作物杂志,2025, 第5期: 47–53 doi: 10.16035/j.issn.1001-7283.2025.05.007

• 专题:盐碱胁迫下作物抗逆响应与生态调控 • 上一篇    下一篇

脱硫石膏与腐植酸配施对盐碱地土壤及藜麦生长的影响

闫晶蓉1(), 庞春花1(), 张永清1,2, 毋悦悦1, 侯钰晨1, 王嘉祺1, 乔曼1   

  1. 1 山西师范大学生命科学学院030031, 山西太原
    2 山西师范大学地理科学学院030031, 山西太原
  • 收稿日期:2024-06-21 修回日期:2024-07-19 出版日期:2025-10-15 发布日期:2025-10-21
  • 通讯作者: 庞春花,主要从事植物生理生态研究,E-mail:pangch6269@126.com
  • 作者简介:闫晶蓉,主要从事植物生理生态研究,E-mail:yjr9910@163.com
  • 基金资助:
    国家自然科学基金(NSFC-31571604)

Effects of Desulfurized Gypsum and Humic Acid Interaction on Soil and Quinoa Growth in Saline-Alkali Land

Yan Jingrong1(), Pang Chunhua1(), Zhang Yongqing1,2, Wu Yueyue1, Hou Yuchen1, Wang Jiaqi1, Qiao Man1   

  1. 1 College of Life Sciences, Shanxi Normal University, Taiyuan 030031, Shanxi, China
    2 College of Geography, Shanxi Normal University, Taiyuan 030031, Shanxi, China
  • Received:2024-06-21 Revised:2024-07-19 Online:2025-10-15 Published:2025-10-21

摘要: 探究不同用量脱硫石膏与腐植酸配施对盐碱地土壤及藜麦生理特性和产量的影响,为盐碱地藜麦种植提供理论参考与技术支撑。以陇藜1号为试验材料进行盆栽试验,设置0(F0)、6.25(F1)、12.50(F2)和18.75 g/kg(F3)4个脱硫石膏水平,0(HA0)、1(HA1)和2 g/kg(HA2)3个腐植酸水平,进行随机区组试验。结果表明,在同一腐植酸用量下,随脱硫石膏施用量的增加,土壤pH呈先降后升的趋势,电导率呈上升趋势;藜麦叶片的叶绿素含量、抗氧化酶活性和籽粒产量呈先升后降的趋势,丙二醛、可溶性糖和脯氨酸含量呈先降后升的趋势,在F2处理下效果最佳。同一脱硫石膏用量下,随腐植酸用量的增加,土壤pH及电导率呈下降趋势;藜麦叶片的叶绿素含量、抗氧化酶活性和籽粒产量呈上升趋势,丙二醛、可溶性糖和脯氨酸含量呈下降趋势,在HA2处理下效果最佳。脱硫石膏和腐植酸配施可以显著降低土壤pH,促进盐碱胁迫下藜麦的生长,提高藜麦产量,在脱硫石膏用量为12.5 g/kg配施2 g/kg腐植酸处理下效果最佳。

关键词: 藜麦, 脱硫石膏, 腐植酸, 盐碱胁迫, 抗氧化酶活性, 土壤电导率, 产量

Abstract:

To explore the effects of combined application of different dosages of desulfurized gypsum and humic acid on the soil of saline-alkali land, as well as the physiological characteristics and yield of quinoa, and to provide ideas and technical support for quinoa planting in saline-alkali land, taking Longli 1 as the experimental material, a pot experiment was conducted. Four levels of desulfurized gypsum at 0 (F0), 6.25 (F1), 12.50 (F2), 18.75 g/kg (F3), and three levels of humic acid at 0 (HA0), 1 (HA1), 2 g/kg (HA2) were set up for the randomized block experiment. The results showed that under the same amount of humic acid, with the increase of the application amount of desulfurized gypsum, the soil pH decreased first and then increased, and the electrical conductivity showed an upward trend. The chlorophyll content of quinoa leaves, antioxidant enzyme activity, and grain yield increased first and then decreased, and the content of malondialdehyde, soluble sugar, and proline decreased first and then increased, with the best effect under the F2 treatment. Under the same amount of desulfurized gypsum, with the increase of the amount of humic acid, the soil pH and electrical conductivity showed a downward trend. The chlorophyll content, antioxidant enzyme activity, and grain yield increased, and the contents of malondialdehyde, soluble sugar, and proline decreased, with the best effect under the HA2 treatment. The combined application of desulfurized gypsum and humic acid could significantly reduce soil pH, promote the growth of quinoa under saline-alkali stress, and increase the yield of quinoa. The best effect was achieved under the treatment of 12.5 g/kg of desulfurized gypsum combined with 2 g/kg of humic acid.

