
per plant
百粒重
100-seed
weight (g)
单株粒重
Grain weight
per plant (g)
CK 13.83±2.14a 48.00±3.74a 11.62±1.26a 5.28±1.42a
D 11.91±2.48ab 44.50±2.74b 11.06±0.12a 4.92±0.31a
D+M 12.17±1.17ab 46.67±3.14ab 11.10±0.18a 5.19±0.41a
[1] 唐偲雨, 张玲, 唐进, 等. 几种红小豆理化特性及淀粉性质研究. 中国农学通报, 2018, 34(6):143-148.
doi: 10.11924/j.issn.1000-6850.casb17050120
[2] 申晓慧. 黑龙江省红小豆生产现状. 中国种业, 2017(4):18-19.
[3] 代粮, 刘玉洁, 潘韬. 中国东北三省大豆虚拟水时空分异及其影响因素研究. 地球信息科学学报, 2018, 20(9):1274-1285.
doi: 10.12082/dqxxkx.2018.180212
[4] 罗海婧, 张永清, 石艳华, 等. 不同红小豆品种幼苗对干旱胁迫的生理响应. 植物科学学报, 2014, 32(5):493-501.
[5] 郭数进, 杨凯敏, 霍瑾, 等. 干旱胁迫对大豆鼓粒期叶片光合能力和根系生长的影响. 应用生态学报, 2015, 26(5):1419- 1425.
[6] 邹京南. 外源褪黑素对干旱胁迫下大豆光合及生长的影响. 大庆:黑龙江八一农垦大学, 2019.
[7] Zuo Z, Sun L, Wang T, et al. Melatonin improves the photosynthetic carbon assimilation and antioxidant capacity in wheat exposed to Nano-ZnO stress. Molecules, 2017, 22(10):1727-1739.
doi: 10.3390/molecules22101727
[8] Baker N R. Chlorophyll fluorescence: A probe of photosynthesis in vivo. Annual Review of Plant Biology, 2008, 59(1):89-113.
doi: 10.1146/arplant.2008.59.issue-1
[9] 李贺. 褪黑素对大豆苗期低温胁迫抗性的调控作用. 大庆:黑龙江八一农垦大学, 2021.
[10] 徐向东, 孙艳, 孙波, 等. 高温胁迫下外源褪黑素对黄瓜幼苗活性氧代谢的影响. 应用生态学报, 2010, 21(5):1295-1300.
[11] 向警, 黄倩, 鞠春燕, 等. 外源褪黑素对盐胁迫下水稻种子萌发与幼苗生长的影响. 植物生理学报, 2021, 57(2):393-401.
[12] 胡秉芬, 黄华梨, 季元祖, 等. 分光光度法测定叶绿素含量的提取液的适宜浓度. 草业科学, 2018, 35(8):1965-1974.
[13] 李合生, 孙群, 赵世杰, 等. 植物生理生化试验原理和技术. 北京: 高等教育出版社, 2000.
[14] 张志良. 植物生理学实验指导. 北京: 高等教育出版社, 2001.
[15] Tan W, Liu J, Dai T, et al. Alterations in photosynthesis and antioxidant enzyme activity in winter wheat subjected to post- anthesis water-logging. Photosynthetica, 2008, 46(1):21-27.
doi: 10.1007/s11099-008-0005-0
[16] Nakano Y, Asada K. Hydrogen peroxide is scavenged by ascorbate- specific in spinach chloroplasts. Plant Cell Physiology, 1981, 22(5):867-880.
[17] 邹琦. 植物生理学实验指导. 北京: 中国农业出版社, 2000.
[18] 高俊凤. 植物生理学实验指导. 北京: 高等教育出版社, 2006.
[19] 苍晶, 赵会杰. 植物生理学试验教程. 北京: 高等教育出版社, 2013.
[20] Chaitanya K K, Naithani S C. Role of superoxide, lipid peroxidation and superoxide dismutase inmembrane perturbation during loss of viability in seeds of Shorea robusta Gaertn.f.. New Phytologist, 1994, 126(4):623-627.
doi: 10.1111/nph.1994.126.issue-4
[21] Mukherjee S P, Choudhuri M A. Implications of water stress- induced changes in the levels of endogenous ascorbic acid and hydrogen peroxide in Vigna seedlings. Physiologia Plantarum, 1983, 58(2):166-170.
doi: 10.1111/ppl.1983.58.issue-2
[22] Imaji A, Seiwa K. Carbon allocation to defense, storage, and growth in seedlings of two temperate broad-leaved tree species. Oecologia, 2010, 162(2):273-281.
doi: 10.1007/s00442-009-1453-3 pmid: 19763628
[23] 邢兴华. α-萘乙酸缓解大豆花期逐渐干旱胁迫的生理机制. 南京:南京农业大学, 2014
[24] 赵娜, 孙艳, 王德玉, 等. 外源褪黑素对高温胁迫条件下黄瓜幼苗氮代谢的影响. 植物生理学报, 2012, 48(6):557-564.