Key words: Quinoa, Desulfurized gypsum, Humic acid, Saline-alkali stress, Antioxidant enzyme activity, Soil electrical conductivity, Yield

表1

试验处理组合方案

处理
Treatment
组合
Combination
腐植酸施用量
Humic acid
application rate
脱硫石膏施用量
Desulfurized gypsum
application rate
1 HA0-F0 0 0.00
2 HA0-F1 0 6.25
3 HA0-F2 0 12.50
4 HA0-F3 0 18.75
5 HA1-F0 1 0.00
6 HA1-F1 1 6.25
7 HA1-F2 1 12.50
8 HA1-F3 1 18.75
9 HA2-F0 2 0.00
10 HA2-F1 2 6.25
11 HA2-F2 2 12.50
12 HA2-F3 2 18.75

图1

不同处理对藜麦土壤pH的影响 不同小写字母表示同组各处理间在P < 0.05水平差异显著。下同。

图2

不同处理对藜麦土壤电导率的影响

图3

不同处理对藜麦叶绿素含量的影响

图4

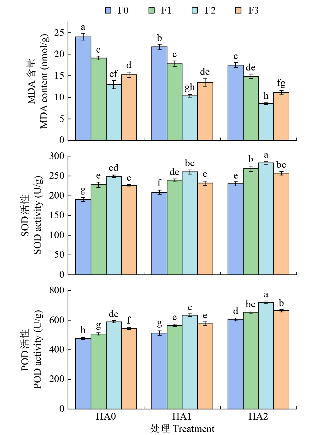
不同处理对藜麦叶片MDA含量、SOD和POD活性的影响

图5

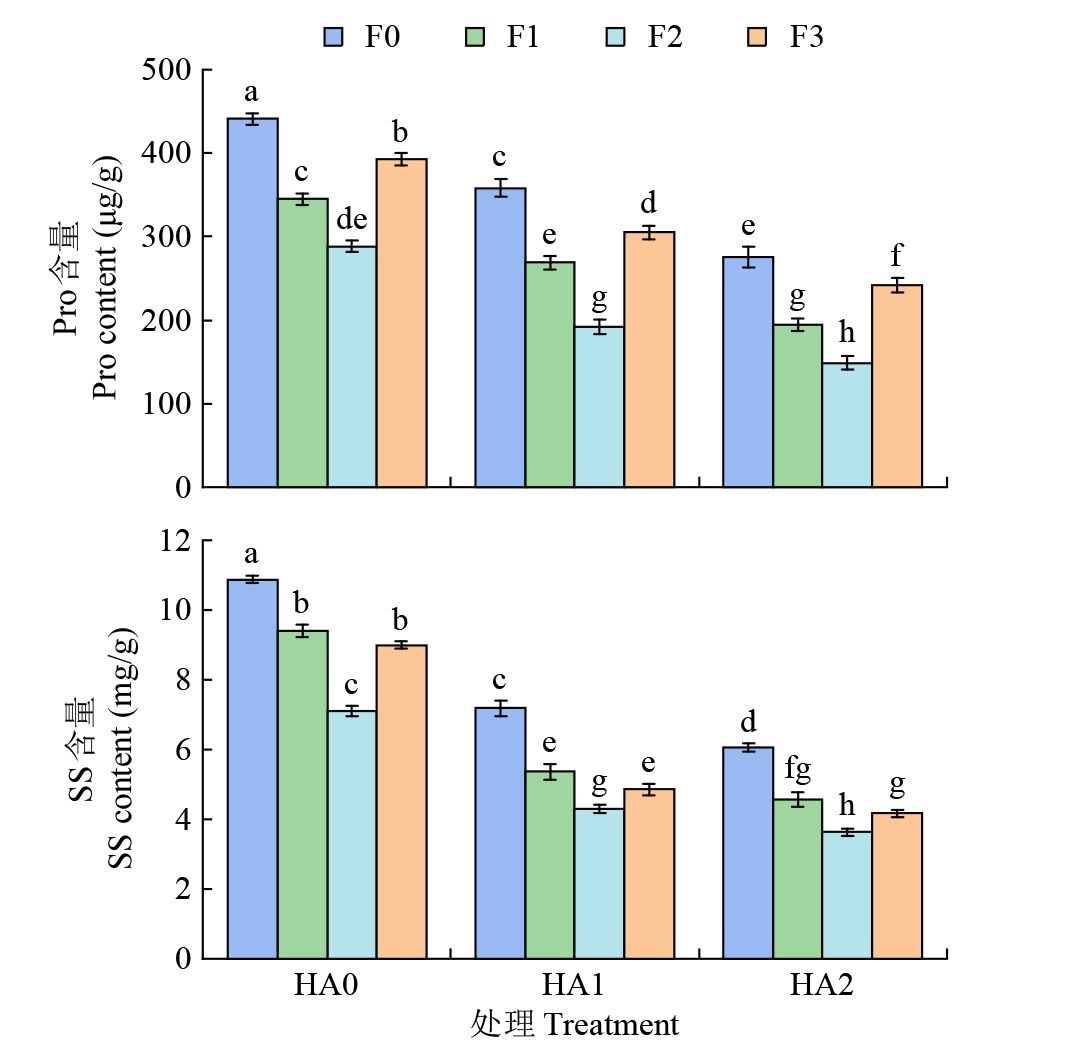
不同处理对藜麦叶片Pro和SS含量的影响

表2

脱硫石膏和腐植酸配施对盐碱地藜麦产量及其构成的影响

处理
Treatment
产量
(g/盆)
Yield (g/pot)
千粒重
1000-grain
weight (g)
增产率
Yield increase
rate (%)
HA0-F0 23.34±0.34g 1.73±0.04h
HA0-F1 27.65±0.37e 2.19±0.04fg 17.18±0.07
HA0-F2 30.60±0.74d 2.59±0.03bc 29.94±0.06
HA0-F3 26.73±0.82ef 2.29±0.04fg 13.44±0.07
HA1-F0 25.26±0.35f 2.06±0.04f 8.76±0.08
HA1-F1 31.53±0.64e 2.34±0.07de 36.30±0.17
HA1-F2 38.42±0.52b 2.78±0.06b 63.32±0.18
HA1-F3 28.20±0.71d 2.41±0.02cd 18.45±0.13
HA2-F0 27.17±0.52e 2.17±0.03fg 16.39±0.08
HA2-F1 34.36±0.40c 2.47±0.05cd 46.48±0.16
HA2-F2 41.49±0.33a 2.97±0.06a 76.14±0.09
HA2-F3 33.28±0.41c 2.50±0.02cd 42.17±0.18
[1] 毛庆莲, 王胜. 国内盐碱地治理趋势探究浅析. 湖北农业科学, 2020, 59(增1):302-306.
[2] 杨劲松, 姚荣江, 王相平, 等. 防止土壤盐渍化,提高土壤生产力. 科学, 2021, 73(6):30-34.
[3] 吴鹏, 吕剑, 郁继华, 等. 褪黑素对盐碱复合胁迫下黄瓜幼苗光合特性和渗透调节物质含量的影响. 应用生态学报, 2022, 33(7):1901-1910.
doi: 10.13287/j.1001-9332.202207.028
[4] 杨劲松, 姚荣江, 王相平, 等. 中国盐渍土研究:历程、现状与展望. 土壤学报, 2022, 59(1):10-27.
[5] Zhang Y, Yang J S, Huang Y H, et al. Use of freeze-thaw purified saline water to leach and reclaim gypsum-amended saline-alkali soils. Soil Science Society of America Journal, 2019, 83(5):1333-1342.
doi: 10.2136/sssaj2019.03.0081
[6] 云雪雪, 陈雨生. 国际盐碱地开发动态及其对我国的启示. 国土与自然资源研究, 2020(1):84-87.
[7] 刘永江, 覃鹏. 藜麦营养功能成分及应用研究进展. 黑龙江农业科学, 2020(3):123-127.
[8] González J A, Gallardo M, Hilal M, et al. Physiological responses of quinoa (Chenopodium quinoa willd.) to drought and waterlogging stresses: dry matter partitioning. Botanical Studies, 2009, 50(1):35-42.
[9] Sampaio S L, Fernandes N, Pereira C, et al. Nutritional value, physicochemical characterization and bioactive properties of the Brazilian quinoa BRS Piabiru. Food & Function, 2020, 11:2969-2977.
[10] 于淑会, 周向莉, 卿冀川, 等. 河北滨海盐碱土地生态安全评价. 中国生态农业学报, 2017, 25(5):778-786.
[11] 孙在金. 脱硫石膏与腐植酸改良滨海盐碱土的效应及机理研究. 北京: 中国矿业大学, 2013.
[12] 田荣荣, 张文超, 李烨, 等. 燃煤烟气脱硫石膏改良盐碱地技术研究与工程化应用进展. 燃烧科学与技术, 2022, 28(6):736-748.
[13] 赵永敢, 王淑娟, 李彦, 等. 脱硫石膏改良盐碱土技术发展历程与展望. 清华大学学报(自然科学版), 2022, 62(4):735-745.
doi: 10.16511/j.cnki.qhdxxb.2022.25.012
[14] 李传福, 朱桃川, 明玉飞, 等. 有机肥与脱硫石膏对黄河三角洲盐碱地土壤团聚体及其有机碳组分的影响. 生态环境学报, 2023, 32(5):878-888.
doi: 10.16258/j.cnki.1674-5906.2023.05.006