[25] 赵瑾, 白金, 潘青华, 等. 干旱胁迫下圆柏不同品种(系)叶绿素含量变化规律. 中国农学通报, 2007(3):236-239.
[26] Li C, Tan D X, Liang D, et al. Melatonin mediates the regulation of ABA metabolism, free-radical scavenging, and stomatal behaviourin two Malus species under drought stress. Journal of Experi-Mental Botany, 2015, 66(3):669-680.
[27] Bakhshandeh E, Gholamhossieni M. Modelling the effects of water stress and temperature on seed germination of radish and cantaloupe. Journal of Plant Growth Regulation, 2019, 38(4):1402-1411.
doi: 10.1007/s00344-019-09942-9
[28] Ye J, Wang S, Deng X, et al. Melatonin increased maize (Zea mays L.) seedling drought tolerance by alleviating drought- induced Photosynthetic inhibition and oxidative damage. Acta Physiologiae Plantarum, 2016, 38(2):48-61.
doi: 10.1007/s11738-015-2045-y
[29] Wang P, Sun X, Li C, et al. Long-term exogenous application of melatonin delays drought-induced leaf senescence in apple. Journal of Pineal Research, 2013, 54(3):292-302.
doi: 10.1111/jpi.12017 pmid: 23106234
[30] 吴雪霞, 朱宗文, 张爱冬, 等. 外源褪黑素对低温胁迫下茄子幼苗生长及其光合作用和抗氧化系统的影响. 西北植物学报, 2017, 37(12):2427-2434.
[31] 罗海婧. 不同品种红小豆对水分胁迫和复水的生理生态响应. 临汾:山西师范大学, 2015.
[32] 秦彬. 外源褪黑素对大豆苗期干旱的缓解效应. 大庆:黑龙江八一农垦大学, 2021.
[1] 孙茹梦, 张男, 殷佳, 汝艳, 景文疆, 张耗. 水稻根系分泌物对干旱胁迫的响应研究进展[J]. 作物杂志, 2026, (1): 1–8
[2] 高艳梅, 冯鹏睿, 陈薇薇, 张萌, 张永清. 抗旱性藜麦幼苗对干旱胁迫的生理响应[J]. 作物杂志, 2026, (1): 182–188
[3] 秦娜娜, 黄淋华, 陈莹, 王胜谋, 谢勇, 缪凯, 李万明, 戚兰. 叶面喷施丙酰芸苔素内酯对夏大豆光合作用、农艺性状和产量的影响[J]. 作物杂志, 2025, (6): 164–171
[4] 刘松涛, 蒋超, 史涵博, 闫立楠, 赵海超, 卢海博, 栗慧, 黄智鸿. 玉米ZmPOD基因克隆、生物信息学分析及功能验证[J]. 作物杂志, 2025, (6): 37–44
[5] 曾嘉楠, 叶晓青, 蔡民爵, 周诚, 何澎, 陈壮壮, 陈雨峰, 曹良军, 陈建军, 王媛媛. 外源物质对高温胁迫下烤烟上部叶光合及抗氧化能力的影响[J]. 作物杂志, 2025, (5): 247–259
[6] 徐明丽, 吴柏辰, 刘畅, 高鑫涵, 殷佳琪, 何雪, 刘莹, 尹泽群, 苗兴芬. 褪黑素浸种对盐碱胁迫下谷子萌发的影响[J]. 作物杂志, 2025, (5): 42–46
[7] 孙宪印, 张继波, 吕广德, 亓晓蕾, 孙盈盈, 米勇, 牟秋焕, 尹逊栋, 王瑞霞, 钱兆国, 高明刚. 旱地与补灌条件下不同基因型小麦高产稳产性比较[J]. 作物杂志, 2025, (4): 104–110
[8] 刘宣宣, 郭瑞士, 董蒙蒙, 朱柯颖, 朱晓品, 王丽, 王宁. 两个棉花品种幼苗涝渍及恢复期耐涝机理初探[J]. 作物杂志, 2025, (4): 126–134
[9] 张智涵, 姚杰, 张占田, 卞福花, 张紫然, 陈平, 陈海宁, 刘保友. 5-氨基乙酰丙酸对干旱胁迫下黄瓜苗期生长和土壤酶活性的影响[J]. 作物杂志, 2025, (4): 245–250
[10] 侯晓敏, 申惠波, 董守坤, 闫锋, 董扬, 赵富阳, 李清泉, 左月桃. 甲哌鎓缓解大豆幼苗叶片干旱胁迫的生理效应[J]. 作物杂志, 2025, (3): 133–140
[11] 侯晓敏, 闫锋, 董扬, 赵富阳, 李清泉, 季生栋, 刘悦, 兰英. 外源甜菜碱对干旱胁迫下谷子萌发及幼苗生理特性的影响[J]. 作物杂志, 2025, (2): 228–233
[12] 刘佩瑶, 冉莉萍, 杨佳庆, 王海博, 熊飞, 余徐润. 小麦穗形态建成和生理特征及外界影响因素的研究进展[J]. 作物杂志, 2025, (1): 1–9
[13] 安东升, 赵宝山, 刘洋, 严程明, 孔冉, 黄文甫, 苏俊波. 甘蔗新品种的光合表型与叶片表征对干旱胁迫及复水的响应[J]. 作物杂志, 2025, (1): 208–213
[14] 马俊美, 窦敏, 刘弟, 杨秀华, 杨勇, 年夫照, 刘雅婷, 李永忠. 烤烟与玉米间作种植对根际土壤养分及作物生长的影响[J]. 作物杂志, 2025, (1): 227–234
[15] 庞敏昡, 王瀚, 李志涛, 史宁帆, 蒲转芳, 张锋, 姚攀锋, 毕真真, 白江平, 孙超. 不同水分处理下施用立收谷对马铃薯品质的影响[J]. 作物杂志, 2024, (6): 132–139
Viewed
Full text


Abstract

Cited

  Shared   
  Discussed   
No Suggested Reading articles found!