[15] Wang Y G, Wang Z F, Liang F, et al. Application of flue gas desulfurization gypsum improves multiple functions of saline- sodic soils across China. Chemosphere, 2021, 277:130345.
[16] 宁松瑞, 赵雪, 姬美玥, 等. 脱硫石膏和磁化水对盐碱胁迫荞麦光合特性的影响. 农业机械学报, 2020, 51(10):310-317.
[17] 李明珠, 张文超, 王淑娟, 等. 适宜脱硫石膏施用方式改良河套灌区盐碱土提高向日葵产量. 农业工程学报, 2022, 38(6):89-95.
[18] Zhang W, Zhao Y, Wang S, et al. Combined application of flue gas desulfurization gypsum and straw pellets to ameliorate sodicity, nutrient content, and aggregate stability of sodic soil. Journal of Soil Science and Plant Nutrition, 2021, 21(3):1806-1816.
[19] 贺坤, 李小平, 徐晨, 等. 烟气脱硫石膏对滨海盐渍土的改良效果. 环境科学研究, 2018, 31(3):547-554.
[20] 魏兆辉, 武均, 蔡立群, 等. 不同改良措施对甘肃邓马营湖盐碱区农田土壤水溶性离子的影响. 中国土壤与肥料, 2021(5):156-162.
[21] 赵振东, 孙廉平, 曹正男, 等. 腐植酸对水稻产量、品质及土壤特性的影响. 中国稻米, 2022, 28(1):38-42.
doi: 10.3969/j.issn.1006-8082.2022.01.008
[22] Andrade F V, Mendonça E S, Silva I R, et al. Dry-matter production and phosphorus accumulation by maize plants in response to the addition of organic acids in oxisols. Communications in Soil Science and Plant Analysis, 2007, 38(19/20):2733-2745.
[23] Yang C.Mycorrhizal fungi: use in sustainable agriculture and land restoration: management of the arbuscular mycorrhizal symbiosis in sustainable crop production. Heidelberg:Springer, 2014.
[24] 陈文涛, 郭丽琢, 剡斌, 等. 改良剂对盐碱地燕麦生长及土壤物理性状的调控效应. 甘肃农业大学学报, 2024, 59(5):136-144.
[25] 张世远, 高伟, 吕兴娜, 等. 喷施腐殖酸肥对万寿菊现蕾期农艺性状与生理指标的影响. 北方园艺, 2024(16):41-48.
[26] 张志良, 瞿伟菁, 李小芳. 植物生理学指导. 北京: 高等教育出版社, 2009.
[27] 鲍士旦. 土壤农化分析. 北京: 中国农业出版社, 2000.
[28] 冯春晖, 刘新路, 纪文君, 等. 基于电磁感应技术的棉田土壤电导率时空异质性研究. 土壤学报, 2022, 59(4):999-1011.
[29] 倪瑞军, 张永清, 庞春花, 等. 藜麦幼苗对水氮耦合变化的可塑性响应. 作物杂志, 2015(6):91-98.
[30] 程永钢, 金辉, 郑普山, 等. 间作绿肥对盐碱地土壤改良及青贮玉米产量的影响. 农业资源与环境学报, 2024, 41(5):1100-1110.
[31] 王鼎, 李跃进, 李青春, 等. 河套地区盐碱土复合调理剂配方筛选研究. 中国土壤与肥料, 2020(4):192-201.
[32] Huang Z B, Ma Y, et al. Improvement effects of different environmental materials on coastal saline-alkali soil in yellow river delta. Journal of Soil and Water Conservation, 2013, 27(4):186-190.
[33] 王艺臻, 丁国栋, 崔欣然, 等. 盐碱复合胁迫对油沙豆生长和光合特性的影响. 干旱区资源与环境, 2022, 36(5):146-152.
[34] 白小龙, 武晋民, 张家豪, 等. 不同改良物料及其配施组合对河套平原盐碱土壤玉米光合与根系形态特征的影响. 生态学杂志, 2024, 43(10):3023-3030.
[35] 胡慧, 马帅国, 田蕾, 等. 脱硫石膏改良盐碱土对水稻叶绿素荧光特性的影响. 核农学报, 2019, 33(12):2439-2450.
doi: 10.11869/j.issn.100-8551.2019.12.2439
[36] 张婷婷, 刘宇乐, 陈红, 等. 不同外源物质对盐、碱及干旱胁迫下草木樨种子萌发、幼苗生长及生理的影响. 草业学报, 2024, 33(8):122-132.
doi: 10.11686/cyxb2023369
[37] 白海波, 毛桂莲, 李晓慧, 等. 脱硫废弃物对盐碱地水稻幼苗抗氧化酶活性和膜脂过氧化作用的影响. 西北农业学报, 2009, 18(3):122-126.
[38] 田蕾, 王彬, 张雪艳, 等. 脱硫石膏改良盐碱土对水稻秧苗素质、根系特征及质膜透性的影响. 广东农业科学, 2014, 41 (21):1-6.
[39] 刘春, 曹丽敏, 周东升, 等. 干旱、盐分和温度胁迫诱导的植物代谢改变. 生物技术通报, 2013(4):1-7.
[40] 高富东, 何俊, 李敏, 等. 脱硫石膏与粉煤灰配施对碱化土壤改良及苜蓿生长的影响. 灌溉排水学报, 2024, 43(4):59-65.
[41] 梁萍, 张永清, 张萌, 等. 不同盐碱胁迫条件下PAM施用深度对藜麦生长及产量的影响. 干旱地区农业研究, 2023, 41 (5):130-137,197.
[42] 石婧, 黄超, 刘娟, 等. 脱硫石膏不同施用量对新疆盐碱土壤改良效果及作物产量的影响. 环境工程学报, 2018, 12(6):1800-1807.
[43] 高惠敏, 王相平, 屈忠义, 等. 脱硫石膏与有机物料配施对河套灌区土壤改良及向日葵生长的影响. 灌溉排水学报, 2020, 39(8):85-92.
[1] 周婷芳, 李冉, 刘倩倩, 张泽, 王振华, 马宝新, 路明, 张林, 韩业辉, 杨波, 李明顺, 张德贵, 翁建峰, 雍洪军, 徐晶宇, 韩洁楠, 李新海. 东北区118份玉米杂交种萌发期耐盐性分析[J]. 作物杂志, 2025, (5): 1–10
[2] 滕文, 叶凡, 周舟, 王屿乐, 刘立军. 小麦和油菜秸秆还田处理对盐胁迫下水稻产量和品质的影响[J]. 作物杂志, 2025, (5): 11–18
[3] 马强, 李延坤, 王桂娥, 文婷婷, 张天雨, 田纪春, 王延训. 山东省审定彩色小麦品种农艺性状和品质分析及改良方向研究[J]. 作物杂志, 2025, (5): 113–119
[4] 李小敏, 龚红瑜, 田冰欣, 刘东华, 李春喜, 姜丽娜, 马建辉. 黄淮海平原不同行距配置和密度组合对小麦冠层结构和氮素利用的影响[J]. 作物杂志, 2025, (5): 171–176
[5] 李加汇, 陈如雪, 白红波, 王永华. 不同株型冬小麦光合―灌浆协同特性及其对产量构成的影响[J]. 作物杂志, 2025, (5): 195–203
[6] 王燕, 张谦, 董明, 王树林, 冯国艺, 梁青龙, 祁虹. 机械打顶时间对冀南棉区棉花农艺性状和产量的影响[J]. 作物杂志, 2025, (5): 204–208
[7] 武慧娟, 耿小丽, 李德明, 周栋昌, 付萍, 刘乾, 杜笑村. 叶面喷施不同铁肥对燕麦种子产量及其构成因素的影响[J]. 作物杂志, 2025, (5): 233–238
[8] 李翔, 李毅杰, 吴小建, 龙盛风, 黄冬梅, 高轶静, 王泽平. 甘蔗废弃物栽培竹荪的应用效果[J]. 作物杂志, 2025, (5): 260–265
[9] 李杰, 张永强, 雷钧杰, 吕晓庆, 陈传信, 徐其江, 聂石辉, 徐文修, 常旭虹. 不同尿素类型及施用方式对滴灌冬小麦植株性状及产量构成的影响[J]. 作物杂志, 2025, (5): 266–271
[10] 都晗萌, 陈雨琼, 刘若彤, 陈英龙, 戴其根, 张洪程, 廖萍. 盐胁迫下喷施矮壮素和施用石膏对水稻产量及倒伏特性的影响[J]. 作物杂志, 2025, (5): 29–34
[11] 徐明丽, 吴柏辰, 刘畅, 高鑫涵, 殷佳琪, 何雪, 刘莹, 尹泽群, 苗兴芬. 褪黑素浸种对盐碱胁迫下谷子萌发的影响[J]. 作物杂志, 2025, (5): 42–46
[12] 张金东, 王成, 卢环, 曾玲玲, 张巩亮, 孙浩月, 刘悦, 杨贺麟, 侯晓敏. 盐碱胁迫下不同基因型绿豆对外源BR的响应[J]. 作物杂志, 2025, (5): 54–60
[13] 陈萍, 罗园园, 王娟, 孙权, 马玲芳, 马文礼, 谢静波. 燕麦萌发期对混合盐碱胁迫的响应及耐受性评价[J]. 作物杂志, 2025, (5): 61–66
[14] 赵洲, 张丽, 高新磊, 邱鸿雨. 复合盐碱胁迫对燕麦生长及代谢的影响[J]. 作物杂志, 2025, (5): 74–85
[15] 贾艳丽, 张洪发, 刘桂霞, 黄素芳, 屈新月, 岳明强, 韩佳婷, 徐玉鹏, 刘青松. 生物硫调理剂对盐碱地苜蓿产量、品质及土壤理化性质的影响[J]. 作物杂志, 2025, (5): 86–92
Viewed
Full text


Abstract

Cited

  Shared   
  Discussed   
No Suggested Reading articles found!